¿Sabías que las funciones se pueden sumar, restar, multiplicar y... Mostrar más
Inscríbete para ver los apuntes¡Es gratis!
Acceso a todos los documentos
Mejora tus notas
Únete a millones de estudiantes
Knowunity AI
Asignaturas
Triangle Congruence and Similarity Theorems
Triangle Properties and Classification
Linear Equations and Graphs
Geometric Angle Relationships
Trigonometric Functions and Identities
Equation Solving Techniques
Circle Geometry Fundamentals
Division Operations and Methods
Basic Differentiation Rules
Exponent and Logarithm Properties
Mostrar todos los temas
Human Organ Systems
Reproductive Cell Cycles
Biological Sciences Subdisciplines
Cellular Energy Metabolism
Autotrophic Energy Processes
Inheritance Patterns and Principles
Biomolecular Structure and Organization
Cell Cycle and Division Mechanics
Cellular Organization and Development
Biological Structural Organization
Mostrar todos los temas
Chemical Sciences and Applications
Atomic Structure and Composition
Molecular Electron Structure Representation
Atomic Electron Behavior
Matter Properties and Water
Mole Concept and Calculations
Gas Laws and Behavior
Periodic Table Organization
Chemical Thermodynamics Fundamentals
Chemical Bond Types and Properties
Mostrar todos los temas
European Renaissance and Enlightenment
European Cultural Movements 800-1920
American Revolution Era 1763-1797
American Civil War 1861-1865
Global Imperial Systems
Mongol and Chinese Dynasties
U.S. Presidents and World Leaders
Historical Sources and Documentation
World Wars Era and Impact
World Religious Systems
Mostrar todos los temas
Classic and Contemporary Novels
Literary Character Analysis
Rhetorical Theory and Practice
Classic Literary Narratives
Reading Analysis and Interpretation
Narrative Structure and Techniques
English Language Components
Influential English-Language Authors
Basic Sentence Structure
Narrative Voice and Perspective
Mostrar todos los temas
341
•
Actualizado Apr 5, 2026
•
Marisol Remigio
@marisolremigio
¿Sabías que las funciones se pueden sumar, restar, multiplicar y... Mostrar más






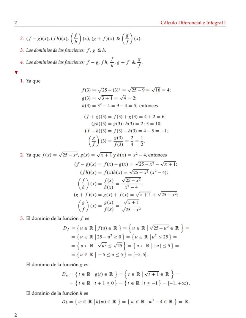
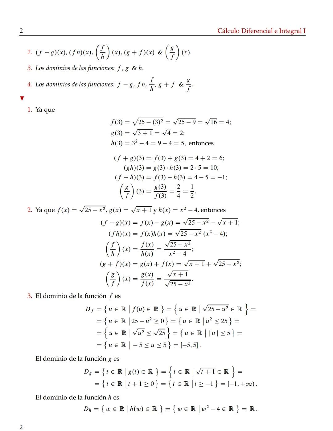
Las funciones se pueden combinar usando las mismas operaciones que usas con números normales. Cuando tienes dos funciones f y g, puedes crear nuevas funciones sumándolas, restándolas, multiplicándolas o dividiéndolas.
Las operaciones algebraicas funcionan así: (x) = f(x) + g(x), (x) = f(x) - g(x), (f×g)(x) = f(x) × g(x), y (x) = f(x)/g(x). Es como si tomaras el resultado de cada función por separado y luego hicieras la operación.
El dominio de estas nuevas funciones es la intersección de los dominios originales (Df ∩ Dg). Para la división, también tienes que quitar los valores donde g(x) = 0, porque no puedes dividir entre cero.
💡 Tip clave: El dominio siempre es la intersección de los dominios originales, excepto en divisiones donde también excluyes los ceros del denominador.

Con las funciones f(u) = √, g(t) = √ y h(w) = w²-4, puedes evaluar cualquier combinación en puntos específicos. Para x = 3: f(3) = 4, g(3) = 2, h(3) = 5.
Entonces (3) = 4 + 2 = 6, (gh)(3) = 2 × 5 = 10, (3) = 4 - 5 = -1, y (3) = 2/4 = 1/2. Es súper directo: primero evalúas cada función, después haces la operación.
Para obtener las expresiones algebraicas completas, simplemente sustituyes las fórmulas: (x) = √ - √ y (fh)(x) = √ × . Así puedes trabajar con cualquier valor de x.
💡 Tip clave: Siempre evalúa primero cada función por separado, luego aplica la operación. ¡Es menos confuso así!

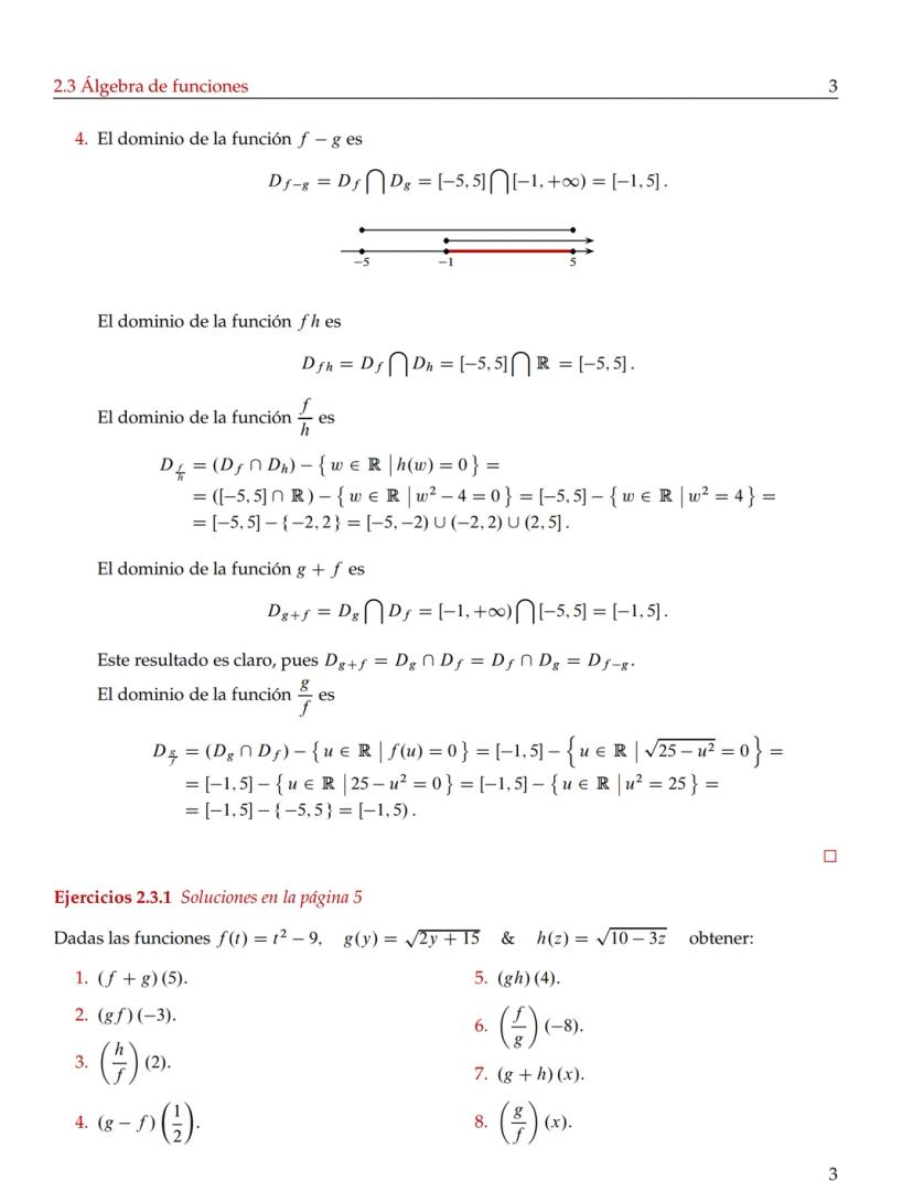
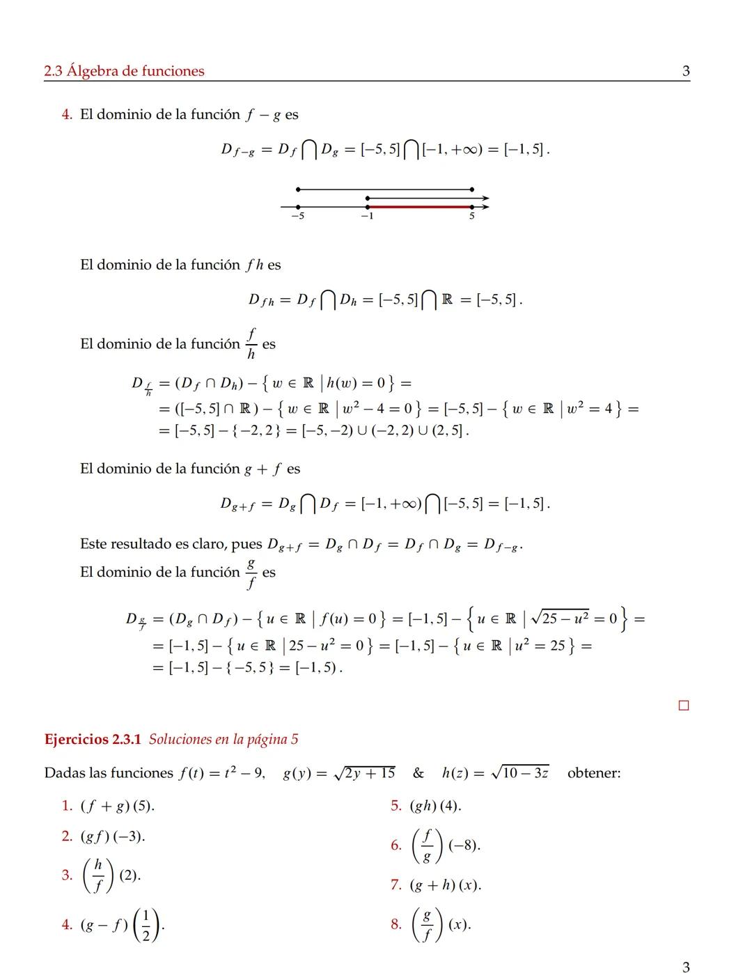
Antes de combinar funciones, necesitas saber dónde están definidas. Para f(u) = √, el dominio es [-5,5] porque necesitas 25-u² ≥ 0. Para g(t) = √, el dominio es [-1,+∞) porque t+1 ≥ 0.
La función h(w) = w²-4 tiene dominio ℝ (todos los reales) porque los polinomios siempre están definidos. Esto te da la base para encontrar los dominios de las funciones combinadas.
El dominio de f-g es Df ∩ Dg = [-5,5] ∩ [-1,+∞) = [-1,5]. Para (x), necesitas quitar donde h(x) = 0, o sea x² - 4 = 0, entonces x = ±2. El dominio final es [-5,-2) ∪ (-2,2) ∪ (2,5].
💡 Tip clave: Para divisiones, siempre identifica primero dónde el denominador es cero y exclúyelo del dominio.

Los ejercicios del álgebra de funciones te ayudan a dominar estas operaciones. Con las funciones f(t) = t²-9, g(y) = √ y h(z) = √, puedes practicar evaluaciones en puntos específicos y encontrar expresiones generales.
Algunos resultados importantes: (5) = 21, (gf)(-3) = 0, y dominios clave como Df = ℝ, Dg = . Estos patrones se repiten en muchos problemas.
Las funciones compuestas como (x) = √ + √ tienen dominio [-15/2, 10/3], que es la intersección de los dominios individuales. Para divisiones como g/f, también excluyes x = ±3 donde f(x) = 0.
💡 Tip clave: Practica primero con evaluaciones numéricas, después pasa a las expresiones algebraicas. ¡Te dará más confianza!

Las respuestas de los ejercicios te permiten verificar tu comprensión del álgebra de funciones. Valores como (5) = 21 y (2) = -2/5 muestran cómo aplicar correctamente las operaciones.
Expresiones como (x) = √ + √ y (x) = √/√ demuestran la forma correcta de combinar funciones algebraicamente.
Los dominios críticos incluyen [-15/2, +∞) - {-3,3} para g/f, y (-15/2, 10/3) para /(gh). Estos ejemplos te preparan para cualquier problema similar que encuentres en tus exámenes.
💡 Tip clave: Siempre verifica tus respuestas sustituyendo valores específicos. Si algo no cuadra, revisa el dominio primero.
Nuestro compañero de IA está específicamente adaptado a las necesidades de los estudiantes. Basándonos en los millones de contenidos que tenemos en la plataforma, podemos dar a los estudiantes respuestas realmente significativas y relevantes. Pero no se trata solo de respuestas, el compañero también guía a los estudiantes a través de sus retos de aprendizaje diarios, con planes de aprendizaje personalizados, cuestionarios o contenidos en el chat y una personalización del 100% basada en las habilidades y el desarrollo de los estudiantes.
Puedes descargar la app en Google Play Store y Apple App Store.
¡Sí lo es! Tienes acceso totalmente gratuito a todo el contenido de la app, puedes chatear con otros alumnos y recibir ayuda inmeditamente. Puedes ganar dinero utilizando la aplicación, que te permitirá acceder a determinadas funciones.
App Store
Google Play
La app es muy fácil de usar y está muy bien diseñada. Hasta ahora he encontrado todo lo que estaba buscando y he podido aprender mucho de las presentaciones. Definitivamente utilizaré la aplicación para un examen de clase. Y, por supuesto, también me sirve mucho de inspiración.
Pablo
usuario de iOS
Esta app es realmente genial. Hay tantos apuntes de clase y ayuda [...]. Tengo problemas con matemáticas, por ejemplo, y la aplicación tiene muchas opciones de ayuda. Gracias a Knowunity, he mejorado en mates. Se la recomiendo a todo el mundo.
Elena
usuaria de Android
Vaya, estoy realmente sorprendida. Acabo de probar la app porque la he visto anunciada muchas veces y me he quedado absolutamente alucinada. Esta app es LA AYUDA que quieres para el insti y, sobre todo, ofrece muchísimas cosas, como ejercicios y hojas informativas, que a mí personalmente me han sido MUY útiles.
Ana
usuaria de iOS
Solía tener dificultades para completar mis tareas a tiempo hasta que descubrí Knowunity, que no solo facilita subir mi propio contenido sino que también proporciona excelentes resúmenes que hacen mi trabajo más rápido y eficiente.
Thomas R
usuario de iOS
Siempre era un desafío encontrar toda la información importante para mis tareas – desde que comencé a usar Knowunity, puedo simplemente subir mi contenido y beneficiarme de los resúmenes de otros, lo que me ayuda mucho con la organización.
Lisa M
usuario de Android
A menudo sentía que no tenía suficiente visión general al estudiar, pero desde que comencé a usar Knowunity, eso ya no es un problema – subo mi contenido y siempre encuentro resúmenes útiles en la plataforma, lo que hace mi aprendizaje mucho más fácil.
David K
usuario de iOS
¡La app es buenísima! Sólo tengo que introducir el tema en la barra de búsqueda y recibo la respuesta muy rápido. No tengo que ver 10 vídeos de YouTube para entender algo, así que me ahorro tiempo. ¡Muy recomendable!
Sara
usuaria de Android
En el instituto era muy malo en matemáticas, pero gracias a la app, ahora saco mejores notas. Os agradezco mucho que hayáis creado la aplicación.
Roberto
usuario de Android
Solía ser muy difícil reunir toda la información para mis presentaciones. Pero desde que comencé a usar Knowunity, solo subo mis notas y encuentro increíbles resúmenes de otros – ¡hace mi estudio mucho más eficiente!
Julia S
usuario de Android
Siempre estaba estresado con todo el material de estudio, pero desde que comencé a usar Knowunity, subo mis cosas y reviso los geniales resúmenes de otros – realmente me ayuda a manejar todo mejor y es mucho menos estresante.
Marco B
usuario de iOS
LOS QUIZZES Y FLASHCARDS SON SÚPER ÚTILES Y AMO Knowunity AI. TAMBIÉN ES LITERALMENTE COMO CHATGPT PERO MÁS INTELIGENTE!! ME AYUDÓ CON MIS PROBLEMAS DE RÍMEL TAMBIÉN!! Y CON MIS MATERIAS REALES OBVIO! 😍😁😲🤑💗✨🎀😮
Sarah L
usuario de Android
Antes pasaba horas buscando en Google materiales escolares, pero ahora solo subo mis cosas a Knowunity y reviso los útiles resúmenes de otros – me siento mucho más seguro cuando me preparo para los exámenes.
Paul T
usuario de iOS
La app es muy fácil de usar y está muy bien diseñada. Hasta ahora he encontrado todo lo que estaba buscando y he podido aprender mucho de las presentaciones. Definitivamente utilizaré la aplicación para un examen de clase. Y, por supuesto, también me sirve mucho de inspiración.
Pablo
usuario de iOS
Esta app es realmente genial. Hay tantos apuntes de clase y ayuda [...]. Tengo problemas con matemáticas, por ejemplo, y la aplicación tiene muchas opciones de ayuda. Gracias a Knowunity, he mejorado en mates. Se la recomiendo a todo el mundo.
Elena
usuaria de Android
Vaya, estoy realmente sorprendida. Acabo de probar la app porque la he visto anunciada muchas veces y me he quedado absolutamente alucinada. Esta app es LA AYUDA que quieres para el insti y, sobre todo, ofrece muchísimas cosas, como ejercicios y hojas informativas, que a mí personalmente me han sido MUY útiles.
Ana
usuaria de iOS
Solía tener dificultades para completar mis tareas a tiempo hasta que descubrí Knowunity, que no solo facilita subir mi propio contenido sino que también proporciona excelentes resúmenes que hacen mi trabajo más rápido y eficiente.
Thomas R
usuario de iOS
Siempre era un desafío encontrar toda la información importante para mis tareas – desde que comencé a usar Knowunity, puedo simplemente subir mi contenido y beneficiarme de los resúmenes de otros, lo que me ayuda mucho con la organización.
Lisa M
usuario de Android
A menudo sentía que no tenía suficiente visión general al estudiar, pero desde que comencé a usar Knowunity, eso ya no es un problema – subo mi contenido y siempre encuentro resúmenes útiles en la plataforma, lo que hace mi aprendizaje mucho más fácil.
David K
usuario de iOS
¡La app es buenísima! Sólo tengo que introducir el tema en la barra de búsqueda y recibo la respuesta muy rápido. No tengo que ver 10 vídeos de YouTube para entender algo, así que me ahorro tiempo. ¡Muy recomendable!
Sara
usuaria de Android
En el instituto era muy malo en matemáticas, pero gracias a la app, ahora saco mejores notas. Os agradezco mucho que hayáis creado la aplicación.
Roberto
usuario de Android
Solía ser muy difícil reunir toda la información para mis presentaciones. Pero desde que comencé a usar Knowunity, solo subo mis notas y encuentro increíbles resúmenes de otros – ¡hace mi estudio mucho más eficiente!
Julia S
usuario de Android
Siempre estaba estresado con todo el material de estudio, pero desde que comencé a usar Knowunity, subo mis cosas y reviso los geniales resúmenes de otros – realmente me ayuda a manejar todo mejor y es mucho menos estresante.
Marco B
usuario de iOS
LOS QUIZZES Y FLASHCARDS SON SÚPER ÚTILES Y AMO Knowunity AI. TAMBIÉN ES LITERALMENTE COMO CHATGPT PERO MÁS INTELIGENTE!! ME AYUDÓ CON MIS PROBLEMAS DE RÍMEL TAMBIÉN!! Y CON MIS MATERIAS REALES OBVIO! 😍😁😲🤑💗✨🎀😮
Sarah L
usuario de Android
Antes pasaba horas buscando en Google materiales escolares, pero ahora solo subo mis cosas a Knowunity y reviso los útiles resúmenes de otros – me siento mucho más seguro cuando me preparo para los exámenes.
Paul T
usuario de iOS
Marisol Remigio
@marisolremigio
¿Sabías que las funciones se pueden sumar, restar, multiplicar y dividir igual que los números? El álgebra de funciones te permite combinar funciones de diferentes maneras para crear nuevas funciones, y es súper útil para resolver problemas complejos en cálculo.

Acceso a todos los documentos
Mejora tus notas
Únete a millones de estudiantes
Las funciones se pueden combinar usando las mismas operaciones que usas con números normales. Cuando tienes dos funciones f y g, puedes crear nuevas funciones sumándolas, restándolas, multiplicándolas o dividiéndolas.
Las operaciones algebraicas funcionan así: (x) = f(x) + g(x), (x) = f(x) - g(x), (f×g)(x) = f(x) × g(x), y (x) = f(x)/g(x). Es como si tomaras el resultado de cada función por separado y luego hicieras la operación.
El dominio de estas nuevas funciones es la intersección de los dominios originales (Df ∩ Dg). Para la división, también tienes que quitar los valores donde g(x) = 0, porque no puedes dividir entre cero.
💡 Tip clave: El dominio siempre es la intersección de los dominios originales, excepto en divisiones donde también excluyes los ceros del denominador.

Acceso a todos los documentos
Mejora tus notas
Únete a millones de estudiantes
Con las funciones f(u) = √, g(t) = √ y h(w) = w²-4, puedes evaluar cualquier combinación en puntos específicos. Para x = 3: f(3) = 4, g(3) = 2, h(3) = 5.
Entonces (3) = 4 + 2 = 6, (gh)(3) = 2 × 5 = 10, (3) = 4 - 5 = -1, y (3) = 2/4 = 1/2. Es súper directo: primero evalúas cada función, después haces la operación.
Para obtener las expresiones algebraicas completas, simplemente sustituyes las fórmulas: (x) = √ - √ y (fh)(x) = √ × . Así puedes trabajar con cualquier valor de x.
💡 Tip clave: Siempre evalúa primero cada función por separado, luego aplica la operación. ¡Es menos confuso así!

Acceso a todos los documentos
Mejora tus notas
Únete a millones de estudiantes
Antes de combinar funciones, necesitas saber dónde están definidas. Para f(u) = √, el dominio es [-5,5] porque necesitas 25-u² ≥ 0. Para g(t) = √, el dominio es [-1,+∞) porque t+1 ≥ 0.
La función h(w) = w²-4 tiene dominio ℝ (todos los reales) porque los polinomios siempre están definidos. Esto te da la base para encontrar los dominios de las funciones combinadas.
El dominio de f-g es Df ∩ Dg = [-5,5] ∩ [-1,+∞) = [-1,5]. Para (x), necesitas quitar donde h(x) = 0, o sea x² - 4 = 0, entonces x = ±2. El dominio final es [-5,-2) ∪ (-2,2) ∪ (2,5].
💡 Tip clave: Para divisiones, siempre identifica primero dónde el denominador es cero y exclúyelo del dominio.

Acceso a todos los documentos
Mejora tus notas
Únete a millones de estudiantes
Los ejercicios del álgebra de funciones te ayudan a dominar estas operaciones. Con las funciones f(t) = t²-9, g(y) = √ y h(z) = √, puedes practicar evaluaciones en puntos específicos y encontrar expresiones generales.
Algunos resultados importantes: (5) = 21, (gf)(-3) = 0, y dominios clave como Df = ℝ, Dg = . Estos patrones se repiten en muchos problemas.
Las funciones compuestas como (x) = √ + √ tienen dominio [-15/2, 10/3], que es la intersección de los dominios individuales. Para divisiones como g/f, también excluyes x = ±3 donde f(x) = 0.
💡 Tip clave: Practica primero con evaluaciones numéricas, después pasa a las expresiones algebraicas. ¡Te dará más confianza!

Acceso a todos los documentos
Mejora tus notas
Únete a millones de estudiantes
Las respuestas de los ejercicios te permiten verificar tu comprensión del álgebra de funciones. Valores como (5) = 21 y (2) = -2/5 muestran cómo aplicar correctamente las operaciones.
Expresiones como (x) = √ + √ y (x) = √/√ demuestran la forma correcta de combinar funciones algebraicamente.
Los dominios críticos incluyen [-15/2, +∞) - {-3,3} para g/f, y (-15/2, 10/3) para /(gh). Estos ejemplos te preparan para cualquier problema similar que encuentres en tus exámenes.
💡 Tip clave: Siempre verifica tus respuestas sustituyendo valores específicos. Si algo no cuadra, revisa el dominio primero.
Nuestro compañero de IA está específicamente adaptado a las necesidades de los estudiantes. Basándonos en los millones de contenidos que tenemos en la plataforma, podemos dar a los estudiantes respuestas realmente significativas y relevantes. Pero no se trata solo de respuestas, el compañero también guía a los estudiantes a través de sus retos de aprendizaje diarios, con planes de aprendizaje personalizados, cuestionarios o contenidos en el chat y una personalización del 100% basada en las habilidades y el desarrollo de los estudiantes.
Puedes descargar la app en Google Play Store y Apple App Store.
¡Sí lo es! Tienes acceso totalmente gratuito a todo el contenido de la app, puedes chatear con otros alumnos y recibir ayuda inmeditamente. Puedes ganar dinero utilizando la aplicación, que te permitirá acceder a determinadas funciones.
1
Herramientas Inteligentes NUEVO
Convierte estos apuntes en: ✓ 50+ Preguntas de Práctica ✓ Tarjetas de Estudio Interactivas ✓ Examen Completo de Práctica ✓ Esquemas de Ensayo
App Store
Google Play
La app es muy fácil de usar y está muy bien diseñada. Hasta ahora he encontrado todo lo que estaba buscando y he podido aprender mucho de las presentaciones. Definitivamente utilizaré la aplicación para un examen de clase. Y, por supuesto, también me sirve mucho de inspiración.
Pablo
usuario de iOS
Esta app es realmente genial. Hay tantos apuntes de clase y ayuda [...]. Tengo problemas con matemáticas, por ejemplo, y la aplicación tiene muchas opciones de ayuda. Gracias a Knowunity, he mejorado en mates. Se la recomiendo a todo el mundo.
Elena
usuaria de Android
Vaya, estoy realmente sorprendida. Acabo de probar la app porque la he visto anunciada muchas veces y me he quedado absolutamente alucinada. Esta app es LA AYUDA que quieres para el insti y, sobre todo, ofrece muchísimas cosas, como ejercicios y hojas informativas, que a mí personalmente me han sido MUY útiles.
Ana
usuaria de iOS
Solía tener dificultades para completar mis tareas a tiempo hasta que descubrí Knowunity, que no solo facilita subir mi propio contenido sino que también proporciona excelentes resúmenes que hacen mi trabajo más rápido y eficiente.
Thomas R
usuario de iOS
Siempre era un desafío encontrar toda la información importante para mis tareas – desde que comencé a usar Knowunity, puedo simplemente subir mi contenido y beneficiarme de los resúmenes de otros, lo que me ayuda mucho con la organización.
Lisa M
usuario de Android
A menudo sentía que no tenía suficiente visión general al estudiar, pero desde que comencé a usar Knowunity, eso ya no es un problema – subo mi contenido y siempre encuentro resúmenes útiles en la plataforma, lo que hace mi aprendizaje mucho más fácil.
David K
usuario de iOS
¡La app es buenísima! Sólo tengo que introducir el tema en la barra de búsqueda y recibo la respuesta muy rápido. No tengo que ver 10 vídeos de YouTube para entender algo, así que me ahorro tiempo. ¡Muy recomendable!
Sara
usuaria de Android
En el instituto era muy malo en matemáticas, pero gracias a la app, ahora saco mejores notas. Os agradezco mucho que hayáis creado la aplicación.
Roberto
usuario de Android
Solía ser muy difícil reunir toda la información para mis presentaciones. Pero desde que comencé a usar Knowunity, solo subo mis notas y encuentro increíbles resúmenes de otros – ¡hace mi estudio mucho más eficiente!
Julia S
usuario de Android
Siempre estaba estresado con todo el material de estudio, pero desde que comencé a usar Knowunity, subo mis cosas y reviso los geniales resúmenes de otros – realmente me ayuda a manejar todo mejor y es mucho menos estresante.
Marco B
usuario de iOS
LOS QUIZZES Y FLASHCARDS SON SÚPER ÚTILES Y AMO Knowunity AI. TAMBIÉN ES LITERALMENTE COMO CHATGPT PERO MÁS INTELIGENTE!! ME AYUDÓ CON MIS PROBLEMAS DE RÍMEL TAMBIÉN!! Y CON MIS MATERIAS REALES OBVIO! 😍😁😲🤑💗✨🎀😮
Sarah L
usuario de Android
Antes pasaba horas buscando en Google materiales escolares, pero ahora solo subo mis cosas a Knowunity y reviso los útiles resúmenes de otros – me siento mucho más seguro cuando me preparo para los exámenes.
Paul T
usuario de iOS
La app es muy fácil de usar y está muy bien diseñada. Hasta ahora he encontrado todo lo que estaba buscando y he podido aprender mucho de las presentaciones. Definitivamente utilizaré la aplicación para un examen de clase. Y, por supuesto, también me sirve mucho de inspiración.
Pablo
usuario de iOS
Esta app es realmente genial. Hay tantos apuntes de clase y ayuda [...]. Tengo problemas con matemáticas, por ejemplo, y la aplicación tiene muchas opciones de ayuda. Gracias a Knowunity, he mejorado en mates. Se la recomiendo a todo el mundo.
Elena
usuaria de Android
Vaya, estoy realmente sorprendida. Acabo de probar la app porque la he visto anunciada muchas veces y me he quedado absolutamente alucinada. Esta app es LA AYUDA que quieres para el insti y, sobre todo, ofrece muchísimas cosas, como ejercicios y hojas informativas, que a mí personalmente me han sido MUY útiles.
Ana
usuaria de iOS
Solía tener dificultades para completar mis tareas a tiempo hasta que descubrí Knowunity, que no solo facilita subir mi propio contenido sino que también proporciona excelentes resúmenes que hacen mi trabajo más rápido y eficiente.
Thomas R
usuario de iOS
Siempre era un desafío encontrar toda la información importante para mis tareas – desde que comencé a usar Knowunity, puedo simplemente subir mi contenido y beneficiarme de los resúmenes de otros, lo que me ayuda mucho con la organización.
Lisa M
usuario de Android
A menudo sentía que no tenía suficiente visión general al estudiar, pero desde que comencé a usar Knowunity, eso ya no es un problema – subo mi contenido y siempre encuentro resúmenes útiles en la plataforma, lo que hace mi aprendizaje mucho más fácil.
David K
usuario de iOS
¡La app es buenísima! Sólo tengo que introducir el tema en la barra de búsqueda y recibo la respuesta muy rápido. No tengo que ver 10 vídeos de YouTube para entender algo, así que me ahorro tiempo. ¡Muy recomendable!
Sara
usuaria de Android
En el instituto era muy malo en matemáticas, pero gracias a la app, ahora saco mejores notas. Os agradezco mucho que hayáis creado la aplicación.
Roberto
usuario de Android
Solía ser muy difícil reunir toda la información para mis presentaciones. Pero desde que comencé a usar Knowunity, solo subo mis notas y encuentro increíbles resúmenes de otros – ¡hace mi estudio mucho más eficiente!
Julia S
usuario de Android
Siempre estaba estresado con todo el material de estudio, pero desde que comencé a usar Knowunity, subo mis cosas y reviso los geniales resúmenes de otros – realmente me ayuda a manejar todo mejor y es mucho menos estresante.
Marco B
usuario de iOS
LOS QUIZZES Y FLASHCARDS SON SÚPER ÚTILES Y AMO Knowunity AI. TAMBIÉN ES LITERALMENTE COMO CHATGPT PERO MÁS INTELIGENTE!! ME AYUDÓ CON MIS PROBLEMAS DE RÍMEL TAMBIÉN!! Y CON MIS MATERIAS REALES OBVIO! 😍😁😲🤑💗✨🎀😮
Sarah L
usuario de Android
Antes pasaba horas buscando en Google materiales escolares, pero ahora solo subo mis cosas a Knowunity y reviso los útiles resúmenes de otros – me siento mucho más seguro cuando me preparo para los exámenes.
Paul T
usuario de iOS