Abrir la app

Asignaturas

Guía Completa de Ecuaciones Diferenciales

2

0

Y

Yordi Josue Jimenez Ayala

28/11/2025

Matemáticas

Apuntes Ecuaciones Diferenciales

361

28 nov 2025

68 páginas

Guía Completa de Ecuaciones Diferenciales

Y

Yordi Josue Jimenez Ayala

@yordijosuejimen

¡Prepárate para dominar las ecuaciones diferenciales! Este tema es fundamental... Mostrar más

Page 1
Page 2
Page 3
Page 4
Page 5
Page 6
Page 7
Page 8
Page 9
Page 10
Page 11
Page 12
Page 13
Page 14
Page 15
Page 16
Page 17
Page 18
Page 19
Page 20
Page 21
Page 22
Page 23
Page 24
Page 25
Page 26
Page 27
Page 28
Page 29
Page 30
Page 31
Page 32
Page 33
Page 34
Page 35
Page 36
Page 37
Page 38
Page 39
Page 40
Page 41
Page 42
Page 43
Page 44
Page 45
Page 46
Page 47
Page 48
Page 49
Page 50
Page 51
Page 52
Page 53
Page 54
Page 55
Page 56
Page 57
Page 58
Page 59
Page 60
Page 61
Page 62
Page 63
Page 64
Page 65
Page 66
Page 67
Page 68
1 / 68
Tolerancia de 20 minutos.
Horario de atención 08:00 a 22:00
Colico: raquel martinez@ingeniaria.edu
Evaluación
Examenes
60%
Tarcas
20%
*Bonus

Información del Curso y Evaluación

Tu promedio de exámenes debe ser mínimo 6.0 para aprobar. Si logras 8.0 o más, no necesitas presentar el examen final. Las clases tienen horario de 08:00 a 22:00 con tolerancia de 20 minutos.

La evaluación se distribuye así: exámenes 60%, tareas 20%, guías de estudio 10%, y ejercicios de práctica 10%. Los puntos bonus vienen de participación y asistencia, que además son tu pase para poder presentar exámenes.

Para tu portafolio de evidencias, organiza todo por tipo: E1 para exámenes, T1 para tareas, G1 para guías, y EP1 para ejercicios. Las tareas se entregan al inicio de clase y las guías tendrán el mismo formato pero con 6-10 reactivos.

Tip clave: Mantén tu asistencia al día porque sin ella no podrás presentar exámenes, sin importar qué tan bien estudies.

Tolerancia de 20 minutos.
Horario de atención 08:00 a 22:00
Colico: raquel martinez@ingeniaria.edu
Evaluación
Examenes
60%
Tarcas
20%
*Bonus

Conceptos Básicos de Ecuaciones Diferenciales

Las ecuaciones diferenciales son tu herramienta para modelar fenómenos físicos en ingeniería. Son simplemente igualdades que incluyen derivadas de variables.

Si ves derivadas más una igualdad, ya tienes una ecuación diferencial. Existen dos tipos principales: ecuaciones diferenciales ordinarias (EDO) que involucran derivadas de una variable dependiente respecto a una independiente, y ecuaciones en derivadas parciales (EDP) que manejan múltiples variables.

Las notaciones varían según el matemático: Leibniz usa dy/dx, Lagrange prefiere y', y Newton utiliza puntos sobre la variable. Para parciales, Jacobi y Cauchy tienen sus propios sistemas.

Recuerda: Si hay una sola variable dependiente, es ordinaria. Si hay más variables, es en derivadas parciales.

Tolerancia de 20 minutos.
Horario de atención 08:00 a 22:00
Colico: raquel martinez@ingeniaria.edu
Evaluación
Examenes
60%
Tarcas
20%
*Bonus

Orden y Aplicaciones de las Ecuaciones Diferenciales

El orden de una ecuación diferencial lo determina la derivada de mayor grado que aparece. No confundas la potencia con el orden: (y')⁵ - y = x sigue siendo de primer orden porque y' es la derivada mayor.

En dinámica estructural, usarás ecuaciones como Mx'' + Cx' + Kx = P(t), donde M es masa, C amortiguamiento, K rigidez, y P(t) las fuerzas aplicadas. Esta es de segundo orden porque la derivada mayor es x''.

Para identificar el orden, busca siempre la derivada que más veces se derivó, no la que tenga mayor exponente. Por ejemplo: (y'')² - 2(y')⁴ + xy⁽ᵛ⁾ = 0 es de quinto orden por y⁽ᵛ⁾.

Estrategia de estudio: Practica identificando órdenes rápidamente; será esencial en los exámenes.

Tolerancia de 20 minutos.
Horario de atención 08:00 a 22:00
Colico: raquel martinez@ingeniaria.edu
Evaluación
Examenes
60%
Tarcas
20%
*Bonus

Tipos de Coeficientes y Linealidad

Los coeficientes son todo lo que acompaña a la función y sus derivadas. Si todos son números constantes, tienes coeficientes constantes. Si al menos uno contiene variables, son coeficientes variables.

Una ecuación es lineal cuando: la función y todas sus derivadas tienen potencia uno, los coeficientes solo contienen la variable independiente, y las funciones trascendentes no contienen la función ni sus derivadas.

La linealidad sigue la forma: Aₙ(x)dⁿy/dxⁿ + ... + A₁(x)dy/dx + A₀(x)y = g(x). Si no cumple estos criterios, es no lineal.

Consejo práctico: Si ves productos como yy' o funciones como sen(y), automáticamente es no lineal.

Tolerancia de 20 minutos.
Horario de atención 08:00 a 22:00
Colico: raquel martinez@ingeniaria.edu
Evaluación
Examenes
60%
Tarcas
20%
*Bonus

Homogeneidad y Clasificación Completa

Una ecuación diferencial lineal es homogénea si g(x) = 0, es decir, cuando la variable independiente no aparece sola. Si g(x) ≠ 0, es no homogénea.

Para clasificar completamente cualquier ecuación, determina: tipo (EDO o EDP), orden, variable dependiente e independiente, tipo de coeficientes, linealidad y homogeneidad.

Ejemplos clave: dy/dx + 6x² = 0 es lineal no homogénea porque 6x² ≠ 0. Mientras que d⁴y/dx⁴ - 8d²y/dx² + 4dy/dx - 2y = 0 es lineal homogénea porque no hay término independiente.

Método eficaz: Crea una checklist mental para verificar cada característica sistemáticamente.

Tolerancia de 20 minutos.
Horario de atención 08:00 a 22:00
Colico: raquel martinez@ingeniaria.edu
Evaluación
Examenes
60%
Tarcas
20%
*Bonus

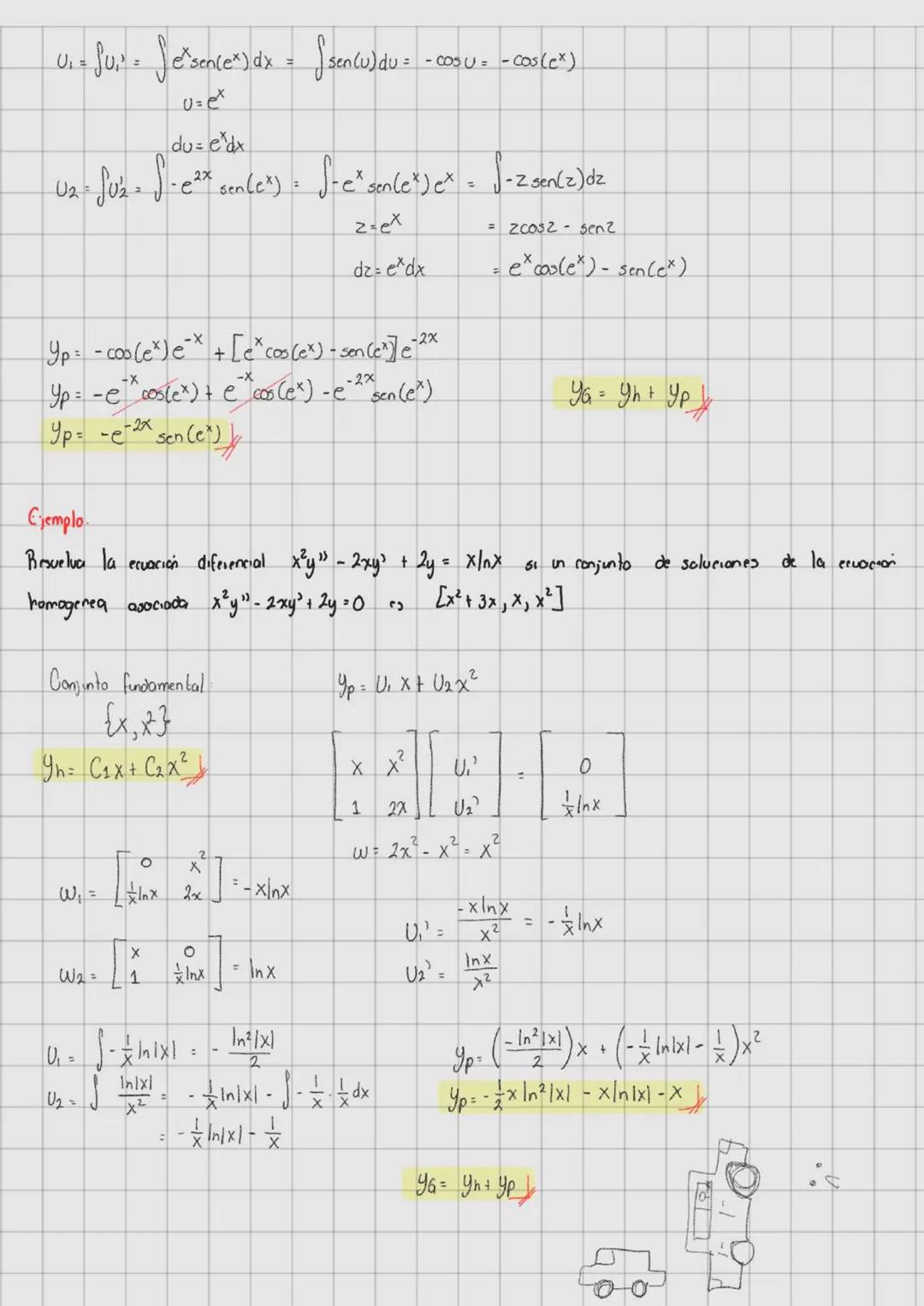
Soluciones de Ecuaciones Diferenciales

Una solución es una función que, al derivar y sustituir en la ecuación diferencial, la convierte en una identidad como0=0como 0 = 0. Es como resolver ecuaciones algebraicas, pero más sofisticado.

Para verificar si una función es solución, deriva la función propuesta, sustitúyela en la ecuación original junto con sus derivadas, y comprueba si obtienes una identidad.

La solución general contiene tantas constantes arbitrarias como el orden de la ecuación. Una solución particular se obtiene asignando valores específicos a esas constantes usando condiciones iniciales.

Tip de verificación: Si al sustituir no obtienes 0 = 0 o una identidad obvia, revisa tus derivadas y sustituciones.

Tolerancia de 20 minutos.
Horario de atención 08:00 a 22:00
Colico: raquel martinez@ingeniaria.edu
Evaluación
Examenes
60%
Tarcas
20%
*Bonus

Verificación de Soluciones y Familias de Curvas

Para verificar soluciones, sigue este proceso: deriva la función propuesta, sustituye tanto la función como su derivada en la ecuación original, y simplifica hasta obtener una identidad.

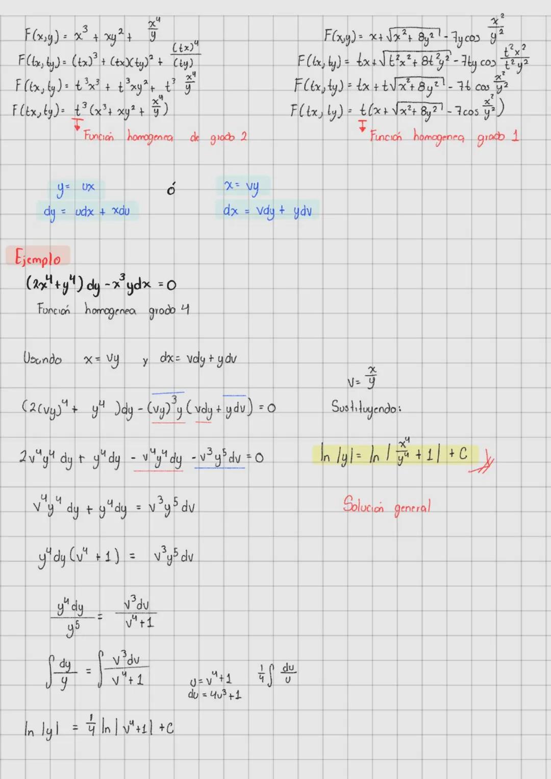
Las familias de funciones se clasifican según sus parámetros: uniparamétrica (una constante C), biparamétrica (C₁, C₂), o triparamétrica (C₁, C₂, C₃). El número de parámetros coincide con el orden de la ecuación.

Ejemplo práctico: y = xClnxC - ln x genera diferentes curvas según el valor de C. Cada valor específico de C produce una solución particular de la familia general.

Visualización clave: Imagina las familias de curvas como conjuntos de gráficas relacionadas que difieren solo por el valor de sus constantes.

Tolerancia de 20 minutos.
Horario de atención 08:00 a 22:00
Colico: raquel martinez@ingeniaria.edu
Evaluación
Examenes
60%
Tarcas
20%
*Bonus

Familias de Curvas y Representación Gráfica

Las familias de curvas representan todas las posibles soluciones de una ecuación diferencial. Por ejemplo, y = x² + C genera parábolas desplazadas verticalmente según el valor de C.

Para graficar una familia, escoge varios valores de la constante y dibuja las curvas correspondientes. C = 0 da y = x², C = -1 da y = x² - 1, y C = 2 da y = x² + 2.

Cada solución particular es una curva específica de la familia. La solución general es toda la familia completa, representando infinitas curvas posibles.

Estrategia visual: Siempre grafica al menos 3-5 curvas de la familia para entender el patrón general.

Tolerancia de 20 minutos.
Horario de atención 08:00 a 22:00
Colico: raquel martinez@ingeniaria.edu
Evaluación
Examenes
60%
Tarcas
20%
*Bonus

Verificación Avanzada y Familias Circulares

Para ecuaciones más complejas como xcx-c² + y² = 25, usa derivación implícita. Deriva ambos lados respecto a x, despeja y', y sustituye en la ecuación original.

Esta ecuación representa una familia de círculos con radio 5 y centros en (c,0). Diferentes valores de c generan círculos en distintas posiciones horizontales.

La verificación confirma que y' = -xcx-c/y satisface (y')² = 25y225-y²/y². Cada círculo específico es una solución particular de esta familia uniparamétrica.

Insight geométrico: Las familias de curvas te ayudan a visualizar cómo las soluciones cambian según las constantes.

Tolerancia de 20 minutos.
Horario de atención 08:00 a 22:00
Colico: raquel martinez@ingeniaria.edu
Evaluación
Examenes
60%
Tarcas
20%
*Bonus

Condiciones Iniciales y Problemas de Valor Inicial

Un problema de valor inicial combina una ecuación diferencial con una condición inicial y(x₀) = y₀. Esta condición te permite encontrar el valor específico de la constante C.

Las condiciones iniciales son puntos conocidos que debe cumplir tu solución. Sustituyes estos valores en la solución general para encontrar C, obteniendo así la solución particular única.

Proceso: resuelve la ecuación general, aplica la condición inicial sustituyendo los valores dados, despeja C, y finalmente sustituye este valor en la solución general.

Aplicación práctica: Las condiciones iniciales representan estados conocidos del sistema en un momento específico, como posición y velocidad iniciales.

Tolerancia de 20 minutos.
Horario de atención 08:00 a 22:00
Colico: raquel martinez@ingeniaria.edu
Evaluación
Examenes
60%
Tarcas
20%
*Bonus
Tolerancia de 20 minutos.
Horario de atención 08:00 a 22:00
Colico: raquel martinez@ingeniaria.edu
Evaluación
Examenes
60%
Tarcas
20%
*Bonus
Tolerancia de 20 minutos.
Horario de atención 08:00 a 22:00
Colico: raquel martinez@ingeniaria.edu
Evaluación
Examenes
60%
Tarcas
20%
*Bonus
Tolerancia de 20 minutos.
Horario de atención 08:00 a 22:00
Colico: raquel martinez@ingeniaria.edu
Evaluación
Examenes
60%
Tarcas
20%
*Bonus
Tolerancia de 20 minutos.
Horario de atención 08:00 a 22:00
Colico: raquel martinez@ingeniaria.edu
Evaluación
Examenes
60%
Tarcas
20%
*Bonus
Tolerancia de 20 minutos.
Horario de atención 08:00 a 22:00
Colico: raquel martinez@ingeniaria.edu
Evaluación
Examenes
60%
Tarcas
20%
*Bonus
Tolerancia de 20 minutos.
Horario de atención 08:00 a 22:00
Colico: raquel martinez@ingeniaria.edu
Evaluación
Examenes
60%
Tarcas
20%
*Bonus
Tolerancia de 20 minutos.
Horario de atención 08:00 a 22:00
Colico: raquel martinez@ingeniaria.edu
Evaluación
Examenes
60%
Tarcas
20%
*Bonus
Tolerancia de 20 minutos.
Horario de atención 08:00 a 22:00
Colico: raquel martinez@ingeniaria.edu
Evaluación
Examenes
60%
Tarcas
20%
*Bonus
Tolerancia de 20 minutos.
Horario de atención 08:00 a 22:00
Colico: raquel martinez@ingeniaria.edu
Evaluación
Examenes
60%
Tarcas
20%
*Bonus
Tolerancia de 20 minutos.
Horario de atención 08:00 a 22:00
Colico: raquel martinez@ingeniaria.edu
Evaluación
Examenes
60%
Tarcas
20%
*Bonus
Tolerancia de 20 minutos.
Horario de atención 08:00 a 22:00
Colico: raquel martinez@ingeniaria.edu
Evaluación
Examenes
60%
Tarcas
20%
*Bonus
Tolerancia de 20 minutos.
Horario de atención 08:00 a 22:00
Colico: raquel martinez@ingeniaria.edu
Evaluación
Examenes
60%
Tarcas
20%
*Bonus
Tolerancia de 20 minutos.
Horario de atención 08:00 a 22:00
Colico: raquel martinez@ingeniaria.edu
Evaluación
Examenes
60%
Tarcas
20%
*Bonus
Tolerancia de 20 minutos.
Horario de atención 08:00 a 22:00
Colico: raquel martinez@ingeniaria.edu
Evaluación
Examenes
60%
Tarcas
20%
*Bonus
Tolerancia de 20 minutos.
Horario de atención 08:00 a 22:00
Colico: raquel martinez@ingeniaria.edu
Evaluación
Examenes
60%
Tarcas
20%
*Bonus
Tolerancia de 20 minutos.
Horario de atención 08:00 a 22:00
Colico: raquel martinez@ingeniaria.edu
Evaluación
Examenes
60%
Tarcas
20%
*Bonus
Tolerancia de 20 minutos.
Horario de atención 08:00 a 22:00
Colico: raquel martinez@ingeniaria.edu
Evaluación
Examenes
60%
Tarcas
20%
*Bonus
Tolerancia de 20 minutos.
Horario de atención 08:00 a 22:00
Colico: raquel martinez@ingeniaria.edu
Evaluación
Examenes
60%
Tarcas
20%
*Bonus
Tolerancia de 20 minutos.
Horario de atención 08:00 a 22:00
Colico: raquel martinez@ingeniaria.edu
Evaluación
Examenes
60%
Tarcas
20%
*Bonus
Tolerancia de 20 minutos.
Horario de atención 08:00 a 22:00
Colico: raquel martinez@ingeniaria.edu
Evaluación
Examenes
60%
Tarcas
20%
*Bonus
Tolerancia de 20 minutos.
Horario de atención 08:00 a 22:00
Colico: raquel martinez@ingeniaria.edu
Evaluación
Examenes
60%
Tarcas
20%
*Bonus
Tolerancia de 20 minutos.
Horario de atención 08:00 a 22:00
Colico: raquel martinez@ingeniaria.edu
Evaluación
Examenes
60%
Tarcas
20%
*Bonus
Tolerancia de 20 minutos.
Horario de atención 08:00 a 22:00
Colico: raquel martinez@ingeniaria.edu
Evaluación
Examenes
60%
Tarcas
20%
*Bonus
Tolerancia de 20 minutos.
Horario de atención 08:00 a 22:00
Colico: raquel martinez@ingeniaria.edu
Evaluación
Examenes
60%
Tarcas
20%
*Bonus
Tolerancia de 20 minutos.
Horario de atención 08:00 a 22:00
Colico: raquel martinez@ingeniaria.edu
Evaluación
Examenes
60%
Tarcas
20%
*Bonus
Tolerancia de 20 minutos.
Horario de atención 08:00 a 22:00
Colico: raquel martinez@ingeniaria.edu
Evaluación
Examenes
60%
Tarcas
20%
*Bonus
Tolerancia de 20 minutos.
Horario de atención 08:00 a 22:00
Colico: raquel martinez@ingeniaria.edu
Evaluación
Examenes
60%
Tarcas
20%
*Bonus
Tolerancia de 20 minutos.
Horario de atención 08:00 a 22:00
Colico: raquel martinez@ingeniaria.edu
Evaluación
Examenes
60%
Tarcas
20%
*Bonus
Tolerancia de 20 minutos.
Horario de atención 08:00 a 22:00
Colico: raquel martinez@ingeniaria.edu
Evaluación
Examenes
60%
Tarcas
20%
*Bonus
Tolerancia de 20 minutos.
Horario de atención 08:00 a 22:00
Colico: raquel martinez@ingeniaria.edu
Evaluación
Examenes
60%
Tarcas
20%
*Bonus
Tolerancia de 20 minutos.
Horario de atención 08:00 a 22:00
Colico: raquel martinez@ingeniaria.edu
Evaluación
Examenes
60%
Tarcas
20%
*Bonus
Tolerancia de 20 minutos.
Horario de atención 08:00 a 22:00
Colico: raquel martinez@ingeniaria.edu
Evaluación
Examenes
60%
Tarcas
20%
*Bonus
Tolerancia de 20 minutos.
Horario de atención 08:00 a 22:00
Colico: raquel martinez@ingeniaria.edu
Evaluación
Examenes
60%
Tarcas
20%
*Bonus
Tolerancia de 20 minutos.
Horario de atención 08:00 a 22:00
Colico: raquel martinez@ingeniaria.edu
Evaluación
Examenes
60%
Tarcas
20%
*Bonus
Tolerancia de 20 minutos.
Horario de atención 08:00 a 22:00
Colico: raquel martinez@ingeniaria.edu
Evaluación
Examenes
60%
Tarcas
20%
*Bonus
Tolerancia de 20 minutos.
Horario de atención 08:00 a 22:00
Colico: raquel martinez@ingeniaria.edu
Evaluación
Examenes
60%
Tarcas
20%
*Bonus
Tolerancia de 20 minutos.
Horario de atención 08:00 a 22:00
Colico: raquel martinez@ingeniaria.edu
Evaluación
Examenes
60%
Tarcas
20%
*Bonus
Tolerancia de 20 minutos.
Horario de atención 08:00 a 22:00
Colico: raquel martinez@ingeniaria.edu
Evaluación
Examenes
60%
Tarcas
20%
*Bonus
Tolerancia de 20 minutos.
Horario de atención 08:00 a 22:00
Colico: raquel martinez@ingeniaria.edu
Evaluación
Examenes
60%
Tarcas
20%
*Bonus
Tolerancia de 20 minutos.
Horario de atención 08:00 a 22:00
Colico: raquel martinez@ingeniaria.edu
Evaluación
Examenes
60%
Tarcas
20%
*Bonus
Tolerancia de 20 minutos.
Horario de atención 08:00 a 22:00
Colico: raquel martinez@ingeniaria.edu
Evaluación
Examenes
60%
Tarcas
20%
*Bonus
Tolerancia de 20 minutos.
Horario de atención 08:00 a 22:00
Colico: raquel martinez@ingeniaria.edu
Evaluación
Examenes
60%
Tarcas
20%
*Bonus
Tolerancia de 20 minutos.
Horario de atención 08:00 a 22:00
Colico: raquel martinez@ingeniaria.edu
Evaluación
Examenes
60%
Tarcas
20%
*Bonus
Tolerancia de 20 minutos.
Horario de atención 08:00 a 22:00
Colico: raquel martinez@ingeniaria.edu
Evaluación
Examenes
60%
Tarcas
20%
*Bonus
Tolerancia de 20 minutos.
Horario de atención 08:00 a 22:00
Colico: raquel martinez@ingeniaria.edu
Evaluación
Examenes
60%
Tarcas
20%
*Bonus
Tolerancia de 20 minutos.
Horario de atención 08:00 a 22:00
Colico: raquel martinez@ingeniaria.edu
Evaluación
Examenes
60%
Tarcas
20%
*Bonus
Tolerancia de 20 minutos.
Horario de atención 08:00 a 22:00
Colico: raquel martinez@ingeniaria.edu
Evaluación
Examenes
60%
Tarcas
20%
*Bonus
Tolerancia de 20 minutos.
Horario de atención 08:00 a 22:00
Colico: raquel martinez@ingeniaria.edu
Evaluación
Examenes
60%
Tarcas
20%
*Bonus
Tolerancia de 20 minutos.
Horario de atención 08:00 a 22:00
Colico: raquel martinez@ingeniaria.edu
Evaluación
Examenes
60%
Tarcas
20%
*Bonus
Tolerancia de 20 minutos.
Horario de atención 08:00 a 22:00
Colico: raquel martinez@ingeniaria.edu
Evaluación
Examenes
60%
Tarcas
20%
*Bonus
Tolerancia de 20 minutos.
Horario de atención 08:00 a 22:00
Colico: raquel martinez@ingeniaria.edu
Evaluación
Examenes
60%
Tarcas
20%
*Bonus
Tolerancia de 20 minutos.
Horario de atención 08:00 a 22:00
Colico: raquel martinez@ingeniaria.edu
Evaluación
Examenes
60%
Tarcas
20%
*Bonus
Tolerancia de 20 minutos.
Horario de atención 08:00 a 22:00
Colico: raquel martinez@ingeniaria.edu
Evaluación
Examenes
60%
Tarcas
20%
*Bonus
Tolerancia de 20 minutos.
Horario de atención 08:00 a 22:00
Colico: raquel martinez@ingeniaria.edu
Evaluación
Examenes
60%
Tarcas
20%
*Bonus
Tolerancia de 20 minutos.
Horario de atención 08:00 a 22:00
Colico: raquel martinez@ingeniaria.edu
Evaluación
Examenes
60%
Tarcas
20%
*Bonus
Tolerancia de 20 minutos.
Horario de atención 08:00 a 22:00
Colico: raquel martinez@ingeniaria.edu
Evaluación
Examenes
60%
Tarcas
20%
*Bonus
Tolerancia de 20 minutos.
Horario de atención 08:00 a 22:00
Colico: raquel martinez@ingeniaria.edu
Evaluación
Examenes
60%
Tarcas
20%
*Bonus


Pensamos que nunca lo preguntarías...

¿Qué es Knowunity AI companion?

Nuestro compañero de IA está específicamente adaptado a las necesidades de los estudiantes. Basándonos en los millones de contenidos que tenemos en la plataforma, podemos dar a los estudiantes respuestas realmente significativas y relevantes. Pero no se trata solo de respuestas, el compañero también guía a los estudiantes a través de sus retos de aprendizaje diarios, con planes de aprendizaje personalizados, cuestionarios o contenidos en el chat y una personalización del 100% basada en las habilidades y el desarrollo de los estudiantes.

¿Dónde puedo descargar la app Knowunity?

Puedes descargar la app en Google Play Store y Apple App Store.

¿Knowunity es totalmente gratuito?

¡Sí lo es! Tienes acceso totalmente gratuito a todo el contenido de la app, puedes chatear con otros alumnos y recibir ayuda inmeditamente. Puedes ganar dinero utilizando la aplicación, que te permitirá acceder a determinadas funciones.

¿No encuentras lo que buscas? Explora otros temas.

Reseñas de nuestros usuarios. Ellos obtuvieron todo lo bueno — y tú también lo harías.

4.9/5

App Store

4.8/5

Google Play

La app es muy fácil de usar y está muy bien diseñada. Hasta ahora he encontrado todo lo que estaba buscando y he podido aprender mucho de las presentaciones. Definitivamente utilizaré la aplicación para un examen de clase. Y, por supuesto, también me sirve mucho de inspiración.

Pablo

usuario de iOS

Esta app es realmente genial. Hay tantos apuntes de clase y ayuda [...]. Tengo problemas con matemáticas, por ejemplo, y la aplicación tiene muchas opciones de ayuda. Gracias a Knowunity, he mejorado en mates. Se la recomiendo a todo el mundo.

Elena

usuaria de Android

Vaya, estoy realmente sorprendida. Acabo de probar la app porque la he visto anunciada muchas veces y me he quedado absolutamente alucinada. Esta app es LA AYUDA que quieres para el insti y, sobre todo, ofrece muchísimas cosas, como ejercicios y hojas informativas, que a mí personalmente me han sido MUY útiles.

Ana

usuaria de iOS

Solía tener dificultades para completar mis tareas a tiempo hasta que descubrí Knowunity, que no solo facilita subir mi propio contenido sino que también proporciona excelentes resúmenes que hacen mi trabajo más rápido y eficiente.

Thomas R

usuario de iOS

Siempre era un desafío encontrar toda la información importante para mis tareas – desde que comencé a usar Knowunity, puedo simplemente subir mi contenido y beneficiarme de los resúmenes de otros, lo que me ayuda mucho con la organización.

Lisa M

usuario de Android

A menudo sentía que no tenía suficiente visión general al estudiar, pero desde que comencé a usar Knowunity, eso ya no es un problema – subo mi contenido y siempre encuentro resúmenes útiles en la plataforma, lo que hace mi aprendizaje mucho más fácil.

David K

usuario de iOS

¡La app es buenísima! Sólo tengo que introducir el tema en la barra de búsqueda y recibo la respuesta muy rápido. No tengo que ver 10 vídeos de YouTube para entender algo, así que me ahorro tiempo. ¡Muy recomendable!

Sara

usuaria de Android

En el instituto era muy malo en matemáticas, pero gracias a la app, ahora saco mejores notas. Os agradezco mucho que hayáis creado la aplicación.

Roberto

usuario de Android

Solía ser muy difícil reunir toda la información para mis presentaciones. Pero desde que comencé a usar Knowunity, solo subo mis notas y encuentro increíbles resúmenes de otros – ¡hace mi estudio mucho más eficiente!

Julia S

usuario de Android

Siempre estaba estresado con todo el material de estudio, pero desde que comencé a usar Knowunity, subo mis cosas y reviso los geniales resúmenes de otros – realmente me ayuda a manejar todo mejor y es mucho menos estresante.

Marco B

usuario de iOS

Siempre era difícil encontrar los materiales correctos para mis tareas. Ahora solo subo mis apuntes a Knowunity y obtengo los mejores resúmenes de otros – realmente me ayuda a entender todo más rápido y mejora mis calificaciones.

Sarah L

usuario de Android

Antes pasaba horas buscando en Google materiales escolares, pero ahora solo subo mis cosas a Knowunity y reviso los útiles resúmenes de otros – me siento mucho más seguro cuando me preparo para los exámenes.

Paul T

usuario de iOS

La app es muy fácil de usar y está muy bien diseñada. Hasta ahora he encontrado todo lo que estaba buscando y he podido aprender mucho de las presentaciones. Definitivamente utilizaré la aplicación para un examen de clase. Y, por supuesto, también me sirve mucho de inspiración.

Pablo

usuario de iOS

Esta app es realmente genial. Hay tantos apuntes de clase y ayuda [...]. Tengo problemas con matemáticas, por ejemplo, y la aplicación tiene muchas opciones de ayuda. Gracias a Knowunity, he mejorado en mates. Se la recomiendo a todo el mundo.

Elena

usuaria de Android

Vaya, estoy realmente sorprendida. Acabo de probar la app porque la he visto anunciada muchas veces y me he quedado absolutamente alucinada. Esta app es LA AYUDA que quieres para el insti y, sobre todo, ofrece muchísimas cosas, como ejercicios y hojas informativas, que a mí personalmente me han sido MUY útiles.

Ana

usuaria de iOS

Solía tener dificultades para completar mis tareas a tiempo hasta que descubrí Knowunity, que no solo facilita subir mi propio contenido sino que también proporciona excelentes resúmenes que hacen mi trabajo más rápido y eficiente.

Thomas R

usuario de iOS

Siempre era un desafío encontrar toda la información importante para mis tareas – desde que comencé a usar Knowunity, puedo simplemente subir mi contenido y beneficiarme de los resúmenes de otros, lo que me ayuda mucho con la organización.

Lisa M

usuario de Android

A menudo sentía que no tenía suficiente visión general al estudiar, pero desde que comencé a usar Knowunity, eso ya no es un problema – subo mi contenido y siempre encuentro resúmenes útiles en la plataforma, lo que hace mi aprendizaje mucho más fácil.

David K

usuario de iOS

¡La app es buenísima! Sólo tengo que introducir el tema en la barra de búsqueda y recibo la respuesta muy rápido. No tengo que ver 10 vídeos de YouTube para entender algo, así que me ahorro tiempo. ¡Muy recomendable!

Sara

usuaria de Android

En el instituto era muy malo en matemáticas, pero gracias a la app, ahora saco mejores notas. Os agradezco mucho que hayáis creado la aplicación.

Roberto

usuario de Android

Solía ser muy difícil reunir toda la información para mis presentaciones. Pero desde que comencé a usar Knowunity, solo subo mis notas y encuentro increíbles resúmenes de otros – ¡hace mi estudio mucho más eficiente!

Julia S

usuario de Android

Siempre estaba estresado con todo el material de estudio, pero desde que comencé a usar Knowunity, subo mis cosas y reviso los geniales resúmenes de otros – realmente me ayuda a manejar todo mejor y es mucho menos estresante.

Marco B

usuario de iOS

Siempre era difícil encontrar los materiales correctos para mis tareas. Ahora solo subo mis apuntes a Knowunity y obtengo los mejores resúmenes de otros – realmente me ayuda a entender todo más rápido y mejora mis calificaciones.

Sarah L

usuario de Android

Antes pasaba horas buscando en Google materiales escolares, pero ahora solo subo mis cosas a Knowunity y reviso los útiles resúmenes de otros – me siento mucho más seguro cuando me preparo para los exámenes.

Paul T

usuario de iOS

 

Matemáticas

361

28 nov 2025

68 páginas

Guía Completa de Ecuaciones Diferenciales

Y

Yordi Josue Jimenez Ayala

@yordijosuejimen

¡Prepárate para dominar las ecuaciones diferenciales! Este tema es fundamental en ingeniería porque te permite modelar fenómenos físicos reales como el movimiento de estructuras. Vamos a cubrir desde la información básica del curso hasta los conceptos esenciales de ecuaciones diferenciales... Mostrar más

Tolerancia de 20 minutos.
Horario de atención 08:00 a 22:00
Colico: raquel martinez@ingeniaria.edu
Evaluación
Examenes
60%
Tarcas
20%
*Bonus

Inscríbete para ver los apuntes¡Es gratis!

Acceso a todos los documentos

Mejora tus notas

Únete a millones de estudiantes

Al registrarte aceptas las Condiciones del servicio y la Política de privacidad.

Información del Curso y Evaluación

Tu promedio de exámenes debe ser mínimo 6.0 para aprobar. Si logras 8.0 o más, no necesitas presentar el examen final. Las clases tienen horario de 08:00 a 22:00 con tolerancia de 20 minutos.

La evaluación se distribuye así: exámenes 60%, tareas 20%, guías de estudio 10%, y ejercicios de práctica 10%. Los puntos bonus vienen de participación y asistencia, que además son tu pase para poder presentar exámenes.

Para tu portafolio de evidencias, organiza todo por tipo: E1 para exámenes, T1 para tareas, G1 para guías, y EP1 para ejercicios. Las tareas se entregan al inicio de clase y las guías tendrán el mismo formato pero con 6-10 reactivos.

Tip clave: Mantén tu asistencia al día porque sin ella no podrás presentar exámenes, sin importar qué tan bien estudies.

Tolerancia de 20 minutos.
Horario de atención 08:00 a 22:00
Colico: raquel martinez@ingeniaria.edu
Evaluación
Examenes
60%
Tarcas
20%
*Bonus

Inscríbete para ver los apuntes¡Es gratis!

Acceso a todos los documentos

Mejora tus notas

Únete a millones de estudiantes

Al registrarte aceptas las Condiciones del servicio y la Política de privacidad.

Conceptos Básicos de Ecuaciones Diferenciales

Las ecuaciones diferenciales son tu herramienta para modelar fenómenos físicos en ingeniería. Son simplemente igualdades que incluyen derivadas de variables.

Si ves derivadas más una igualdad, ya tienes una ecuación diferencial. Existen dos tipos principales: ecuaciones diferenciales ordinarias (EDO) que involucran derivadas de una variable dependiente respecto a una independiente, y ecuaciones en derivadas parciales (EDP) que manejan múltiples variables.

Las notaciones varían según el matemático: Leibniz usa dy/dx, Lagrange prefiere y', y Newton utiliza puntos sobre la variable. Para parciales, Jacobi y Cauchy tienen sus propios sistemas.

Recuerda: Si hay una sola variable dependiente, es ordinaria. Si hay más variables, es en derivadas parciales.

Tolerancia de 20 minutos.
Horario de atención 08:00 a 22:00
Colico: raquel martinez@ingeniaria.edu
Evaluación
Examenes
60%
Tarcas
20%
*Bonus

Inscríbete para ver los apuntes¡Es gratis!

Acceso a todos los documentos

Mejora tus notas

Únete a millones de estudiantes

Al registrarte aceptas las Condiciones del servicio y la Política de privacidad.

Orden y Aplicaciones de las Ecuaciones Diferenciales

El orden de una ecuación diferencial lo determina la derivada de mayor grado que aparece. No confundas la potencia con el orden: (y')⁵ - y = x sigue siendo de primer orden porque y' es la derivada mayor.

En dinámica estructural, usarás ecuaciones como Mx'' + Cx' + Kx = P(t), donde M es masa, C amortiguamiento, K rigidez, y P(t) las fuerzas aplicadas. Esta es de segundo orden porque la derivada mayor es x''.

Para identificar el orden, busca siempre la derivada que más veces se derivó, no la que tenga mayor exponente. Por ejemplo: (y'')² - 2(y')⁴ + xy⁽ᵛ⁾ = 0 es de quinto orden por y⁽ᵛ⁾.

Estrategia de estudio: Practica identificando órdenes rápidamente; será esencial en los exámenes.

Tolerancia de 20 minutos.
Horario de atención 08:00 a 22:00
Colico: raquel martinez@ingeniaria.edu
Evaluación
Examenes
60%
Tarcas
20%
*Bonus

Inscríbete para ver los apuntes¡Es gratis!

Acceso a todos los documentos

Mejora tus notas

Únete a millones de estudiantes

Al registrarte aceptas las Condiciones del servicio y la Política de privacidad.

Tipos de Coeficientes y Linealidad

Los coeficientes son todo lo que acompaña a la función y sus derivadas. Si todos son números constantes, tienes coeficientes constantes. Si al menos uno contiene variables, son coeficientes variables.

Una ecuación es lineal cuando: la función y todas sus derivadas tienen potencia uno, los coeficientes solo contienen la variable independiente, y las funciones trascendentes no contienen la función ni sus derivadas.

La linealidad sigue la forma: Aₙ(x)dⁿy/dxⁿ + ... + A₁(x)dy/dx + A₀(x)y = g(x). Si no cumple estos criterios, es no lineal.

Consejo práctico: Si ves productos como yy' o funciones como sen(y), automáticamente es no lineal.

Tolerancia de 20 minutos.
Horario de atención 08:00 a 22:00
Colico: raquel martinez@ingeniaria.edu
Evaluación
Examenes
60%
Tarcas
20%
*Bonus

Inscríbete para ver los apuntes¡Es gratis!

Acceso a todos los documentos

Mejora tus notas

Únete a millones de estudiantes

Al registrarte aceptas las Condiciones del servicio y la Política de privacidad.

Homogeneidad y Clasificación Completa

Una ecuación diferencial lineal es homogénea si g(x) = 0, es decir, cuando la variable independiente no aparece sola. Si g(x) ≠ 0, es no homogénea.

Para clasificar completamente cualquier ecuación, determina: tipo (EDO o EDP), orden, variable dependiente e independiente, tipo de coeficientes, linealidad y homogeneidad.

Ejemplos clave: dy/dx + 6x² = 0 es lineal no homogénea porque 6x² ≠ 0. Mientras que d⁴y/dx⁴ - 8d²y/dx² + 4dy/dx - 2y = 0 es lineal homogénea porque no hay término independiente.

Método eficaz: Crea una checklist mental para verificar cada característica sistemáticamente.

Tolerancia de 20 minutos.
Horario de atención 08:00 a 22:00
Colico: raquel martinez@ingeniaria.edu
Evaluación
Examenes
60%
Tarcas
20%
*Bonus

Inscríbete para ver los apuntes¡Es gratis!

Acceso a todos los documentos

Mejora tus notas

Únete a millones de estudiantes

Al registrarte aceptas las Condiciones del servicio y la Política de privacidad.

Soluciones de Ecuaciones Diferenciales

Una solución es una función que, al derivar y sustituir en la ecuación diferencial, la convierte en una identidad como0=0como 0 = 0. Es como resolver ecuaciones algebraicas, pero más sofisticado.

Para verificar si una función es solución, deriva la función propuesta, sustitúyela en la ecuación original junto con sus derivadas, y comprueba si obtienes una identidad.

La solución general contiene tantas constantes arbitrarias como el orden de la ecuación. Una solución particular se obtiene asignando valores específicos a esas constantes usando condiciones iniciales.

Tip de verificación: Si al sustituir no obtienes 0 = 0 o una identidad obvia, revisa tus derivadas y sustituciones.

Tolerancia de 20 minutos.
Horario de atención 08:00 a 22:00
Colico: raquel martinez@ingeniaria.edu
Evaluación
Examenes
60%
Tarcas
20%
*Bonus

Inscríbete para ver los apuntes¡Es gratis!

Acceso a todos los documentos

Mejora tus notas

Únete a millones de estudiantes

Al registrarte aceptas las Condiciones del servicio y la Política de privacidad.

Verificación de Soluciones y Familias de Curvas

Para verificar soluciones, sigue este proceso: deriva la función propuesta, sustituye tanto la función como su derivada en la ecuación original, y simplifica hasta obtener una identidad.

Las familias de funciones se clasifican según sus parámetros: uniparamétrica (una constante C), biparamétrica (C₁, C₂), o triparamétrica (C₁, C₂, C₃). El número de parámetros coincide con el orden de la ecuación.

Ejemplo práctico: y = xClnxC - ln x genera diferentes curvas según el valor de C. Cada valor específico de C produce una solución particular de la familia general.

Visualización clave: Imagina las familias de curvas como conjuntos de gráficas relacionadas que difieren solo por el valor de sus constantes.

Tolerancia de 20 minutos.
Horario de atención 08:00 a 22:00
Colico: raquel martinez@ingeniaria.edu
Evaluación
Examenes
60%
Tarcas
20%
*Bonus

Inscríbete para ver los apuntes¡Es gratis!

Acceso a todos los documentos

Mejora tus notas

Únete a millones de estudiantes

Al registrarte aceptas las Condiciones del servicio y la Política de privacidad.

Familias de Curvas y Representación Gráfica

Las familias de curvas representan todas las posibles soluciones de una ecuación diferencial. Por ejemplo, y = x² + C genera parábolas desplazadas verticalmente según el valor de C.

Para graficar una familia, escoge varios valores de la constante y dibuja las curvas correspondientes. C = 0 da y = x², C = -1 da y = x² - 1, y C = 2 da y = x² + 2.

Cada solución particular es una curva específica de la familia. La solución general es toda la familia completa, representando infinitas curvas posibles.

Estrategia visual: Siempre grafica al menos 3-5 curvas de la familia para entender el patrón general.

Tolerancia de 20 minutos.
Horario de atención 08:00 a 22:00
Colico: raquel martinez@ingeniaria.edu
Evaluación
Examenes
60%
Tarcas
20%
*Bonus

Inscríbete para ver los apuntes¡Es gratis!

Acceso a todos los documentos

Mejora tus notas

Únete a millones de estudiantes

Al registrarte aceptas las Condiciones del servicio y la Política de privacidad.

Verificación Avanzada y Familias Circulares

Para ecuaciones más complejas como xcx-c² + y² = 25, usa derivación implícita. Deriva ambos lados respecto a x, despeja y', y sustituye en la ecuación original.

Esta ecuación representa una familia de círculos con radio 5 y centros en (c,0). Diferentes valores de c generan círculos en distintas posiciones horizontales.

La verificación confirma que y' = -xcx-c/y satisface (y')² = 25y225-y²/y². Cada círculo específico es una solución particular de esta familia uniparamétrica.

Insight geométrico: Las familias de curvas te ayudan a visualizar cómo las soluciones cambian según las constantes.

Tolerancia de 20 minutos.
Horario de atención 08:00 a 22:00
Colico: raquel martinez@ingeniaria.edu
Evaluación
Examenes
60%
Tarcas
20%
*Bonus

Inscríbete para ver los apuntes¡Es gratis!

Acceso a todos los documentos

Mejora tus notas

Únete a millones de estudiantes

Al registrarte aceptas las Condiciones del servicio y la Política de privacidad.

Condiciones Iniciales y Problemas de Valor Inicial

Un problema de valor inicial combina una ecuación diferencial con una condición inicial y(x₀) = y₀. Esta condición te permite encontrar el valor específico de la constante C.

Las condiciones iniciales son puntos conocidos que debe cumplir tu solución. Sustituyes estos valores en la solución general para encontrar C, obteniendo así la solución particular única.

Proceso: resuelve la ecuación general, aplica la condición inicial sustituyendo los valores dados, despeja C, y finalmente sustituye este valor en la solución general.

Aplicación práctica: Las condiciones iniciales representan estados conocidos del sistema en un momento específico, como posición y velocidad iniciales.

Tolerancia de 20 minutos.
Horario de atención 08:00 a 22:00
Colico: raquel martinez@ingeniaria.edu
Evaluación
Examenes
60%
Tarcas
20%
*Bonus

Inscríbete para ver los apuntes¡Es gratis!

Acceso a todos los documentos

Mejora tus notas

Únete a millones de estudiantes

Al registrarte aceptas las Condiciones del servicio y la Política de privacidad.

Tolerancia de 20 minutos.
Horario de atención 08:00 a 22:00
Colico: raquel martinez@ingeniaria.edu
Evaluación
Examenes
60%
Tarcas
20%
*Bonus

Inscríbete para ver los apuntes¡Es gratis!

Acceso a todos los documentos

Mejora tus notas

Únete a millones de estudiantes

Al registrarte aceptas las Condiciones del servicio y la Política de privacidad.

Tolerancia de 20 minutos.
Horario de atención 08:00 a 22:00
Colico: raquel martinez@ingeniaria.edu
Evaluación
Examenes
60%
Tarcas
20%
*Bonus

Inscríbete para ver los apuntes¡Es gratis!

Acceso a todos los documentos

Mejora tus notas

Únete a millones de estudiantes

Al registrarte aceptas las Condiciones del servicio y la Política de privacidad.

Tolerancia de 20 minutos.
Horario de atención 08:00 a 22:00
Colico: raquel martinez@ingeniaria.edu
Evaluación
Examenes
60%
Tarcas
20%
*Bonus

Inscríbete para ver los apuntes¡Es gratis!

Acceso a todos los documentos

Mejora tus notas

Únete a millones de estudiantes

Al registrarte aceptas las Condiciones del servicio y la Política de privacidad.

Tolerancia de 20 minutos.
Horario de atención 08:00 a 22:00
Colico: raquel martinez@ingeniaria.edu
Evaluación
Examenes
60%
Tarcas
20%
*Bonus

Inscríbete para ver los apuntes¡Es gratis!

Acceso a todos los documentos

Mejora tus notas

Únete a millones de estudiantes

Al registrarte aceptas las Condiciones del servicio y la Política de privacidad.

Tolerancia de 20 minutos.
Horario de atención 08:00 a 22:00
Colico: raquel martinez@ingeniaria.edu
Evaluación
Examenes
60%
Tarcas
20%
*Bonus

Inscríbete para ver los apuntes¡Es gratis!

Acceso a todos los documentos

Mejora tus notas

Únete a millones de estudiantes

Al registrarte aceptas las Condiciones del servicio y la Política de privacidad.

Tolerancia de 20 minutos.
Horario de atención 08:00 a 22:00
Colico: raquel martinez@ingeniaria.edu
Evaluación
Examenes
60%
Tarcas
20%
*Bonus

Inscríbete para ver los apuntes¡Es gratis!

Acceso a todos los documentos

Mejora tus notas

Únete a millones de estudiantes

Al registrarte aceptas las Condiciones del servicio y la Política de privacidad.

Tolerancia de 20 minutos.
Horario de atención 08:00 a 22:00
Colico: raquel martinez@ingeniaria.edu
Evaluación
Examenes
60%
Tarcas
20%
*Bonus

Inscríbete para ver los apuntes¡Es gratis!

Acceso a todos los documentos

Mejora tus notas

Únete a millones de estudiantes

Al registrarte aceptas las Condiciones del servicio y la Política de privacidad.

Tolerancia de 20 minutos.
Horario de atención 08:00 a 22:00
Colico: raquel martinez@ingeniaria.edu
Evaluación
Examenes
60%
Tarcas
20%
*Bonus

Inscríbete para ver los apuntes¡Es gratis!

Acceso a todos los documentos

Mejora tus notas

Únete a millones de estudiantes

Al registrarte aceptas las Condiciones del servicio y la Política de privacidad.

Tolerancia de 20 minutos.
Horario de atención 08:00 a 22:00
Colico: raquel martinez@ingeniaria.edu
Evaluación
Examenes
60%
Tarcas
20%
*Bonus

Inscríbete para ver los apuntes¡Es gratis!

Acceso a todos los documentos

Mejora tus notas

Únete a millones de estudiantes

Al registrarte aceptas las Condiciones del servicio y la Política de privacidad.

Tolerancia de 20 minutos.
Horario de atención 08:00 a 22:00
Colico: raquel martinez@ingeniaria.edu
Evaluación
Examenes
60%
Tarcas
20%
*Bonus

Inscríbete para ver los apuntes¡Es gratis!

Acceso a todos los documentos

Mejora tus notas

Únete a millones de estudiantes

Al registrarte aceptas las Condiciones del servicio y la Política de privacidad.

Tolerancia de 20 minutos.
Horario de atención 08:00 a 22:00
Colico: raquel martinez@ingeniaria.edu
Evaluación
Examenes
60%
Tarcas
20%
*Bonus

Inscríbete para ver los apuntes¡Es gratis!

Acceso a todos los documentos

Mejora tus notas

Únete a millones de estudiantes

Al registrarte aceptas las Condiciones del servicio y la Política de privacidad.

Tolerancia de 20 minutos.
Horario de atención 08:00 a 22:00
Colico: raquel martinez@ingeniaria.edu
Evaluación
Examenes
60%
Tarcas
20%
*Bonus

Inscríbete para ver los apuntes¡Es gratis!

Acceso a todos los documentos

Mejora tus notas

Únete a millones de estudiantes

Al registrarte aceptas las Condiciones del servicio y la Política de privacidad.

Tolerancia de 20 minutos.
Horario de atención 08:00 a 22:00
Colico: raquel martinez@ingeniaria.edu
Evaluación
Examenes
60%
Tarcas
20%
*Bonus

Inscríbete para ver los apuntes¡Es gratis!

Acceso a todos los documentos

Mejora tus notas

Únete a millones de estudiantes

Al registrarte aceptas las Condiciones del servicio y la Política de privacidad.

Tolerancia de 20 minutos.
Horario de atención 08:00 a 22:00
Colico: raquel martinez@ingeniaria.edu
Evaluación
Examenes
60%
Tarcas
20%
*Bonus

Inscríbete para ver los apuntes¡Es gratis!

Acceso a todos los documentos

Mejora tus notas

Únete a millones de estudiantes

Al registrarte aceptas las Condiciones del servicio y la Política de privacidad.

Tolerancia de 20 minutos.
Horario de atención 08:00 a 22:00
Colico: raquel martinez@ingeniaria.edu
Evaluación
Examenes
60%
Tarcas
20%
*Bonus

Inscríbete para ver los apuntes¡Es gratis!

Acceso a todos los documentos

Mejora tus notas

Únete a millones de estudiantes

Al registrarte aceptas las Condiciones del servicio y la Política de privacidad.

Tolerancia de 20 minutos.
Horario de atención 08:00 a 22:00
Colico: raquel martinez@ingeniaria.edu
Evaluación
Examenes
60%
Tarcas
20%
*Bonus

Inscríbete para ver los apuntes¡Es gratis!

Acceso a todos los documentos

Mejora tus notas

Únete a millones de estudiantes

Al registrarte aceptas las Condiciones del servicio y la Política de privacidad.

Tolerancia de 20 minutos.
Horario de atención 08:00 a 22:00
Colico: raquel martinez@ingeniaria.edu
Evaluación
Examenes
60%
Tarcas
20%
*Bonus

Inscríbete para ver los apuntes¡Es gratis!

Acceso a todos los documentos

Mejora tus notas

Únete a millones de estudiantes

Al registrarte aceptas las Condiciones del servicio y la Política de privacidad.

Tolerancia de 20 minutos.
Horario de atención 08:00 a 22:00
Colico: raquel martinez@ingeniaria.edu
Evaluación
Examenes
60%
Tarcas
20%
*Bonus

Inscríbete para ver los apuntes¡Es gratis!

Acceso a todos los documentos

Mejora tus notas

Únete a millones de estudiantes

Al registrarte aceptas las Condiciones del servicio y la Política de privacidad.

Tolerancia de 20 minutos.
Horario de atención 08:00 a 22:00
Colico: raquel martinez@ingeniaria.edu
Evaluación
Examenes
60%
Tarcas
20%
*Bonus

Inscríbete para ver los apuntes¡Es gratis!

Acceso a todos los documentos

Mejora tus notas

Únete a millones de estudiantes

Al registrarte aceptas las Condiciones del servicio y la Política de privacidad.

Tolerancia de 20 minutos.
Horario de atención 08:00 a 22:00
Colico: raquel martinez@ingeniaria.edu
Evaluación
Examenes
60%
Tarcas
20%
*Bonus

Inscríbete para ver los apuntes¡Es gratis!

Acceso a todos los documentos

Mejora tus notas

Únete a millones de estudiantes

Al registrarte aceptas las Condiciones del servicio y la Política de privacidad.

Tolerancia de 20 minutos.
Horario de atención 08:00 a 22:00
Colico: raquel martinez@ingeniaria.edu
Evaluación
Examenes
60%
Tarcas
20%
*Bonus

Inscríbete para ver los apuntes¡Es gratis!

Acceso a todos los documentos

Mejora tus notas

Únete a millones de estudiantes

Al registrarte aceptas las Condiciones del servicio y la Política de privacidad.

Tolerancia de 20 minutos.
Horario de atención 08:00 a 22:00
Colico: raquel martinez@ingeniaria.edu
Evaluación
Examenes
60%
Tarcas
20%
*Bonus

Inscríbete para ver los apuntes¡Es gratis!

Acceso a todos los documentos

Mejora tus notas

Únete a millones de estudiantes

Al registrarte aceptas las Condiciones del servicio y la Política de privacidad.

Tolerancia de 20 minutos.
Horario de atención 08:00 a 22:00
Colico: raquel martinez@ingeniaria.edu
Evaluación
Examenes
60%
Tarcas
20%
*Bonus

Inscríbete para ver los apuntes¡Es gratis!

Acceso a todos los documentos

Mejora tus notas

Únete a millones de estudiantes

Al registrarte aceptas las Condiciones del servicio y la Política de privacidad.

Tolerancia de 20 minutos.
Horario de atención 08:00 a 22:00
Colico: raquel martinez@ingeniaria.edu
Evaluación
Examenes
60%
Tarcas
20%
*Bonus

Inscríbete para ver los apuntes¡Es gratis!

Acceso a todos los documentos

Mejora tus notas

Únete a millones de estudiantes

Al registrarte aceptas las Condiciones del servicio y la Política de privacidad.

Tolerancia de 20 minutos.
Horario de atención 08:00 a 22:00
Colico: raquel martinez@ingeniaria.edu
Evaluación
Examenes
60%
Tarcas
20%
*Bonus

Inscríbete para ver los apuntes¡Es gratis!

Acceso a todos los documentos

Mejora tus notas

Únete a millones de estudiantes

Al registrarte aceptas las Condiciones del servicio y la Política de privacidad.

Tolerancia de 20 minutos.
Horario de atención 08:00 a 22:00
Colico: raquel martinez@ingeniaria.edu
Evaluación
Examenes
60%
Tarcas
20%
*Bonus

Inscríbete para ver los apuntes¡Es gratis!

Acceso a todos los documentos

Mejora tus notas

Únete a millones de estudiantes

Al registrarte aceptas las Condiciones del servicio y la Política de privacidad.

Tolerancia de 20 minutos.
Horario de atención 08:00 a 22:00
Colico: raquel martinez@ingeniaria.edu
Evaluación
Examenes
60%
Tarcas
20%
*Bonus

Inscríbete para ver los apuntes¡Es gratis!

Acceso a todos los documentos

Mejora tus notas

Únete a millones de estudiantes

Al registrarte aceptas las Condiciones del servicio y la Política de privacidad.

Tolerancia de 20 minutos.
Horario de atención 08:00 a 22:00
Colico: raquel martinez@ingeniaria.edu
Evaluación
Examenes
60%
Tarcas
20%
*Bonus

Inscríbete para ver los apuntes¡Es gratis!

Acceso a todos los documentos

Mejora tus notas

Únete a millones de estudiantes

Al registrarte aceptas las Condiciones del servicio y la Política de privacidad.

Tolerancia de 20 minutos.
Horario de atención 08:00 a 22:00
Colico: raquel martinez@ingeniaria.edu
Evaluación
Examenes
60%
Tarcas
20%
*Bonus

Inscríbete para ver los apuntes¡Es gratis!

Acceso a todos los documentos

Mejora tus notas

Únete a millones de estudiantes

Al registrarte aceptas las Condiciones del servicio y la Política de privacidad.

Tolerancia de 20 minutos.
Horario de atención 08:00 a 22:00
Colico: raquel martinez@ingeniaria.edu
Evaluación
Examenes
60%
Tarcas
20%
*Bonus

Inscríbete para ver los apuntes¡Es gratis!

Acceso a todos los documentos

Mejora tus notas

Únete a millones de estudiantes

Al registrarte aceptas las Condiciones del servicio y la Política de privacidad.

Tolerancia de 20 minutos.
Horario de atención 08:00 a 22:00
Colico: raquel martinez@ingeniaria.edu
Evaluación
Examenes
60%
Tarcas
20%
*Bonus

Inscríbete para ver los apuntes¡Es gratis!

Acceso a todos los documentos

Mejora tus notas

Únete a millones de estudiantes

Al registrarte aceptas las Condiciones del servicio y la Política de privacidad.

Tolerancia de 20 minutos.
Horario de atención 08:00 a 22:00
Colico: raquel martinez@ingeniaria.edu
Evaluación
Examenes
60%
Tarcas
20%
*Bonus

Inscríbete para ver los apuntes¡Es gratis!

Acceso a todos los documentos

Mejora tus notas

Únete a millones de estudiantes

Al registrarte aceptas las Condiciones del servicio y la Política de privacidad.

Tolerancia de 20 minutos.
Horario de atención 08:00 a 22:00
Colico: raquel martinez@ingeniaria.edu
Evaluación
Examenes
60%
Tarcas
20%
*Bonus

Inscríbete para ver los apuntes¡Es gratis!

Acceso a todos los documentos

Mejora tus notas

Únete a millones de estudiantes

Al registrarte aceptas las Condiciones del servicio y la Política de privacidad.

Tolerancia de 20 minutos.
Horario de atención 08:00 a 22:00
Colico: raquel martinez@ingeniaria.edu
Evaluación
Examenes
60%
Tarcas
20%
*Bonus

Inscríbete para ver los apuntes¡Es gratis!

Acceso a todos los documentos

Mejora tus notas

Únete a millones de estudiantes

Al registrarte aceptas las Condiciones del servicio y la Política de privacidad.

Tolerancia de 20 minutos.
Horario de atención 08:00 a 22:00
Colico: raquel martinez@ingeniaria.edu
Evaluación
Examenes
60%
Tarcas
20%
*Bonus

Inscríbete para ver los apuntes¡Es gratis!

Acceso a todos los documentos

Mejora tus notas

Únete a millones de estudiantes

Al registrarte aceptas las Condiciones del servicio y la Política de privacidad.

Tolerancia de 20 minutos.
Horario de atención 08:00 a 22:00
Colico: raquel martinez@ingeniaria.edu
Evaluación
Examenes
60%
Tarcas
20%
*Bonus

Inscríbete para ver los apuntes¡Es gratis!

Acceso a todos los documentos

Mejora tus notas

Únete a millones de estudiantes

Al registrarte aceptas las Condiciones del servicio y la Política de privacidad.

Tolerancia de 20 minutos.
Horario de atención 08:00 a 22:00
Colico: raquel martinez@ingeniaria.edu
Evaluación
Examenes
60%
Tarcas
20%
*Bonus

Inscríbete para ver los apuntes¡Es gratis!

Acceso a todos los documentos

Mejora tus notas

Únete a millones de estudiantes

Al registrarte aceptas las Condiciones del servicio y la Política de privacidad.

Tolerancia de 20 minutos.
Horario de atención 08:00 a 22:00
Colico: raquel martinez@ingeniaria.edu
Evaluación
Examenes
60%
Tarcas
20%
*Bonus

Inscríbete para ver los apuntes¡Es gratis!

Acceso a todos los documentos

Mejora tus notas

Únete a millones de estudiantes

Al registrarte aceptas las Condiciones del servicio y la Política de privacidad.

Tolerancia de 20 minutos.
Horario de atención 08:00 a 22:00
Colico: raquel martinez@ingeniaria.edu
Evaluación
Examenes
60%
Tarcas
20%
*Bonus

Inscríbete para ver los apuntes¡Es gratis!

Acceso a todos los documentos

Mejora tus notas

Únete a millones de estudiantes

Al registrarte aceptas las Condiciones del servicio y la Política de privacidad.

Tolerancia de 20 minutos.
Horario de atención 08:00 a 22:00
Colico: raquel martinez@ingeniaria.edu
Evaluación
Examenes
60%
Tarcas
20%
*Bonus

Inscríbete para ver los apuntes¡Es gratis!

Acceso a todos los documentos

Mejora tus notas

Únete a millones de estudiantes

Al registrarte aceptas las Condiciones del servicio y la Política de privacidad.

Tolerancia de 20 minutos.
Horario de atención 08:00 a 22:00
Colico: raquel martinez@ingeniaria.edu
Evaluación
Examenes
60%
Tarcas
20%
*Bonus

Inscríbete para ver los apuntes¡Es gratis!

Acceso a todos los documentos

Mejora tus notas

Únete a millones de estudiantes

Al registrarte aceptas las Condiciones del servicio y la Política de privacidad.

Tolerancia de 20 minutos.
Horario de atención 08:00 a 22:00
Colico: raquel martinez@ingeniaria.edu
Evaluación
Examenes
60%
Tarcas
20%
*Bonus

Inscríbete para ver los apuntes¡Es gratis!

Acceso a todos los documentos

Mejora tus notas

Únete a millones de estudiantes

Al registrarte aceptas las Condiciones del servicio y la Política de privacidad.

Tolerancia de 20 minutos.
Horario de atención 08:00 a 22:00
Colico: raquel martinez@ingeniaria.edu
Evaluación
Examenes
60%
Tarcas
20%
*Bonus

Inscríbete para ver los apuntes¡Es gratis!

Acceso a todos los documentos

Mejora tus notas

Únete a millones de estudiantes

Al registrarte aceptas las Condiciones del servicio y la Política de privacidad.

Tolerancia de 20 minutos.
Horario de atención 08:00 a 22:00
Colico: raquel martinez@ingeniaria.edu
Evaluación
Examenes
60%
Tarcas
20%
*Bonus

Inscríbete para ver los apuntes¡Es gratis!

Acceso a todos los documentos

Mejora tus notas

Únete a millones de estudiantes

Al registrarte aceptas las Condiciones del servicio y la Política de privacidad.

Tolerancia de 20 minutos.
Horario de atención 08:00 a 22:00
Colico: raquel martinez@ingeniaria.edu
Evaluación
Examenes
60%
Tarcas
20%
*Bonus

Inscríbete para ver los apuntes¡Es gratis!

Acceso a todos los documentos

Mejora tus notas

Únete a millones de estudiantes

Al registrarte aceptas las Condiciones del servicio y la Política de privacidad.

Tolerancia de 20 minutos.
Horario de atención 08:00 a 22:00
Colico: raquel martinez@ingeniaria.edu
Evaluación
Examenes
60%
Tarcas
20%
*Bonus

Inscríbete para ver los apuntes¡Es gratis!

Acceso a todos los documentos

Mejora tus notas

Únete a millones de estudiantes

Al registrarte aceptas las Condiciones del servicio y la Política de privacidad.

Tolerancia de 20 minutos.
Horario de atención 08:00 a 22:00
Colico: raquel martinez@ingeniaria.edu
Evaluación
Examenes
60%
Tarcas
20%
*Bonus

Inscríbete para ver los apuntes¡Es gratis!

Acceso a todos los documentos

Mejora tus notas

Únete a millones de estudiantes

Al registrarte aceptas las Condiciones del servicio y la Política de privacidad.

Tolerancia de 20 minutos.
Horario de atención 08:00 a 22:00
Colico: raquel martinez@ingeniaria.edu
Evaluación
Examenes
60%
Tarcas
20%
*Bonus

Inscríbete para ver los apuntes¡Es gratis!

Acceso a todos los documentos

Mejora tus notas

Únete a millones de estudiantes

Al registrarte aceptas las Condiciones del servicio y la Política de privacidad.

Tolerancia de 20 minutos.
Horario de atención 08:00 a 22:00
Colico: raquel martinez@ingeniaria.edu
Evaluación
Examenes
60%
Tarcas
20%
*Bonus

Inscríbete para ver los apuntes¡Es gratis!

Acceso a todos los documentos

Mejora tus notas

Únete a millones de estudiantes

Al registrarte aceptas las Condiciones del servicio y la Política de privacidad.

Tolerancia de 20 minutos.
Horario de atención 08:00 a 22:00
Colico: raquel martinez@ingeniaria.edu
Evaluación
Examenes
60%
Tarcas
20%
*Bonus

Inscríbete para ver los apuntes¡Es gratis!

Acceso a todos los documentos

Mejora tus notas

Únete a millones de estudiantes

Al registrarte aceptas las Condiciones del servicio y la Política de privacidad.

Tolerancia de 20 minutos.
Horario de atención 08:00 a 22:00
Colico: raquel martinez@ingeniaria.edu
Evaluación
Examenes
60%
Tarcas
20%
*Bonus

Inscríbete para ver los apuntes¡Es gratis!

Acceso a todos los documentos

Mejora tus notas

Únete a millones de estudiantes

Al registrarte aceptas las Condiciones del servicio y la Política de privacidad.

Tolerancia de 20 minutos.
Horario de atención 08:00 a 22:00
Colico: raquel martinez@ingeniaria.edu
Evaluación
Examenes
60%
Tarcas
20%
*Bonus

Inscríbete para ver los apuntes¡Es gratis!

Acceso a todos los documentos

Mejora tus notas

Únete a millones de estudiantes

Al registrarte aceptas las Condiciones del servicio y la Política de privacidad.

Tolerancia de 20 minutos.
Horario de atención 08:00 a 22:00
Colico: raquel martinez@ingeniaria.edu
Evaluación
Examenes
60%
Tarcas
20%
*Bonus

Inscríbete para ver los apuntes¡Es gratis!

Acceso a todos los documentos

Mejora tus notas

Únete a millones de estudiantes

Al registrarte aceptas las Condiciones del servicio y la Política de privacidad.

Tolerancia de 20 minutos.
Horario de atención 08:00 a 22:00
Colico: raquel martinez@ingeniaria.edu
Evaluación
Examenes
60%
Tarcas
20%
*Bonus

Inscríbete para ver los apuntes¡Es gratis!

Acceso a todos los documentos

Mejora tus notas

Únete a millones de estudiantes

Al registrarte aceptas las Condiciones del servicio y la Política de privacidad.

Tolerancia de 20 minutos.
Horario de atención 08:00 a 22:00
Colico: raquel martinez@ingeniaria.edu
Evaluación
Examenes
60%
Tarcas
20%
*Bonus

Inscríbete para ver los apuntes¡Es gratis!

Acceso a todos los documentos

Mejora tus notas

Únete a millones de estudiantes

Al registrarte aceptas las Condiciones del servicio y la Política de privacidad.

Tolerancia de 20 minutos.
Horario de atención 08:00 a 22:00
Colico: raquel martinez@ingeniaria.edu
Evaluación
Examenes
60%
Tarcas
20%
*Bonus

Inscríbete para ver los apuntes¡Es gratis!

Acceso a todos los documentos

Mejora tus notas

Únete a millones de estudiantes

Al registrarte aceptas las Condiciones del servicio y la Política de privacidad.

Tolerancia de 20 minutos.
Horario de atención 08:00 a 22:00
Colico: raquel martinez@ingeniaria.edu
Evaluación
Examenes
60%
Tarcas
20%
*Bonus

Inscríbete para ver los apuntes¡Es gratis!

Acceso a todos los documentos

Mejora tus notas

Únete a millones de estudiantes

Al registrarte aceptas las Condiciones del servicio y la Política de privacidad.

Pensamos que nunca lo preguntarías...

¿Qué es Knowunity AI companion?

Nuestro compañero de IA está específicamente adaptado a las necesidades de los estudiantes. Basándonos en los millones de contenidos que tenemos en la plataforma, podemos dar a los estudiantes respuestas realmente significativas y relevantes. Pero no se trata solo de respuestas, el compañero también guía a los estudiantes a través de sus retos de aprendizaje diarios, con planes de aprendizaje personalizados, cuestionarios o contenidos en el chat y una personalización del 100% basada en las habilidades y el desarrollo de los estudiantes.

¿Dónde puedo descargar la app Knowunity?

Puedes descargar la app en Google Play Store y Apple App Store.

¿Knowunity es totalmente gratuito?

¡Sí lo es! Tienes acceso totalmente gratuito a todo el contenido de la app, puedes chatear con otros alumnos y recibir ayuda inmeditamente. Puedes ganar dinero utilizando la aplicación, que te permitirá acceder a determinadas funciones.

2

Herramientas Inteligentes NUEVO

Convierte estos apuntes en: ✓ 50+ Preguntas de Práctica ✓ Tarjetas de Estudio Interactivas ✓ Examen Completo de Práctica ✓ Esquemas de Ensayo

Examen de Práctica
Quiz
Fichas
Ensayo

¿No encuentras lo que buscas? Explora otros temas.

Reseñas de nuestros usuarios. Ellos obtuvieron todo lo bueno — y tú también lo harías.

4.9/5

App Store

4.8/5

Google Play

La app es muy fácil de usar y está muy bien diseñada. Hasta ahora he encontrado todo lo que estaba buscando y he podido aprender mucho de las presentaciones. Definitivamente utilizaré la aplicación para un examen de clase. Y, por supuesto, también me sirve mucho de inspiración.

Pablo

usuario de iOS

Esta app es realmente genial. Hay tantos apuntes de clase y ayuda [...]. Tengo problemas con matemáticas, por ejemplo, y la aplicación tiene muchas opciones de ayuda. Gracias a Knowunity, he mejorado en mates. Se la recomiendo a todo el mundo.

Elena

usuaria de Android

Vaya, estoy realmente sorprendida. Acabo de probar la app porque la he visto anunciada muchas veces y me he quedado absolutamente alucinada. Esta app es LA AYUDA que quieres para el insti y, sobre todo, ofrece muchísimas cosas, como ejercicios y hojas informativas, que a mí personalmente me han sido MUY útiles.

Ana

usuaria de iOS

Solía tener dificultades para completar mis tareas a tiempo hasta que descubrí Knowunity, que no solo facilita subir mi propio contenido sino que también proporciona excelentes resúmenes que hacen mi trabajo más rápido y eficiente.

Thomas R

usuario de iOS

Siempre era un desafío encontrar toda la información importante para mis tareas – desde que comencé a usar Knowunity, puedo simplemente subir mi contenido y beneficiarme de los resúmenes de otros, lo que me ayuda mucho con la organización.

Lisa M

usuario de Android

A menudo sentía que no tenía suficiente visión general al estudiar, pero desde que comencé a usar Knowunity, eso ya no es un problema – subo mi contenido y siempre encuentro resúmenes útiles en la plataforma, lo que hace mi aprendizaje mucho más fácil.

David K

usuario de iOS

¡La app es buenísima! Sólo tengo que introducir el tema en la barra de búsqueda y recibo la respuesta muy rápido. No tengo que ver 10 vídeos de YouTube para entender algo, así que me ahorro tiempo. ¡Muy recomendable!

Sara

usuaria de Android

En el instituto era muy malo en matemáticas, pero gracias a la app, ahora saco mejores notas. Os agradezco mucho que hayáis creado la aplicación.

Roberto

usuario de Android

Solía ser muy difícil reunir toda la información para mis presentaciones. Pero desde que comencé a usar Knowunity, solo subo mis notas y encuentro increíbles resúmenes de otros – ¡hace mi estudio mucho más eficiente!

Julia S

usuario de Android

Siempre estaba estresado con todo el material de estudio, pero desde que comencé a usar Knowunity, subo mis cosas y reviso los geniales resúmenes de otros – realmente me ayuda a manejar todo mejor y es mucho menos estresante.

Marco B

usuario de iOS

Siempre era difícil encontrar los materiales correctos para mis tareas. Ahora solo subo mis apuntes a Knowunity y obtengo los mejores resúmenes de otros – realmente me ayuda a entender todo más rápido y mejora mis calificaciones.

Sarah L

usuario de Android

Antes pasaba horas buscando en Google materiales escolares, pero ahora solo subo mis cosas a Knowunity y reviso los útiles resúmenes de otros – me siento mucho más seguro cuando me preparo para los exámenes.

Paul T

usuario de iOS

La app es muy fácil de usar y está muy bien diseñada. Hasta ahora he encontrado todo lo que estaba buscando y he podido aprender mucho de las presentaciones. Definitivamente utilizaré la aplicación para un examen de clase. Y, por supuesto, también me sirve mucho de inspiración.

Pablo

usuario de iOS

Esta app es realmente genial. Hay tantos apuntes de clase y ayuda [...]. Tengo problemas con matemáticas, por ejemplo, y la aplicación tiene muchas opciones de ayuda. Gracias a Knowunity, he mejorado en mates. Se la recomiendo a todo el mundo.

Elena

usuaria de Android

Vaya, estoy realmente sorprendida. Acabo de probar la app porque la he visto anunciada muchas veces y me he quedado absolutamente alucinada. Esta app es LA AYUDA que quieres para el insti y, sobre todo, ofrece muchísimas cosas, como ejercicios y hojas informativas, que a mí personalmente me han sido MUY útiles.

Ana

usuaria de iOS

Solía tener dificultades para completar mis tareas a tiempo hasta que descubrí Knowunity, que no solo facilita subir mi propio contenido sino que también proporciona excelentes resúmenes que hacen mi trabajo más rápido y eficiente.

Thomas R

usuario de iOS

Siempre era un desafío encontrar toda la información importante para mis tareas – desde que comencé a usar Knowunity, puedo simplemente subir mi contenido y beneficiarme de los resúmenes de otros, lo que me ayuda mucho con la organización.

Lisa M

usuario de Android

A menudo sentía que no tenía suficiente visión general al estudiar, pero desde que comencé a usar Knowunity, eso ya no es un problema – subo mi contenido y siempre encuentro resúmenes útiles en la plataforma, lo que hace mi aprendizaje mucho más fácil.

David K

usuario de iOS

¡La app es buenísima! Sólo tengo que introducir el tema en la barra de búsqueda y recibo la respuesta muy rápido. No tengo que ver 10 vídeos de YouTube para entender algo, así que me ahorro tiempo. ¡Muy recomendable!

Sara

usuaria de Android

En el instituto era muy malo en matemáticas, pero gracias a la app, ahora saco mejores notas. Os agradezco mucho que hayáis creado la aplicación.

Roberto

usuario de Android

Solía ser muy difícil reunir toda la información para mis presentaciones. Pero desde que comencé a usar Knowunity, solo subo mis notas y encuentro increíbles resúmenes de otros – ¡hace mi estudio mucho más eficiente!

Julia S

usuario de Android

Siempre estaba estresado con todo el material de estudio, pero desde que comencé a usar Knowunity, subo mis cosas y reviso los geniales resúmenes de otros – realmente me ayuda a manejar todo mejor y es mucho menos estresante.

Marco B

usuario de iOS

Siempre era difícil encontrar los materiales correctos para mis tareas. Ahora solo subo mis apuntes a Knowunity y obtengo los mejores resúmenes de otros – realmente me ayuda a entender todo más rápido y mejora mis calificaciones.

Sarah L

usuario de Android

Antes pasaba horas buscando en Google materiales escolares, pero ahora solo subo mis cosas a Knowunity y reviso los útiles resúmenes de otros – me siento mucho más seguro cuando me preparo para los exámenes.

Paul T

usuario de iOS