¿Sabías que tu columna vertebral no solo te mantiene erguido,... Mostrar más
Inscríbete para ver los apuntes¡Es gratis!
Acceso a todos los documentos
Mejora tus notas
Únete a millones de estudiantes
Knowunity AI
Asignaturas
Triangle Congruence and Similarity Theorems
Triangle Properties and Classification
Linear Equations and Graphs
Geometric Angle Relationships
Trigonometric Functions and Identities
Equation Solving Techniques
Circle Geometry Fundamentals
Division Operations and Methods
Basic Differentiation Rules
Exponent and Logarithm Properties
Mostrar todos los temas
Human Organ Systems
Reproductive Cell Cycles
Biological Sciences Subdisciplines
Cellular Energy Metabolism
Autotrophic Energy Processes
Inheritance Patterns and Principles
Biomolecular Structure and Organization
Cell Cycle and Division Mechanics
Cellular Organization and Development
Biological Structural Organization
Mostrar todos los temas
Chemical Sciences and Applications
Atomic Structure and Composition
Molecular Electron Structure Representation
Atomic Electron Behavior
Matter Properties and Water
Mole Concept and Calculations
Gas Laws and Behavior
Periodic Table Organization
Chemical Thermodynamics Fundamentals
Chemical Bond Types and Properties
Mostrar todos los temas
European Renaissance and Enlightenment
European Cultural Movements 800-1920
American Revolution Era 1763-1797
American Civil War 1861-1865
Global Imperial Systems
Mongol and Chinese Dynasties
U.S. Presidents and World Leaders
Historical Sources and Documentation
World Wars Era and Impact
World Religious Systems
Mostrar todos los temas
Classic and Contemporary Novels
Literary Character Analysis
Rhetorical Theory and Practice
Classic Literary Narratives
Reading Analysis and Interpretation
Narrative Structure and Techniques
English Language Components
Influential English-Language Authors
Basic Sentence Structure
Narrative Voice and Perspective
Mostrar todos los temas
174
•
Actualizado May 12, 2026
•
Sara Román
@sararomn_v6z85
¿Sabías que tu columna vertebral no solo te mantiene erguido,... Mostrar más































Tu dorso es mucho más que solo tu espalda - es toda esa región que va desde el cuello hasta los glúteos. Piénsalo como el chasis de un auto: tiene que ser fuerte para soportar peso, pero también flexible para permitir movimiento.
El esqueleto axial incluye todos los huesos que forman el eje central de tu cuerpo: el cráneo, la columna vertebral, las costillas y el esternón. Es como la estructura principal de un edificio.
La columna vertebral mide entre 72-75 cm en adultos y está formada por 33 vértebras divididas en cinco regiones súper importantes: 7 cervicales (cuello), 12 torácicas (tórax), 5 lumbares (zona baja), 5 sacras y 4 coccígeas (estas últimas están fusionadas).
💡 Dato clave: La columna no solo soporta el peso de tu cuerpo, sino que también protege la médula espinal - ¡imagínala como una autopista de información entre tu cerebro y el resto del cuerpo!

Todas las vértebras típicas comparten elementos básicos, aunque varían en tamaño. El cuerpo vertebral es la parte más robusta - está hecho de hueso esponjoso rodeado de una capa dura, como una galleta Oreo pero mucho más resistente.
El conducto vertebral es súper importante porque por ahí pasa la médula espinal, las arterias nutritivas y las raíces de los nervios. Es como el túnel de metro por donde viaja toda la información nerviosa.
Las vértebras cervicales (7 en total) son las más pequeñas pero las más móviles - gracias a ellas puedes mover la cabeza en todas las direcciones. Las más especiales son C1 (atlas), C2 (axis) y C7, que tienen características únicas.
💡 Tip de estudio: Para recordar las vértebras atípicas cervicales, piensa en "1-2-7" - son las que se ven diferentes en las radiografías y tienen nombres especiales.

Las curvaturas de la columna no están ahí por casualidad - son súper inteligentes. Tienes cifosis (curvas hacia atrás) en el tórax y sacro, y lordosis (curvas hacia adelante) en el cuello y zona lumbar. Estas curvas se desarrollan cuando empiezas a caminar.
Las vértebras torácicas son las únicas que se conectan con las costillas. Tienen unas estructuras llamadas hemicarillas que permiten que una costilla se articule con dos vértebras - es como un sistema de doble seguridad.
Las vértebras T1-T4 se parecen más a las cervicales, mientras que T9-T12 son más similares a las lumbares. T12 es especial porque solo tiene una hemicarilla y marca la transición hacia la zona lumbar.
💡 Concepto clave: Una sola costilla se articula con DOS vértebras - esto distribuye mejor las fuerzas y hace el sistema más estable.

Las vértebras lumbares son las más robustas porque soportan todo el peso de la parte superior de tu cuerpo. Sus procesos articulares se extienden verticalmente, lo que permite flexión y extensión, pero NO rotación - por eso no puedes girar la cintura como en las películas.
La quinta lumbar (L5) es la más grande y forma el ángulo lumbosacro - aquí es donde se distribuye todo el peso corporal hacia la pelvis. Es una zona súper importante para entender el dolor de espalda baja.
El sacro tiene forma de cuña y está formado por 5 vértebras fusionadas. Su conducto sacro continúa el conducto vertebral y contiene la famosa "cola de caballo" - que son las raíces nerviosas de la médula espinal.
💡 Datos importantes: El sacro tiene un ángulo de 130-160° y su mitad inferior no soporta peso - solo la superior trabaja duro para transmitir las fuerzas a la pelvis.

El cóccix es tu "cola" evolutiva - 4 vértebras pequeñas y fusionadas que son residuo de cuando nuestros ancestros tenían cola. Solo soporta peso cuando te sientas y se flexiona hacia adelante para adaptarse.
Las articulaciones principales de la columna incluyen la atlantooccipital , atlantoaxial , costovertebrales , lumbosacras, sacroilíacas y sacrococcígeas. Cada una tiene una función específica.
El promontorio sacro es el borde anterior sobresaliente de S1, mientras que el hiato del sacro en S5 es importante clínicamente. Las diferentes crestas sacras (media, intermedia, laterales) son fusiones de diferentes procesos vertebrales.
💡 Aplicación clínica: El cóccix puede fracturarse por caídas en posición sentada - es súper doloroso porque ahí se insertan músculos importantes como el glúteo mayor.

El esguince cervical se clasifica en 4 grados según la severidad. Grado I es dolor leve con radiografías normales, mientras que Grado IV incluye fracturas y lesiones neurológicas - afortunadamente ocurre en menos del 2% de casos.
El whiplash es la evolución del esguince cervical de 2 semanas a 6 meses después. Puede incluir desde no tener síntomas hasta problemas neurológicos serios y dolor temporomandibular.
La espondilitis anquilosante produce el famoso "signo de la caña de bambú" en radiografías - las vértebras se fusionan por calcificación. El test de Adams (flexión anterior) ayuda a detectar escoliosis por la aparición de una "giba" o joroba.
💡 Prevención: Usar cinturón de seguridad y reposacabezas correctamente ajustado puede prevenir muchas lesiones cervicales en accidentes automovilísticos.

Los ligamentos vertebrales son como cables que mantienen estable tu columna. El longitudinal anterior corre como una cascada por delante de los cuerpos vertebrales, mientras que el longitudinal posterior va por detrás, protegiendo la médula espinal.
Las articulaciones cigapofisarias son sinoviales y permiten movimientos de deslizamiento entre vértebras. Comparten el peso con los discos durante la flexión lateral - es trabajo en equipo.
Los ligamentos accesorios incluyen el amarillo (une láminas), interespinosos y supraespinosos (conectan procesos espinosos), y el nucal (específico del cuello). Todos trabajan juntos para dar estabilidad sin perder flexibilidad.
💡 Analogía útil: Los ligamentos son como los cables de un puente colgante - cada uno tiene su función específica, pero todos trabajan juntos para mantener la estructura estable y funcional.

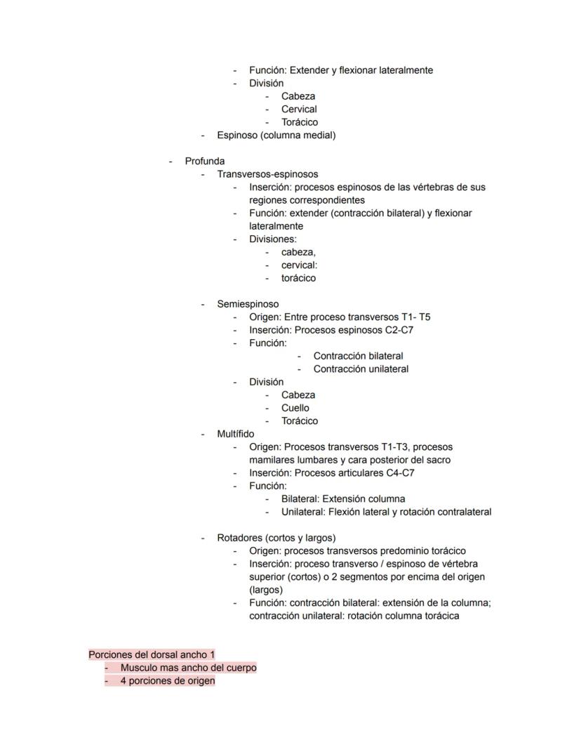
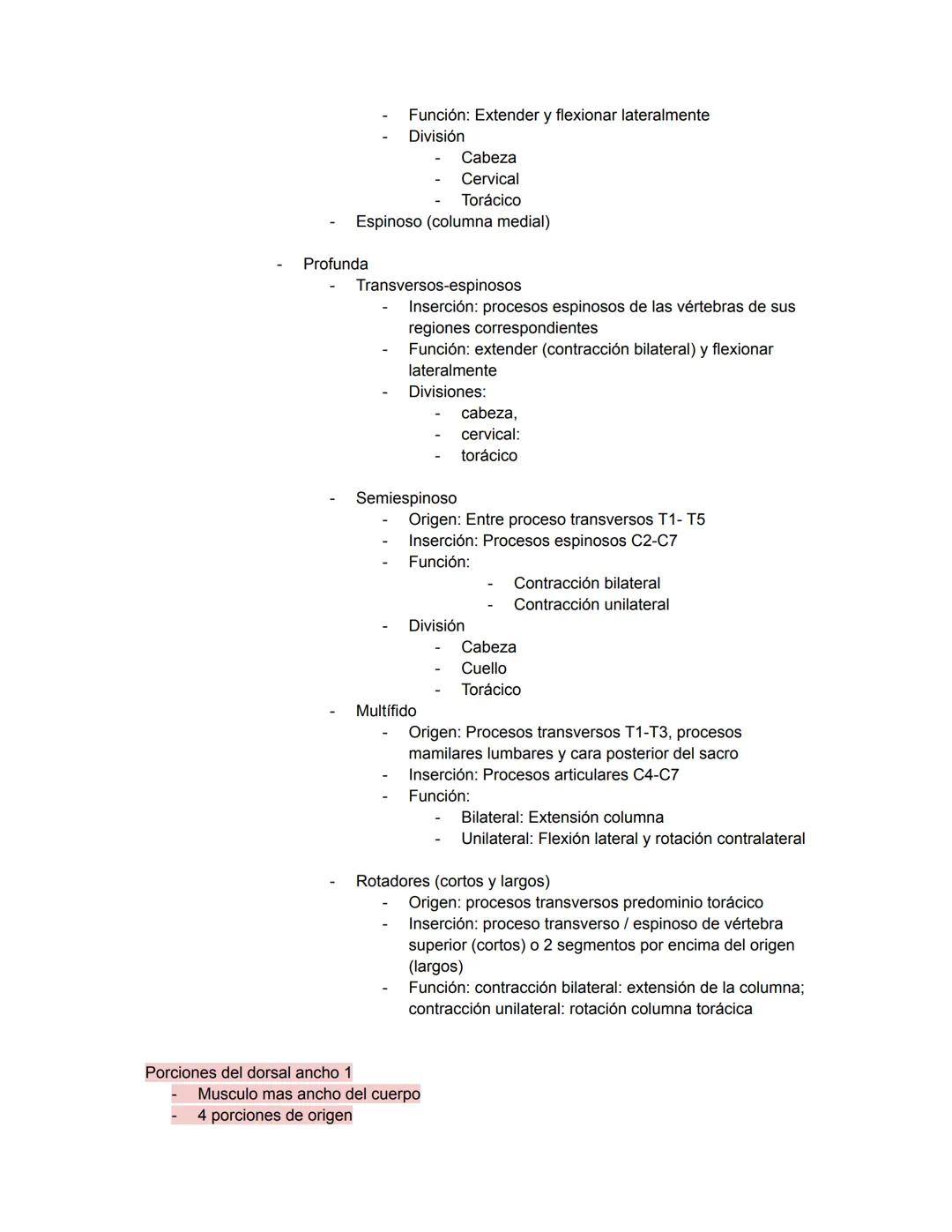
Los músculos extrínsecos se dividen en superficiales (trapecio, dorsal ancho, romboides) que mueven los brazos, e intermedios (serratos posteriores) que ayudan en la respiración. No están ahí para mover la columna directamente.
Los músculos intrínsecos son los verdaderos protagonistas de la columna - mantienen tu postura y controlan los movimientos vertebrales. Se organizan en capas: superficial (esplenios), intermedia (erectores) y profunda .
Los erectores de la columna incluyen iliocostal (lateral), longísimo (intermedio) y espinoso (medial). Cuando se contraen bilateralmente extienden la columna, y unilateralmente producen flexión lateral.
💡 Tip muscular: Los músculos intrínsecos están inervados por ramos posteriores de nervios espinales - esto es clave para entender cómo el sistema nervioso controla la postura.

Los músculos transverso-espinosos son los más profundos y específicos. El semiespinoso va de procesos transversos a espinosos, el multífido es clave para la estabilidad segmentaria, y los rotadores (cortos y largos) controlan la rotación torácica.
Cuando estos músculos se contraen bilateralmente extienden la columna, pero cuando se contrae solo un lado producen flexión lateral y rotación contralateral - es como tener un sistema de dirección súper preciso.
El dorsal ancho es el músculo más ancho del cuerpo con cuatro porciones de origen: vertebral, iliaca, costal y escapular. Se inserta en el surco intertubercular del húmero y es el responsable de movimientos potentes del brazo.
💡 Función clave: El multífido es súper importante para la estabilidad - cuando está débil aparecen problemas de dolor lumbar. ¡Es como el sistema de suspensión de tu columna!

Los músculos interespinosos cervicales (6 pares) y los intertransversos son pequeños pero importantes para la estabilidad fina del cuello. Van de proceso espinoso a espinoso y de transverso a transverso respectivamente.
Los músculos suboccipitales forman el famoso triángulo suboccipital que protege la arteria vertebral y el nervio suboccipital. Incluyen los rectos posteriores (mayor y menor) y los oblicuos (mayor y menor).
Estos músculos profundos del cuello son especialistas en mantener la postura de la cabeza y permitir movimientos finos como la extensión, flexión lateral y rotación a nivel atlantoaxial.
💡 Zona de riesgo: El triángulo suboccipital es súper importante clínicamente porque protege estructuras vitales - la arteria vertebral y el nervio suboccipital pasan por esta zona tan pequeña pero crucial.




















Nuestro compañero de IA está específicamente adaptado a las necesidades de los estudiantes. Basándonos en los millones de contenidos que tenemos en la plataforma, podemos dar a los estudiantes respuestas realmente significativas y relevantes. Pero no se trata solo de respuestas, el compañero también guía a los estudiantes a través de sus retos de aprendizaje diarios, con planes de aprendizaje personalizados, cuestionarios o contenidos en el chat y una personalización del 100% basada en las habilidades y el desarrollo de los estudiantes.
Puedes descargar la app en Google Play Store y Apple App Store.
¡Sí lo es! Tienes acceso totalmente gratuito a todo el contenido de la app, puedes chatear con otros alumnos y recibir ayuda inmeditamente. Puedes ganar dinero utilizando la aplicación, que te permitirá acceder a determinadas funciones.
App Store
Google Play
La app es muy fácil de usar y está muy bien diseñada. Hasta ahora he encontrado todo lo que estaba buscando y he podido aprender mucho de las presentaciones. Definitivamente utilizaré la aplicación para un examen de clase. Y, por supuesto, también me sirve mucho de inspiración.
Pablo
usuario de iOS
Esta app es realmente genial. Hay tantos apuntes de clase y ayuda [...]. Tengo problemas con matemáticas, por ejemplo, y la aplicación tiene muchas opciones de ayuda. Gracias a Knowunity, he mejorado en mates. Se la recomiendo a todo el mundo.
Elena
usuaria de Android
Vaya, estoy realmente sorprendida. Acabo de probar la app porque la he visto anunciada muchas veces y me he quedado absolutamente alucinada. Esta app es LA AYUDA que quieres para el insti y, sobre todo, ofrece muchísimas cosas, como ejercicios y hojas informativas, que a mí personalmente me han sido MUY útiles.
Ana
usuaria de iOS
Solía tener dificultades para completar mis tareas a tiempo hasta que descubrí Knowunity, que no solo facilita subir mi propio contenido sino que también proporciona excelentes resúmenes que hacen mi trabajo más rápido y eficiente.
Thomas R
usuario de iOS
Siempre era un desafío encontrar toda la información importante para mis tareas – desde que comencé a usar Knowunity, puedo simplemente subir mi contenido y beneficiarme de los resúmenes de otros, lo que me ayuda mucho con la organización.
Lisa M
usuario de Android
A menudo sentía que no tenía suficiente visión general al estudiar, pero desde que comencé a usar Knowunity, eso ya no es un problema – subo mi contenido y siempre encuentro resúmenes útiles en la plataforma, lo que hace mi aprendizaje mucho más fácil.
David K
usuario de iOS
¡La app es buenísima! Sólo tengo que introducir el tema en la barra de búsqueda y recibo la respuesta muy rápido. No tengo que ver 10 vídeos de YouTube para entender algo, así que me ahorro tiempo. ¡Muy recomendable!
Sara
usuaria de Android
En el instituto era muy malo en matemáticas, pero gracias a la app, ahora saco mejores notas. Os agradezco mucho que hayáis creado la aplicación.
Roberto
usuario de Android
Solía ser muy difícil reunir toda la información para mis presentaciones. Pero desde que comencé a usar Knowunity, solo subo mis notas y encuentro increíbles resúmenes de otros – ¡hace mi estudio mucho más eficiente!
Julia S
usuario de Android
Siempre estaba estresado con todo el material de estudio, pero desde que comencé a usar Knowunity, subo mis cosas y reviso los geniales resúmenes de otros – realmente me ayuda a manejar todo mejor y es mucho menos estresante.
Marco B
usuario de iOS
LOS QUIZZES Y FLASHCARDS SON SÚPER ÚTILES Y AMO Knowunity AI. TAMBIÉN ES LITERALMENTE COMO CHATGPT PERO MÁS INTELIGENTE!! ME AYUDÓ CON MIS PROBLEMAS DE RÍMEL TAMBIÉN!! Y CON MIS MATERIAS REALES OBVIO! 😍😁😲🤑💗✨🎀😮
Sarah L
usuario de Android
Antes pasaba horas buscando en Google materiales escolares, pero ahora solo subo mis cosas a Knowunity y reviso los útiles resúmenes de otros – me siento mucho más seguro cuando me preparo para los exámenes.
Paul T
usuario de iOS
La app es muy fácil de usar y está muy bien diseñada. Hasta ahora he encontrado todo lo que estaba buscando y he podido aprender mucho de las presentaciones. Definitivamente utilizaré la aplicación para un examen de clase. Y, por supuesto, también me sirve mucho de inspiración.
Pablo
usuario de iOS
Esta app es realmente genial. Hay tantos apuntes de clase y ayuda [...]. Tengo problemas con matemáticas, por ejemplo, y la aplicación tiene muchas opciones de ayuda. Gracias a Knowunity, he mejorado en mates. Se la recomiendo a todo el mundo.
Elena
usuaria de Android
Vaya, estoy realmente sorprendida. Acabo de probar la app porque la he visto anunciada muchas veces y me he quedado absolutamente alucinada. Esta app es LA AYUDA que quieres para el insti y, sobre todo, ofrece muchísimas cosas, como ejercicios y hojas informativas, que a mí personalmente me han sido MUY útiles.
Ana
usuaria de iOS
Solía tener dificultades para completar mis tareas a tiempo hasta que descubrí Knowunity, que no solo facilita subir mi propio contenido sino que también proporciona excelentes resúmenes que hacen mi trabajo más rápido y eficiente.
Thomas R
usuario de iOS
Siempre era un desafío encontrar toda la información importante para mis tareas – desde que comencé a usar Knowunity, puedo simplemente subir mi contenido y beneficiarme de los resúmenes de otros, lo que me ayuda mucho con la organización.
Lisa M
usuario de Android
A menudo sentía que no tenía suficiente visión general al estudiar, pero desde que comencé a usar Knowunity, eso ya no es un problema – subo mi contenido y siempre encuentro resúmenes útiles en la plataforma, lo que hace mi aprendizaje mucho más fácil.
David K
usuario de iOS
¡La app es buenísima! Sólo tengo que introducir el tema en la barra de búsqueda y recibo la respuesta muy rápido. No tengo que ver 10 vídeos de YouTube para entender algo, así que me ahorro tiempo. ¡Muy recomendable!
Sara
usuaria de Android
En el instituto era muy malo en matemáticas, pero gracias a la app, ahora saco mejores notas. Os agradezco mucho que hayáis creado la aplicación.
Roberto
usuario de Android
Solía ser muy difícil reunir toda la información para mis presentaciones. Pero desde que comencé a usar Knowunity, solo subo mis notas y encuentro increíbles resúmenes de otros – ¡hace mi estudio mucho más eficiente!
Julia S
usuario de Android
Siempre estaba estresado con todo el material de estudio, pero desde que comencé a usar Knowunity, subo mis cosas y reviso los geniales resúmenes de otros – realmente me ayuda a manejar todo mejor y es mucho menos estresante.
Marco B
usuario de iOS
LOS QUIZZES Y FLASHCARDS SON SÚPER ÚTILES Y AMO Knowunity AI. TAMBIÉN ES LITERALMENTE COMO CHATGPT PERO MÁS INTELIGENTE!! ME AYUDÓ CON MIS PROBLEMAS DE RÍMEL TAMBIÉN!! Y CON MIS MATERIAS REALES OBVIO! 😍😁😲🤑💗✨🎀😮
Sarah L
usuario de Android
Antes pasaba horas buscando en Google materiales escolares, pero ahora solo subo mis cosas a Knowunity y reviso los útiles resúmenes de otros – me siento mucho más seguro cuando me preparo para los exámenes.
Paul T
usuario de iOS
Sara Román
@sararomn_v6z85
¿Sabías que tu columna vertebral no solo te mantiene erguido, sino que también protege uno de los órganos más importantes de tu cuerpo? La anatomía del dorso y la columna vertebral es fascinante y súper práctica de entender, especialmente porque... Mostrar más

Acceso a todos los documentos
Mejora tus notas
Únete a millones de estudiantes
Tu dorso es mucho más que solo tu espalda - es toda esa región que va desde el cuello hasta los glúteos. Piénsalo como el chasis de un auto: tiene que ser fuerte para soportar peso, pero también flexible para permitir movimiento.
El esqueleto axial incluye todos los huesos que forman el eje central de tu cuerpo: el cráneo, la columna vertebral, las costillas y el esternón. Es como la estructura principal de un edificio.
La columna vertebral mide entre 72-75 cm en adultos y está formada por 33 vértebras divididas en cinco regiones súper importantes: 7 cervicales (cuello), 12 torácicas (tórax), 5 lumbares (zona baja), 5 sacras y 4 coccígeas (estas últimas están fusionadas).
💡 Dato clave: La columna no solo soporta el peso de tu cuerpo, sino que también protege la médula espinal - ¡imagínala como una autopista de información entre tu cerebro y el resto del cuerpo!

Acceso a todos los documentos
Mejora tus notas
Únete a millones de estudiantes
Todas las vértebras típicas comparten elementos básicos, aunque varían en tamaño. El cuerpo vertebral es la parte más robusta - está hecho de hueso esponjoso rodeado de una capa dura, como una galleta Oreo pero mucho más resistente.
El conducto vertebral es súper importante porque por ahí pasa la médula espinal, las arterias nutritivas y las raíces de los nervios. Es como el túnel de metro por donde viaja toda la información nerviosa.
Las vértebras cervicales (7 en total) son las más pequeñas pero las más móviles - gracias a ellas puedes mover la cabeza en todas las direcciones. Las más especiales son C1 (atlas), C2 (axis) y C7, que tienen características únicas.
💡 Tip de estudio: Para recordar las vértebras atípicas cervicales, piensa en "1-2-7" - son las que se ven diferentes en las radiografías y tienen nombres especiales.

Acceso a todos los documentos
Mejora tus notas
Únete a millones de estudiantes
Las curvaturas de la columna no están ahí por casualidad - son súper inteligentes. Tienes cifosis (curvas hacia atrás) en el tórax y sacro, y lordosis (curvas hacia adelante) en el cuello y zona lumbar. Estas curvas se desarrollan cuando empiezas a caminar.
Las vértebras torácicas son las únicas que se conectan con las costillas. Tienen unas estructuras llamadas hemicarillas que permiten que una costilla se articule con dos vértebras - es como un sistema de doble seguridad.
Las vértebras T1-T4 se parecen más a las cervicales, mientras que T9-T12 son más similares a las lumbares. T12 es especial porque solo tiene una hemicarilla y marca la transición hacia la zona lumbar.
💡 Concepto clave: Una sola costilla se articula con DOS vértebras - esto distribuye mejor las fuerzas y hace el sistema más estable.

Acceso a todos los documentos
Mejora tus notas
Únete a millones de estudiantes
Las vértebras lumbares son las más robustas porque soportan todo el peso de la parte superior de tu cuerpo. Sus procesos articulares se extienden verticalmente, lo que permite flexión y extensión, pero NO rotación - por eso no puedes girar la cintura como en las películas.
La quinta lumbar (L5) es la más grande y forma el ángulo lumbosacro - aquí es donde se distribuye todo el peso corporal hacia la pelvis. Es una zona súper importante para entender el dolor de espalda baja.
El sacro tiene forma de cuña y está formado por 5 vértebras fusionadas. Su conducto sacro continúa el conducto vertebral y contiene la famosa "cola de caballo" - que son las raíces nerviosas de la médula espinal.
💡 Datos importantes: El sacro tiene un ángulo de 130-160° y su mitad inferior no soporta peso - solo la superior trabaja duro para transmitir las fuerzas a la pelvis.

Acceso a todos los documentos
Mejora tus notas
Únete a millones de estudiantes
El cóccix es tu "cola" evolutiva - 4 vértebras pequeñas y fusionadas que son residuo de cuando nuestros ancestros tenían cola. Solo soporta peso cuando te sientas y se flexiona hacia adelante para adaptarse.
Las articulaciones principales de la columna incluyen la atlantooccipital , atlantoaxial , costovertebrales , lumbosacras, sacroilíacas y sacrococcígeas. Cada una tiene una función específica.
El promontorio sacro es el borde anterior sobresaliente de S1, mientras que el hiato del sacro en S5 es importante clínicamente. Las diferentes crestas sacras (media, intermedia, laterales) son fusiones de diferentes procesos vertebrales.
💡 Aplicación clínica: El cóccix puede fracturarse por caídas en posición sentada - es súper doloroso porque ahí se insertan músculos importantes como el glúteo mayor.

Acceso a todos los documentos
Mejora tus notas
Únete a millones de estudiantes
El esguince cervical se clasifica en 4 grados según la severidad. Grado I es dolor leve con radiografías normales, mientras que Grado IV incluye fracturas y lesiones neurológicas - afortunadamente ocurre en menos del 2% de casos.
El whiplash es la evolución del esguince cervical de 2 semanas a 6 meses después. Puede incluir desde no tener síntomas hasta problemas neurológicos serios y dolor temporomandibular.
La espondilitis anquilosante produce el famoso "signo de la caña de bambú" en radiografías - las vértebras se fusionan por calcificación. El test de Adams (flexión anterior) ayuda a detectar escoliosis por la aparición de una "giba" o joroba.
💡 Prevención: Usar cinturón de seguridad y reposacabezas correctamente ajustado puede prevenir muchas lesiones cervicales en accidentes automovilísticos.

Acceso a todos los documentos
Mejora tus notas
Únete a millones de estudiantes
Los ligamentos vertebrales son como cables que mantienen estable tu columna. El longitudinal anterior corre como una cascada por delante de los cuerpos vertebrales, mientras que el longitudinal posterior va por detrás, protegiendo la médula espinal.
Las articulaciones cigapofisarias son sinoviales y permiten movimientos de deslizamiento entre vértebras. Comparten el peso con los discos durante la flexión lateral - es trabajo en equipo.
Los ligamentos accesorios incluyen el amarillo (une láminas), interespinosos y supraespinosos (conectan procesos espinosos), y el nucal (específico del cuello). Todos trabajan juntos para dar estabilidad sin perder flexibilidad.
💡 Analogía útil: Los ligamentos son como los cables de un puente colgante - cada uno tiene su función específica, pero todos trabajan juntos para mantener la estructura estable y funcional.

Acceso a todos los documentos
Mejora tus notas
Únete a millones de estudiantes
Los músculos extrínsecos se dividen en superficiales (trapecio, dorsal ancho, romboides) que mueven los brazos, e intermedios (serratos posteriores) que ayudan en la respiración. No están ahí para mover la columna directamente.
Los músculos intrínsecos son los verdaderos protagonistas de la columna - mantienen tu postura y controlan los movimientos vertebrales. Se organizan en capas: superficial (esplenios), intermedia (erectores) y profunda .
Los erectores de la columna incluyen iliocostal (lateral), longísimo (intermedio) y espinoso (medial). Cuando se contraen bilateralmente extienden la columna, y unilateralmente producen flexión lateral.
💡 Tip muscular: Los músculos intrínsecos están inervados por ramos posteriores de nervios espinales - esto es clave para entender cómo el sistema nervioso controla la postura.

Acceso a todos los documentos
Mejora tus notas
Únete a millones de estudiantes
Los músculos transverso-espinosos son los más profundos y específicos. El semiespinoso va de procesos transversos a espinosos, el multífido es clave para la estabilidad segmentaria, y los rotadores (cortos y largos) controlan la rotación torácica.
Cuando estos músculos se contraen bilateralmente extienden la columna, pero cuando se contrae solo un lado producen flexión lateral y rotación contralateral - es como tener un sistema de dirección súper preciso.
El dorsal ancho es el músculo más ancho del cuerpo con cuatro porciones de origen: vertebral, iliaca, costal y escapular. Se inserta en el surco intertubercular del húmero y es el responsable de movimientos potentes del brazo.
💡 Función clave: El multífido es súper importante para la estabilidad - cuando está débil aparecen problemas de dolor lumbar. ¡Es como el sistema de suspensión de tu columna!

Acceso a todos los documentos
Mejora tus notas
Únete a millones de estudiantes
Los músculos interespinosos cervicales (6 pares) y los intertransversos son pequeños pero importantes para la estabilidad fina del cuello. Van de proceso espinoso a espinoso y de transverso a transverso respectivamente.
Los músculos suboccipitales forman el famoso triángulo suboccipital que protege la arteria vertebral y el nervio suboccipital. Incluyen los rectos posteriores (mayor y menor) y los oblicuos (mayor y menor).
Estos músculos profundos del cuello son especialistas en mantener la postura de la cabeza y permitir movimientos finos como la extensión, flexión lateral y rotación a nivel atlantoaxial.
💡 Zona de riesgo: El triángulo suboccipital es súper importante clínicamente porque protege estructuras vitales - la arteria vertebral y el nervio suboccipital pasan por esta zona tan pequeña pero crucial.

Acceso a todos los documentos
Mejora tus notas
Únete a millones de estudiantes

Acceso a todos los documentos
Mejora tus notas
Únete a millones de estudiantes

Acceso a todos los documentos
Mejora tus notas
Únete a millones de estudiantes

Acceso a todos los documentos
Mejora tus notas
Únete a millones de estudiantes

Acceso a todos los documentos
Mejora tus notas
Únete a millones de estudiantes

Acceso a todos los documentos
Mejora tus notas
Únete a millones de estudiantes

Acceso a todos los documentos
Mejora tus notas
Únete a millones de estudiantes

Acceso a todos los documentos
Mejora tus notas
Únete a millones de estudiantes

Acceso a todos los documentos
Mejora tus notas
Únete a millones de estudiantes

Acceso a todos los documentos
Mejora tus notas
Únete a millones de estudiantes

Acceso a todos los documentos
Mejora tus notas
Únete a millones de estudiantes

Acceso a todos los documentos
Mejora tus notas
Únete a millones de estudiantes

Acceso a todos los documentos
Mejora tus notas
Únete a millones de estudiantes

Acceso a todos los documentos
Mejora tus notas
Únete a millones de estudiantes

Acceso a todos los documentos
Mejora tus notas
Únete a millones de estudiantes

Acceso a todos los documentos
Mejora tus notas
Únete a millones de estudiantes

Acceso a todos los documentos
Mejora tus notas
Únete a millones de estudiantes

Acceso a todos los documentos
Mejora tus notas
Únete a millones de estudiantes

Acceso a todos los documentos
Mejora tus notas
Únete a millones de estudiantes

Acceso a todos los documentos
Mejora tus notas
Únete a millones de estudiantes
Nuestro compañero de IA está específicamente adaptado a las necesidades de los estudiantes. Basándonos en los millones de contenidos que tenemos en la plataforma, podemos dar a los estudiantes respuestas realmente significativas y relevantes. Pero no se trata solo de respuestas, el compañero también guía a los estudiantes a través de sus retos de aprendizaje diarios, con planes de aprendizaje personalizados, cuestionarios o contenidos en el chat y una personalización del 100% basada en las habilidades y el desarrollo de los estudiantes.
Puedes descargar la app en Google Play Store y Apple App Store.
¡Sí lo es! Tienes acceso totalmente gratuito a todo el contenido de la app, puedes chatear con otros alumnos y recibir ayuda inmeditamente. Puedes ganar dinero utilizando la aplicación, que te permitirá acceder a determinadas funciones.
4
Herramientas Inteligentes NUEVO
Convierte estos apuntes en: ✓ 50+ Preguntas de Práctica ✓ Tarjetas de Estudio Interactivas ✓ Examen Completo de Práctica ✓ Esquemas de Ensayo
App Store
Google Play
La app es muy fácil de usar y está muy bien diseñada. Hasta ahora he encontrado todo lo que estaba buscando y he podido aprender mucho de las presentaciones. Definitivamente utilizaré la aplicación para un examen de clase. Y, por supuesto, también me sirve mucho de inspiración.
Pablo
usuario de iOS
Esta app es realmente genial. Hay tantos apuntes de clase y ayuda [...]. Tengo problemas con matemáticas, por ejemplo, y la aplicación tiene muchas opciones de ayuda. Gracias a Knowunity, he mejorado en mates. Se la recomiendo a todo el mundo.
Elena
usuaria de Android
Vaya, estoy realmente sorprendida. Acabo de probar la app porque la he visto anunciada muchas veces y me he quedado absolutamente alucinada. Esta app es LA AYUDA que quieres para el insti y, sobre todo, ofrece muchísimas cosas, como ejercicios y hojas informativas, que a mí personalmente me han sido MUY útiles.
Ana
usuaria de iOS
Solía tener dificultades para completar mis tareas a tiempo hasta que descubrí Knowunity, que no solo facilita subir mi propio contenido sino que también proporciona excelentes resúmenes que hacen mi trabajo más rápido y eficiente.
Thomas R
usuario de iOS
Siempre era un desafío encontrar toda la información importante para mis tareas – desde que comencé a usar Knowunity, puedo simplemente subir mi contenido y beneficiarme de los resúmenes de otros, lo que me ayuda mucho con la organización.
Lisa M
usuario de Android
A menudo sentía que no tenía suficiente visión general al estudiar, pero desde que comencé a usar Knowunity, eso ya no es un problema – subo mi contenido y siempre encuentro resúmenes útiles en la plataforma, lo que hace mi aprendizaje mucho más fácil.
David K
usuario de iOS
¡La app es buenísima! Sólo tengo que introducir el tema en la barra de búsqueda y recibo la respuesta muy rápido. No tengo que ver 10 vídeos de YouTube para entender algo, así que me ahorro tiempo. ¡Muy recomendable!
Sara
usuaria de Android
En el instituto era muy malo en matemáticas, pero gracias a la app, ahora saco mejores notas. Os agradezco mucho que hayáis creado la aplicación.
Roberto
usuario de Android
Solía ser muy difícil reunir toda la información para mis presentaciones. Pero desde que comencé a usar Knowunity, solo subo mis notas y encuentro increíbles resúmenes de otros – ¡hace mi estudio mucho más eficiente!
Julia S
usuario de Android
Siempre estaba estresado con todo el material de estudio, pero desde que comencé a usar Knowunity, subo mis cosas y reviso los geniales resúmenes de otros – realmente me ayuda a manejar todo mejor y es mucho menos estresante.
Marco B
usuario de iOS
LOS QUIZZES Y FLASHCARDS SON SÚPER ÚTILES Y AMO Knowunity AI. TAMBIÉN ES LITERALMENTE COMO CHATGPT PERO MÁS INTELIGENTE!! ME AYUDÓ CON MIS PROBLEMAS DE RÍMEL TAMBIÉN!! Y CON MIS MATERIAS REALES OBVIO! 😍😁😲🤑💗✨🎀😮
Sarah L
usuario de Android
Antes pasaba horas buscando en Google materiales escolares, pero ahora solo subo mis cosas a Knowunity y reviso los útiles resúmenes de otros – me siento mucho más seguro cuando me preparo para los exámenes.
Paul T
usuario de iOS
La app es muy fácil de usar y está muy bien diseñada. Hasta ahora he encontrado todo lo que estaba buscando y he podido aprender mucho de las presentaciones. Definitivamente utilizaré la aplicación para un examen de clase. Y, por supuesto, también me sirve mucho de inspiración.
Pablo
usuario de iOS
Esta app es realmente genial. Hay tantos apuntes de clase y ayuda [...]. Tengo problemas con matemáticas, por ejemplo, y la aplicación tiene muchas opciones de ayuda. Gracias a Knowunity, he mejorado en mates. Se la recomiendo a todo el mundo.
Elena
usuaria de Android
Vaya, estoy realmente sorprendida. Acabo de probar la app porque la he visto anunciada muchas veces y me he quedado absolutamente alucinada. Esta app es LA AYUDA que quieres para el insti y, sobre todo, ofrece muchísimas cosas, como ejercicios y hojas informativas, que a mí personalmente me han sido MUY útiles.
Ana
usuaria de iOS
Solía tener dificultades para completar mis tareas a tiempo hasta que descubrí Knowunity, que no solo facilita subir mi propio contenido sino que también proporciona excelentes resúmenes que hacen mi trabajo más rápido y eficiente.
Thomas R
usuario de iOS
Siempre era un desafío encontrar toda la información importante para mis tareas – desde que comencé a usar Knowunity, puedo simplemente subir mi contenido y beneficiarme de los resúmenes de otros, lo que me ayuda mucho con la organización.
Lisa M
usuario de Android
A menudo sentía que no tenía suficiente visión general al estudiar, pero desde que comencé a usar Knowunity, eso ya no es un problema – subo mi contenido y siempre encuentro resúmenes útiles en la plataforma, lo que hace mi aprendizaje mucho más fácil.
David K
usuario de iOS
¡La app es buenísima! Sólo tengo que introducir el tema en la barra de búsqueda y recibo la respuesta muy rápido. No tengo que ver 10 vídeos de YouTube para entender algo, así que me ahorro tiempo. ¡Muy recomendable!
Sara
usuaria de Android
En el instituto era muy malo en matemáticas, pero gracias a la app, ahora saco mejores notas. Os agradezco mucho que hayáis creado la aplicación.
Roberto
usuario de Android
Solía ser muy difícil reunir toda la información para mis presentaciones. Pero desde que comencé a usar Knowunity, solo subo mis notas y encuentro increíbles resúmenes de otros – ¡hace mi estudio mucho más eficiente!
Julia S
usuario de Android
Siempre estaba estresado con todo el material de estudio, pero desde que comencé a usar Knowunity, subo mis cosas y reviso los geniales resúmenes de otros – realmente me ayuda a manejar todo mejor y es mucho menos estresante.
Marco B
usuario de iOS
LOS QUIZZES Y FLASHCARDS SON SÚPER ÚTILES Y AMO Knowunity AI. TAMBIÉN ES LITERALMENTE COMO CHATGPT PERO MÁS INTELIGENTE!! ME AYUDÓ CON MIS PROBLEMAS DE RÍMEL TAMBIÉN!! Y CON MIS MATERIAS REALES OBVIO! 😍😁😲🤑💗✨🎀😮
Sarah L
usuario de Android
Antes pasaba horas buscando en Google materiales escolares, pero ahora solo subo mis cosas a Knowunity y reviso los útiles resúmenes de otros – me siento mucho más seguro cuando me preparo para los exámenes.
Paul T
usuario de iOS