¡Prepárate para tu parcial final de química orgánica! Estos conceptos... Mostrar más
Inscríbete para ver los apuntes¡Es gratis!
Acceso a todos los documentos
Mejora tus notas
Únete a millones de estudiantes
Knowunity AI
Asignaturas
Triangle Congruence and Similarity Theorems
Triangle Properties and Classification
Linear Equations and Graphs
Geometric Angle Relationships
Trigonometric Functions and Identities
Equation Solving Techniques
Circle Geometry Fundamentals
Division Operations and Methods
Basic Differentiation Rules
Exponent and Logarithm Properties
Mostrar todos los temas
Human Organ Systems
Reproductive Cell Cycles
Biological Sciences Subdisciplines
Cellular Energy Metabolism
Autotrophic Energy Processes
Inheritance Patterns and Principles
Biomolecular Structure and Organization
Cell Cycle and Division Mechanics
Cellular Organization and Development
Biological Structural Organization
Mostrar todos los temas
Chemical Sciences and Applications
Atomic Structure and Composition
Molecular Electron Structure Representation
Atomic Electron Behavior
Matter Properties and Water
Mole Concept and Calculations
Gas Laws and Behavior
Periodic Table Organization
Chemical Thermodynamics Fundamentals
Chemical Bond Types and Properties
Mostrar todos los temas
European Renaissance and Enlightenment
European Cultural Movements 800-1920
American Revolution Era 1763-1797
American Civil War 1861-1865
Global Imperial Systems
Mongol and Chinese Dynasties
U.S. Presidents and World Leaders
Historical Sources and Documentation
World Wars Era and Impact
World Religious Systems
Mostrar todos los temas
Classic and Contemporary Novels
Literary Character Analysis
Rhetorical Theory and Practice
Classic Literary Narratives
Reading Analysis and Interpretation
Narrative Structure and Techniques
English Language Components
Influential English-Language Authors
Basic Sentence Structure
Narrative Voice and Perspective
Mostrar todos los temas
631
•
Actualizado May 15, 2026
•
Karla Rivero
@karlarrivero
¡Prepárate para tu parcial final de química orgánica! Estos conceptos... Mostrar más
















































¡Es hora de demostrar todo lo que has aprendido sobre química orgánica! Este parcial abarca los conceptos más importantes del curso, desde la estructura del carbono hasta las reacciones complejas.
Te aseguro que con una buena preparación vas a poder resolver todos los problemas. Lo más importante es entender los patrones y aplicar las reglas que ya conoces.

Tu examen incluye ocho temas fundamentales que se conectan entre sí. Las hibridaciones del carbono y los tipos de carbono son la base para todo lo demás.
También verás combustiones completas e incompletas, diferentes tipos de isómeros (de posición, funcionales, de cadena), y cómo identificar grupos funcionales. La nomenclatura te ayudará a nombrar correctamente los compuestos.
Las reacciones orgánicas requieren que identifiques si son de sustitución, eliminación o adición. Finalmente, las series guiadas te permitirán aplicar todo lo aprendido en ejercicios paso a paso.
💡 Tip clave: Conecta cada tema con los demás - por ejemplo, la hibridación determina el tipo de reacciones posibles.

Identificar los tipos de carbono es súper fácil cuando cuentas cuántos carbonos están conectados a cada uno. Un carbono primario solo se conecta con un carbono, mientras que un secundario se une a dos.
Los carbonos terciarios se conectan con tres carbonos diferentes, y los cuaternarios están unidos a cuatro carbonos. Esta clasificación te ayuda a predecir la reactividad de cada átomo.
En el ejemplo de la molécula compleja, puedes ver cómo cada carbono está numerado y clasificado. Practica identificando cada tipo en diferentes estructuras.
💡 Recuerda: Cuenta solo las conexiones carbono-carbono, no los hidrógenos.

Las hibridaciones determinan la forma tridimensional de las moléculas orgánicas. La hibridación sp³ forma cuatro enlaces simples con geometría tetraédrica y ángulos de 109.5°.
La hibridación sp² combina enlaces simples y dobles, creando geometría trigonal plana con ángulos de 120°. Tiene tres orbitales híbridos y un orbital p puro que forma el enlace pi.
La hibridación sp es lineal con ángulos de 180°, presente en triples enlaces o carbonos entre dos dobles enlaces. Forma dos orbitales híbridos y deja dos orbitales p puros para enlaces pi.
💡 Fórmula útil: Total de enlaces sigma = C + H - 1

Este ejercicio te muestra cómo aplicar todo lo que sabes sobre hibridaciones y tipos de carbono. La fórmula molecular C₁₄H₂₀ nos da información valiosa sobre la estructura.
Para calcular enlaces sigma usa la fórmula: enlaces sigma = C + H - 1. En este caso: 14 + 20 - 1 = 33 enlaces sigma totales. Los enlaces pi se calculan identificando dobles y triples enlaces.
Cada carbono tiene características específicas: su tipo (1°, 2°, 3°, 4°), su hibridación (sp³, sp², sp), y su geometría (tetraédrica, trigonal, lineal). Practica identificando estas propiedades sistemáticamente.
💡 Estrategia: Siempre dibuja la estructura completa antes de responder las preguntas.

Las combustiones completas ocurren con exceso de oxígeno y producen solo CO₂, H₂O y energía. Reconócelas por su llama azul transparente y ausencia de residuos.
Las combustiones incompletas suceden con oxígeno insuficiente, generando CO (monóxido de carbono), carbono elemental, agua y poca energía. Estas producen llamas amarillo-naranja y humo negro.
Ambos tipos son reacciones de oxidación iniciadas por flama o chispa eléctrica. La diferencia principal está en la cantidad de oxígeno disponible y los productos formados.
💡 Identifica fácil: Llama azul = combustión completa, llama amarilla + humo = incompleta.

Estos ejemplos te muestran cómo balancear ecuaciones de combustión completa e incompleta. Para combustiones incompletas, los productos pueden ser CO o carbono elemental (C).
En el primer ejemplo, C₁₃H₂₈ + 13.5 O₂ → 13 CO + 14 H₂O muestra una combustión incompleta que produce monóxido de carbono. Nota cómo se balancea cada elemento.
El segundo ejemplo produce carbono elemental: C₇H₁₆ + 4 O₂ → 7 C + 8 H₂O. La combustión completa del mismo compuesto necesitaría 11 O₂ para producir CO₂ y H₂O.
💡 Clave para balancear: Primero carbono, después hidrógeno, finalmente oxígeno.

La ecuación C₈H₁₈ + 17/2 O₂ → 8CO + 9H₂O + escasa energía es otro ejemplo de combustión incompleta. El octano (C₈H₁₈) no recibe suficiente oxígeno para oxidarse completamente.
Fíjate que se produce monóxido de carbono (CO) en lugar de dióxido de carbono (CO₂). Esta diferencia es crucial para identificar el tipo de combustión.
La cantidad fraccionaria de oxígeno (17/2) es normal en estas ecuaciones. Puedes multiplicar toda la ecuación por 2 si prefieres trabajar con números enteros.
💡 Recuerda: CO = combustión incompleta, CO₂ = combustión completa.

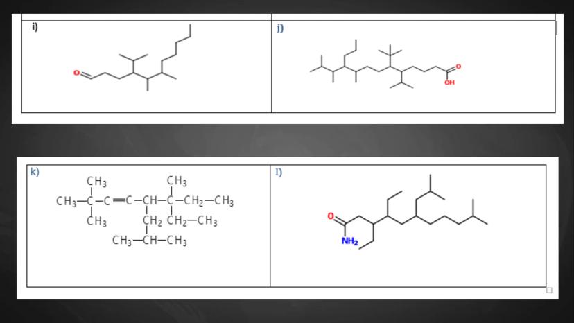
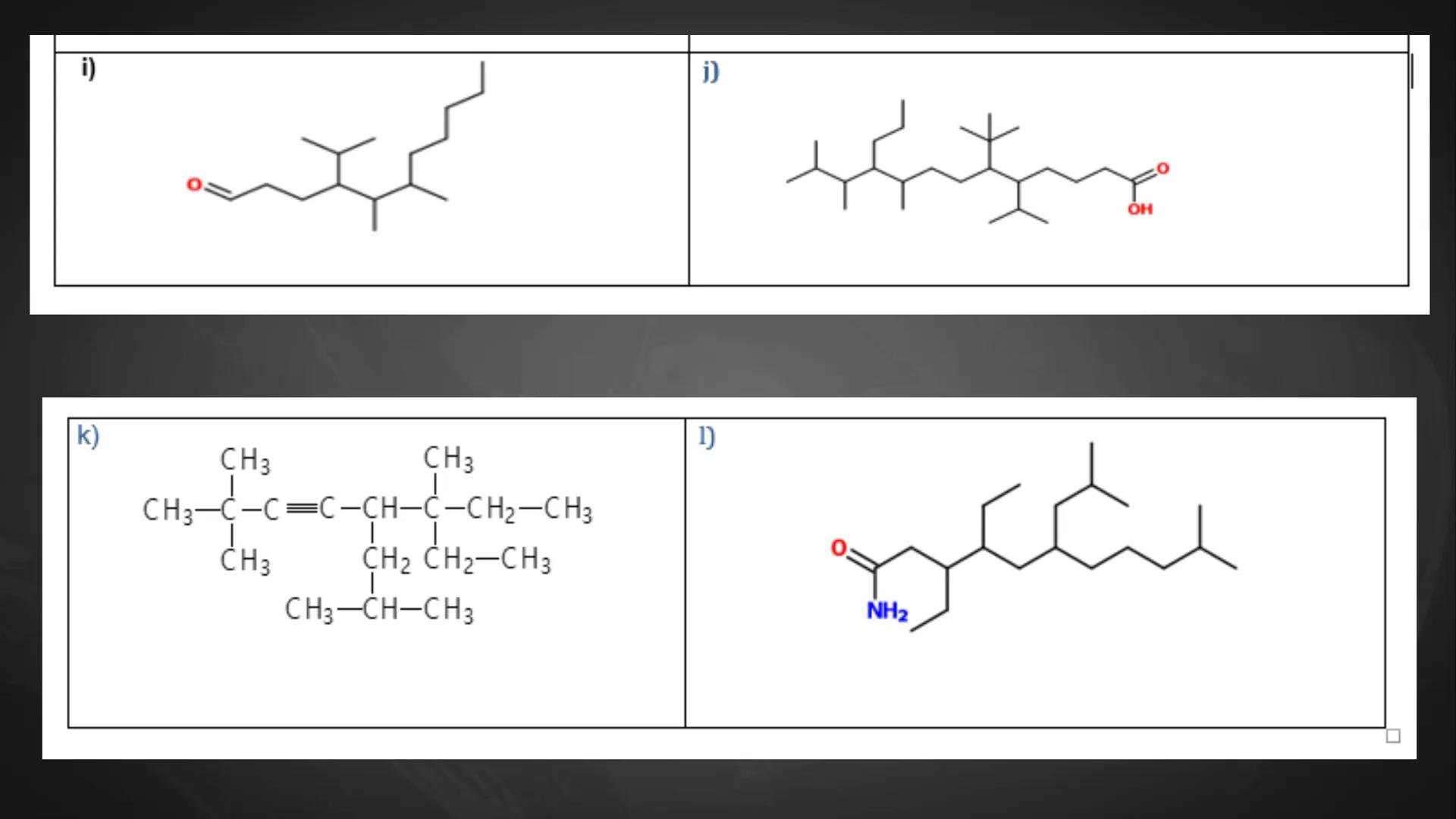
Los isómeros son compuestos con la misma fórmula molecular pero diferente estructura. Esta diferencia en el arreglo espacial les da propiedades físicas y químicas distintas.
Los isómeros de cadena varían en cómo están conectados los carbonos (ramificaciones). Los isómeros funcionales tienen diferentes grupos funcionales, como alcohol vs éter (C₂H₆O).
Los isómeros de posición mantienen el mismo esqueleto de carbono pero cambian la ubicación del grupo funcional. También existen isómeros cis-trans que difieren en la orientación espacial.
💡 Tip útil: Siempre verifica que tengan la misma fórmula molecular pero estructura diferente.

Estos ejercicios te entrenan para crear isómeros de posición moviendo grupos funcionales a diferentes carbonos. El alcohol puede moverse del carbono 2 al carbono 1 o 3.
Para la cetona C₆H₁₂O, puedes mover el grupo C=O a diferentes posiciones manteniendo la cadena de seis carbonos. El halogenuro de alquilo permite mover el bromo (Br) a distintas posiciones.
Cada cambio de posición del grupo funcional crea un isómero diferente con propiedades únicas. Practica numerando los carbonos desde diferentes extremos para encontrar todas las posibilidades.
💡 Estrategia: Numera la cadena desde ambos extremos para encontrar la posición que da el número más bajo al grupo funcional.





































Nuestro compañero de IA está específicamente adaptado a las necesidades de los estudiantes. Basándonos en los millones de contenidos que tenemos en la plataforma, podemos dar a los estudiantes respuestas realmente significativas y relevantes. Pero no se trata solo de respuestas, el compañero también guía a los estudiantes a través de sus retos de aprendizaje diarios, con planes de aprendizaje personalizados, cuestionarios o contenidos en el chat y una personalización del 100% basada en las habilidades y el desarrollo de los estudiantes.
Puedes descargar la app en Google Play Store y Apple App Store.
¡Sí lo es! Tienes acceso totalmente gratuito a todo el contenido de la app, puedes chatear con otros alumnos y recibir ayuda inmeditamente. Puedes ganar dinero utilizando la aplicación, que te permitirá acceder a determinadas funciones.
App Store
Google Play
La app es muy fácil de usar y está muy bien diseñada. Hasta ahora he encontrado todo lo que estaba buscando y he podido aprender mucho de las presentaciones. Definitivamente utilizaré la aplicación para un examen de clase. Y, por supuesto, también me sirve mucho de inspiración.
Pablo
usuario de iOS
Esta app es realmente genial. Hay tantos apuntes de clase y ayuda [...]. Tengo problemas con matemáticas, por ejemplo, y la aplicación tiene muchas opciones de ayuda. Gracias a Knowunity, he mejorado en mates. Se la recomiendo a todo el mundo.
Elena
usuaria de Android
Vaya, estoy realmente sorprendida. Acabo de probar la app porque la he visto anunciada muchas veces y me he quedado absolutamente alucinada. Esta app es LA AYUDA que quieres para el insti y, sobre todo, ofrece muchísimas cosas, como ejercicios y hojas informativas, que a mí personalmente me han sido MUY útiles.
Ana
usuaria de iOS
Solía tener dificultades para completar mis tareas a tiempo hasta que descubrí Knowunity, que no solo facilita subir mi propio contenido sino que también proporciona excelentes resúmenes que hacen mi trabajo más rápido y eficiente.
Thomas R
usuario de iOS
Siempre era un desafío encontrar toda la información importante para mis tareas – desde que comencé a usar Knowunity, puedo simplemente subir mi contenido y beneficiarme de los resúmenes de otros, lo que me ayuda mucho con la organización.
Lisa M
usuario de Android
A menudo sentía que no tenía suficiente visión general al estudiar, pero desde que comencé a usar Knowunity, eso ya no es un problema – subo mi contenido y siempre encuentro resúmenes útiles en la plataforma, lo que hace mi aprendizaje mucho más fácil.
David K
usuario de iOS
¡La app es buenísima! Sólo tengo que introducir el tema en la barra de búsqueda y recibo la respuesta muy rápido. No tengo que ver 10 vídeos de YouTube para entender algo, así que me ahorro tiempo. ¡Muy recomendable!
Sara
usuaria de Android
En el instituto era muy malo en matemáticas, pero gracias a la app, ahora saco mejores notas. Os agradezco mucho que hayáis creado la aplicación.
Roberto
usuario de Android
Solía ser muy difícil reunir toda la información para mis presentaciones. Pero desde que comencé a usar Knowunity, solo subo mis notas y encuentro increíbles resúmenes de otros – ¡hace mi estudio mucho más eficiente!
Julia S
usuario de Android
Siempre estaba estresado con todo el material de estudio, pero desde que comencé a usar Knowunity, subo mis cosas y reviso los geniales resúmenes de otros – realmente me ayuda a manejar todo mejor y es mucho menos estresante.
Marco B
usuario de iOS
LOS QUIZZES Y FLASHCARDS SON SÚPER ÚTILES Y AMO Knowunity AI. TAMBIÉN ES LITERALMENTE COMO CHATGPT PERO MÁS INTELIGENTE!! ME AYUDÓ CON MIS PROBLEMAS DE RÍMEL TAMBIÉN!! Y CON MIS MATERIAS REALES OBVIO! 😍😁😲🤑💗✨🎀😮
Sarah L
usuario de Android
Antes pasaba horas buscando en Google materiales escolares, pero ahora solo subo mis cosas a Knowunity y reviso los útiles resúmenes de otros – me siento mucho más seguro cuando me preparo para los exámenes.
Paul T
usuario de iOS
La app es muy fácil de usar y está muy bien diseñada. Hasta ahora he encontrado todo lo que estaba buscando y he podido aprender mucho de las presentaciones. Definitivamente utilizaré la aplicación para un examen de clase. Y, por supuesto, también me sirve mucho de inspiración.
Pablo
usuario de iOS
Esta app es realmente genial. Hay tantos apuntes de clase y ayuda [...]. Tengo problemas con matemáticas, por ejemplo, y la aplicación tiene muchas opciones de ayuda. Gracias a Knowunity, he mejorado en mates. Se la recomiendo a todo el mundo.
Elena
usuaria de Android
Vaya, estoy realmente sorprendida. Acabo de probar la app porque la he visto anunciada muchas veces y me he quedado absolutamente alucinada. Esta app es LA AYUDA que quieres para el insti y, sobre todo, ofrece muchísimas cosas, como ejercicios y hojas informativas, que a mí personalmente me han sido MUY útiles.
Ana
usuaria de iOS
Solía tener dificultades para completar mis tareas a tiempo hasta que descubrí Knowunity, que no solo facilita subir mi propio contenido sino que también proporciona excelentes resúmenes que hacen mi trabajo más rápido y eficiente.
Thomas R
usuario de iOS
Siempre era un desafío encontrar toda la información importante para mis tareas – desde que comencé a usar Knowunity, puedo simplemente subir mi contenido y beneficiarme de los resúmenes de otros, lo que me ayuda mucho con la organización.
Lisa M
usuario de Android
A menudo sentía que no tenía suficiente visión general al estudiar, pero desde que comencé a usar Knowunity, eso ya no es un problema – subo mi contenido y siempre encuentro resúmenes útiles en la plataforma, lo que hace mi aprendizaje mucho más fácil.
David K
usuario de iOS
¡La app es buenísima! Sólo tengo que introducir el tema en la barra de búsqueda y recibo la respuesta muy rápido. No tengo que ver 10 vídeos de YouTube para entender algo, así que me ahorro tiempo. ¡Muy recomendable!
Sara
usuaria de Android
En el instituto era muy malo en matemáticas, pero gracias a la app, ahora saco mejores notas. Os agradezco mucho que hayáis creado la aplicación.
Roberto
usuario de Android
Solía ser muy difícil reunir toda la información para mis presentaciones. Pero desde que comencé a usar Knowunity, solo subo mis notas y encuentro increíbles resúmenes de otros – ¡hace mi estudio mucho más eficiente!
Julia S
usuario de Android
Siempre estaba estresado con todo el material de estudio, pero desde que comencé a usar Knowunity, subo mis cosas y reviso los geniales resúmenes de otros – realmente me ayuda a manejar todo mejor y es mucho menos estresante.
Marco B
usuario de iOS
LOS QUIZZES Y FLASHCARDS SON SÚPER ÚTILES Y AMO Knowunity AI. TAMBIÉN ES LITERALMENTE COMO CHATGPT PERO MÁS INTELIGENTE!! ME AYUDÓ CON MIS PROBLEMAS DE RÍMEL TAMBIÉN!! Y CON MIS MATERIAS REALES OBVIO! 😍😁😲🤑💗✨🎀😮
Sarah L
usuario de Android
Antes pasaba horas buscando en Google materiales escolares, pero ahora solo subo mis cosas a Knowunity y reviso los útiles resúmenes de otros – me siento mucho más seguro cuando me preparo para los exámenes.
Paul T
usuario de iOS
Karla Rivero
@karlarrivero
¡Prepárate para tu parcial final de química orgánica! Estos conceptos esenciales sobre carbono, hibridaciones y reacciones orgánicas te van a ayudar a dominar el examen. Son los fundamentos que necesitas para entender cómo funcionan las moléculas orgánicas.

Acceso a todos los documentos
Mejora tus notas
Únete a millones de estudiantes
¡Es hora de demostrar todo lo que has aprendido sobre química orgánica! Este parcial abarca los conceptos más importantes del curso, desde la estructura del carbono hasta las reacciones complejas.
Te aseguro que con una buena preparación vas a poder resolver todos los problemas. Lo más importante es entender los patrones y aplicar las reglas que ya conoces.

Acceso a todos los documentos
Mejora tus notas
Únete a millones de estudiantes
Tu examen incluye ocho temas fundamentales que se conectan entre sí. Las hibridaciones del carbono y los tipos de carbono son la base para todo lo demás.
También verás combustiones completas e incompletas, diferentes tipos de isómeros (de posición, funcionales, de cadena), y cómo identificar grupos funcionales. La nomenclatura te ayudará a nombrar correctamente los compuestos.
Las reacciones orgánicas requieren que identifiques si son de sustitución, eliminación o adición. Finalmente, las series guiadas te permitirán aplicar todo lo aprendido en ejercicios paso a paso.
💡 Tip clave: Conecta cada tema con los demás - por ejemplo, la hibridación determina el tipo de reacciones posibles.

Acceso a todos los documentos
Mejora tus notas
Únete a millones de estudiantes
Identificar los tipos de carbono es súper fácil cuando cuentas cuántos carbonos están conectados a cada uno. Un carbono primario solo se conecta con un carbono, mientras que un secundario se une a dos.
Los carbonos terciarios se conectan con tres carbonos diferentes, y los cuaternarios están unidos a cuatro carbonos. Esta clasificación te ayuda a predecir la reactividad de cada átomo.
En el ejemplo de la molécula compleja, puedes ver cómo cada carbono está numerado y clasificado. Practica identificando cada tipo en diferentes estructuras.
💡 Recuerda: Cuenta solo las conexiones carbono-carbono, no los hidrógenos.

Acceso a todos los documentos
Mejora tus notas
Únete a millones de estudiantes
Las hibridaciones determinan la forma tridimensional de las moléculas orgánicas. La hibridación sp³ forma cuatro enlaces simples con geometría tetraédrica y ángulos de 109.5°.
La hibridación sp² combina enlaces simples y dobles, creando geometría trigonal plana con ángulos de 120°. Tiene tres orbitales híbridos y un orbital p puro que forma el enlace pi.
La hibridación sp es lineal con ángulos de 180°, presente en triples enlaces o carbonos entre dos dobles enlaces. Forma dos orbitales híbridos y deja dos orbitales p puros para enlaces pi.
💡 Fórmula útil: Total de enlaces sigma = C + H - 1

Acceso a todos los documentos
Mejora tus notas
Únete a millones de estudiantes
Este ejercicio te muestra cómo aplicar todo lo que sabes sobre hibridaciones y tipos de carbono. La fórmula molecular C₁₄H₂₀ nos da información valiosa sobre la estructura.
Para calcular enlaces sigma usa la fórmula: enlaces sigma = C + H - 1. En este caso: 14 + 20 - 1 = 33 enlaces sigma totales. Los enlaces pi se calculan identificando dobles y triples enlaces.
Cada carbono tiene características específicas: su tipo (1°, 2°, 3°, 4°), su hibridación (sp³, sp², sp), y su geometría (tetraédrica, trigonal, lineal). Practica identificando estas propiedades sistemáticamente.
💡 Estrategia: Siempre dibuja la estructura completa antes de responder las preguntas.

Acceso a todos los documentos
Mejora tus notas
Únete a millones de estudiantes
Las combustiones completas ocurren con exceso de oxígeno y producen solo CO₂, H₂O y energía. Reconócelas por su llama azul transparente y ausencia de residuos.
Las combustiones incompletas suceden con oxígeno insuficiente, generando CO (monóxido de carbono), carbono elemental, agua y poca energía. Estas producen llamas amarillo-naranja y humo negro.
Ambos tipos son reacciones de oxidación iniciadas por flama o chispa eléctrica. La diferencia principal está en la cantidad de oxígeno disponible y los productos formados.
💡 Identifica fácil: Llama azul = combustión completa, llama amarilla + humo = incompleta.

Acceso a todos los documentos
Mejora tus notas
Únete a millones de estudiantes
Estos ejemplos te muestran cómo balancear ecuaciones de combustión completa e incompleta. Para combustiones incompletas, los productos pueden ser CO o carbono elemental (C).
En el primer ejemplo, C₁₃H₂₈ + 13.5 O₂ → 13 CO + 14 H₂O muestra una combustión incompleta que produce monóxido de carbono. Nota cómo se balancea cada elemento.
El segundo ejemplo produce carbono elemental: C₇H₁₆ + 4 O₂ → 7 C + 8 H₂O. La combustión completa del mismo compuesto necesitaría 11 O₂ para producir CO₂ y H₂O.
💡 Clave para balancear: Primero carbono, después hidrógeno, finalmente oxígeno.

Acceso a todos los documentos
Mejora tus notas
Únete a millones de estudiantes
La ecuación C₈H₁₈ + 17/2 O₂ → 8CO + 9H₂O + escasa energía es otro ejemplo de combustión incompleta. El octano (C₈H₁₈) no recibe suficiente oxígeno para oxidarse completamente.
Fíjate que se produce monóxido de carbono (CO) en lugar de dióxido de carbono (CO₂). Esta diferencia es crucial para identificar el tipo de combustión.
La cantidad fraccionaria de oxígeno (17/2) es normal en estas ecuaciones. Puedes multiplicar toda la ecuación por 2 si prefieres trabajar con números enteros.
💡 Recuerda: CO = combustión incompleta, CO₂ = combustión completa.

Acceso a todos los documentos
Mejora tus notas
Únete a millones de estudiantes
Los isómeros son compuestos con la misma fórmula molecular pero diferente estructura. Esta diferencia en el arreglo espacial les da propiedades físicas y químicas distintas.
Los isómeros de cadena varían en cómo están conectados los carbonos (ramificaciones). Los isómeros funcionales tienen diferentes grupos funcionales, como alcohol vs éter (C₂H₆O).
Los isómeros de posición mantienen el mismo esqueleto de carbono pero cambian la ubicación del grupo funcional. También existen isómeros cis-trans que difieren en la orientación espacial.
💡 Tip útil: Siempre verifica que tengan la misma fórmula molecular pero estructura diferente.

Acceso a todos los documentos
Mejora tus notas
Únete a millones de estudiantes
Estos ejercicios te entrenan para crear isómeros de posición moviendo grupos funcionales a diferentes carbonos. El alcohol puede moverse del carbono 2 al carbono 1 o 3.
Para la cetona C₆H₁₂O, puedes mover el grupo C=O a diferentes posiciones manteniendo la cadena de seis carbonos. El halogenuro de alquilo permite mover el bromo (Br) a distintas posiciones.
Cada cambio de posición del grupo funcional crea un isómero diferente con propiedades únicas. Practica numerando los carbonos desde diferentes extremos para encontrar todas las posibilidades.
💡 Estrategia: Numera la cadena desde ambos extremos para encontrar la posición que da el número más bajo al grupo funcional.

Acceso a todos los documentos
Mejora tus notas
Únete a millones de estudiantes

Acceso a todos los documentos
Mejora tus notas
Únete a millones de estudiantes

Acceso a todos los documentos
Mejora tus notas
Únete a millones de estudiantes

Acceso a todos los documentos
Mejora tus notas
Únete a millones de estudiantes

Acceso a todos los documentos
Mejora tus notas
Únete a millones de estudiantes

Acceso a todos los documentos
Mejora tus notas
Únete a millones de estudiantes

Acceso a todos los documentos
Mejora tus notas
Únete a millones de estudiantes

Acceso a todos los documentos
Mejora tus notas
Únete a millones de estudiantes

Acceso a todos los documentos
Mejora tus notas
Únete a millones de estudiantes

Acceso a todos los documentos
Mejora tus notas
Únete a millones de estudiantes

Acceso a todos los documentos
Mejora tus notas
Únete a millones de estudiantes

Acceso a todos los documentos
Mejora tus notas
Únete a millones de estudiantes

Acceso a todos los documentos
Mejora tus notas
Únete a millones de estudiantes

Acceso a todos los documentos
Mejora tus notas
Únete a millones de estudiantes

Acceso a todos los documentos
Mejora tus notas
Únete a millones de estudiantes

Acceso a todos los documentos
Mejora tus notas
Únete a millones de estudiantes

Acceso a todos los documentos
Mejora tus notas
Únete a millones de estudiantes

Acceso a todos los documentos
Mejora tus notas
Únete a millones de estudiantes

Acceso a todos los documentos
Mejora tus notas
Únete a millones de estudiantes

Acceso a todos los documentos
Mejora tus notas
Únete a millones de estudiantes

Acceso a todos los documentos
Mejora tus notas
Únete a millones de estudiantes

Acceso a todos los documentos
Mejora tus notas
Únete a millones de estudiantes

Acceso a todos los documentos
Mejora tus notas
Únete a millones de estudiantes

Acceso a todos los documentos
Mejora tus notas
Únete a millones de estudiantes

Acceso a todos los documentos
Mejora tus notas
Únete a millones de estudiantes

Acceso a todos los documentos
Mejora tus notas
Únete a millones de estudiantes

Acceso a todos los documentos
Mejora tus notas
Únete a millones de estudiantes

Acceso a todos los documentos
Mejora tus notas
Únete a millones de estudiantes

Acceso a todos los documentos
Mejora tus notas
Únete a millones de estudiantes

Acceso a todos los documentos
Mejora tus notas
Únete a millones de estudiantes

Acceso a todos los documentos
Mejora tus notas
Únete a millones de estudiantes

Acceso a todos los documentos
Mejora tus notas
Únete a millones de estudiantes

Acceso a todos los documentos
Mejora tus notas
Únete a millones de estudiantes

Acceso a todos los documentos
Mejora tus notas
Únete a millones de estudiantes

Acceso a todos los documentos
Mejora tus notas
Únete a millones de estudiantes

Acceso a todos los documentos
Mejora tus notas
Únete a millones de estudiantes

Acceso a todos los documentos
Mejora tus notas
Únete a millones de estudiantes
Nuestro compañero de IA está específicamente adaptado a las necesidades de los estudiantes. Basándonos en los millones de contenidos que tenemos en la plataforma, podemos dar a los estudiantes respuestas realmente significativas y relevantes. Pero no se trata solo de respuestas, el compañero también guía a los estudiantes a través de sus retos de aprendizaje diarios, con planes de aprendizaje personalizados, cuestionarios o contenidos en el chat y una personalización del 100% basada en las habilidades y el desarrollo de los estudiantes.
Puedes descargar la app en Google Play Store y Apple App Store.
¡Sí lo es! Tienes acceso totalmente gratuito a todo el contenido de la app, puedes chatear con otros alumnos y recibir ayuda inmeditamente. Puedes ganar dinero utilizando la aplicación, que te permitirá acceder a determinadas funciones.
23
Herramientas Inteligentes NUEVO
Convierte estos apuntes en: ✓ 50+ Preguntas de Práctica ✓ Tarjetas de Estudio Interactivas ✓ Examen Completo de Práctica ✓ Esquemas de Ensayo
App Store
Google Play
La app es muy fácil de usar y está muy bien diseñada. Hasta ahora he encontrado todo lo que estaba buscando y he podido aprender mucho de las presentaciones. Definitivamente utilizaré la aplicación para un examen de clase. Y, por supuesto, también me sirve mucho de inspiración.
Pablo
usuario de iOS
Esta app es realmente genial. Hay tantos apuntes de clase y ayuda [...]. Tengo problemas con matemáticas, por ejemplo, y la aplicación tiene muchas opciones de ayuda. Gracias a Knowunity, he mejorado en mates. Se la recomiendo a todo el mundo.
Elena
usuaria de Android
Vaya, estoy realmente sorprendida. Acabo de probar la app porque la he visto anunciada muchas veces y me he quedado absolutamente alucinada. Esta app es LA AYUDA que quieres para el insti y, sobre todo, ofrece muchísimas cosas, como ejercicios y hojas informativas, que a mí personalmente me han sido MUY útiles.
Ana
usuaria de iOS
Solía tener dificultades para completar mis tareas a tiempo hasta que descubrí Knowunity, que no solo facilita subir mi propio contenido sino que también proporciona excelentes resúmenes que hacen mi trabajo más rápido y eficiente.
Thomas R
usuario de iOS
Siempre era un desafío encontrar toda la información importante para mis tareas – desde que comencé a usar Knowunity, puedo simplemente subir mi contenido y beneficiarme de los resúmenes de otros, lo que me ayuda mucho con la organización.
Lisa M
usuario de Android
A menudo sentía que no tenía suficiente visión general al estudiar, pero desde que comencé a usar Knowunity, eso ya no es un problema – subo mi contenido y siempre encuentro resúmenes útiles en la plataforma, lo que hace mi aprendizaje mucho más fácil.
David K
usuario de iOS
¡La app es buenísima! Sólo tengo que introducir el tema en la barra de búsqueda y recibo la respuesta muy rápido. No tengo que ver 10 vídeos de YouTube para entender algo, así que me ahorro tiempo. ¡Muy recomendable!
Sara
usuaria de Android
En el instituto era muy malo en matemáticas, pero gracias a la app, ahora saco mejores notas. Os agradezco mucho que hayáis creado la aplicación.
Roberto
usuario de Android
Solía ser muy difícil reunir toda la información para mis presentaciones. Pero desde que comencé a usar Knowunity, solo subo mis notas y encuentro increíbles resúmenes de otros – ¡hace mi estudio mucho más eficiente!
Julia S
usuario de Android
Siempre estaba estresado con todo el material de estudio, pero desde que comencé a usar Knowunity, subo mis cosas y reviso los geniales resúmenes de otros – realmente me ayuda a manejar todo mejor y es mucho menos estresante.
Marco B
usuario de iOS
LOS QUIZZES Y FLASHCARDS SON SÚPER ÚTILES Y AMO Knowunity AI. TAMBIÉN ES LITERALMENTE COMO CHATGPT PERO MÁS INTELIGENTE!! ME AYUDÓ CON MIS PROBLEMAS DE RÍMEL TAMBIÉN!! Y CON MIS MATERIAS REALES OBVIO! 😍😁😲🤑💗✨🎀😮
Sarah L
usuario de Android
Antes pasaba horas buscando en Google materiales escolares, pero ahora solo subo mis cosas a Knowunity y reviso los útiles resúmenes de otros – me siento mucho más seguro cuando me preparo para los exámenes.
Paul T
usuario de iOS
La app es muy fácil de usar y está muy bien diseñada. Hasta ahora he encontrado todo lo que estaba buscando y he podido aprender mucho de las presentaciones. Definitivamente utilizaré la aplicación para un examen de clase. Y, por supuesto, también me sirve mucho de inspiración.
Pablo
usuario de iOS
Esta app es realmente genial. Hay tantos apuntes de clase y ayuda [...]. Tengo problemas con matemáticas, por ejemplo, y la aplicación tiene muchas opciones de ayuda. Gracias a Knowunity, he mejorado en mates. Se la recomiendo a todo el mundo.
Elena
usuaria de Android
Vaya, estoy realmente sorprendida. Acabo de probar la app porque la he visto anunciada muchas veces y me he quedado absolutamente alucinada. Esta app es LA AYUDA que quieres para el insti y, sobre todo, ofrece muchísimas cosas, como ejercicios y hojas informativas, que a mí personalmente me han sido MUY útiles.
Ana
usuaria de iOS
Solía tener dificultades para completar mis tareas a tiempo hasta que descubrí Knowunity, que no solo facilita subir mi propio contenido sino que también proporciona excelentes resúmenes que hacen mi trabajo más rápido y eficiente.
Thomas R
usuario de iOS
Siempre era un desafío encontrar toda la información importante para mis tareas – desde que comencé a usar Knowunity, puedo simplemente subir mi contenido y beneficiarme de los resúmenes de otros, lo que me ayuda mucho con la organización.
Lisa M
usuario de Android
A menudo sentía que no tenía suficiente visión general al estudiar, pero desde que comencé a usar Knowunity, eso ya no es un problema – subo mi contenido y siempre encuentro resúmenes útiles en la plataforma, lo que hace mi aprendizaje mucho más fácil.
David K
usuario de iOS
¡La app es buenísima! Sólo tengo que introducir el tema en la barra de búsqueda y recibo la respuesta muy rápido. No tengo que ver 10 vídeos de YouTube para entender algo, así que me ahorro tiempo. ¡Muy recomendable!
Sara
usuaria de Android
En el instituto era muy malo en matemáticas, pero gracias a la app, ahora saco mejores notas. Os agradezco mucho que hayáis creado la aplicación.
Roberto
usuario de Android
Solía ser muy difícil reunir toda la información para mis presentaciones. Pero desde que comencé a usar Knowunity, solo subo mis notas y encuentro increíbles resúmenes de otros – ¡hace mi estudio mucho más eficiente!
Julia S
usuario de Android
Siempre estaba estresado con todo el material de estudio, pero desde que comencé a usar Knowunity, subo mis cosas y reviso los geniales resúmenes de otros – realmente me ayuda a manejar todo mejor y es mucho menos estresante.
Marco B
usuario de iOS
LOS QUIZZES Y FLASHCARDS SON SÚPER ÚTILES Y AMO Knowunity AI. TAMBIÉN ES LITERALMENTE COMO CHATGPT PERO MÁS INTELIGENTE!! ME AYUDÓ CON MIS PROBLEMAS DE RÍMEL TAMBIÉN!! Y CON MIS MATERIAS REALES OBVIO! 😍😁😲🤑💗✨🎀😮
Sarah L
usuario de Android
Antes pasaba horas buscando en Google materiales escolares, pero ahora solo subo mis cosas a Knowunity y reviso los útiles resúmenes de otros – me siento mucho más seguro cuando me preparo para los exámenes.
Paul T
usuario de iOS