Abrir la app

Asignaturas

Matemáticas

30 nov 2025

464

8 páginas

Funciones Matemáticas Esenciales: Guía y Ejemplos

Y

Yamilet Flores Mora @yamiletfloresmo

¡Hora de dominar las funciones en cálculo diferencial! Este tema es súper importante porque las funciones están literalmente... Mostrar más

## CÁLCULO DIFERENCIAL

## FUNCIONES

### FUNCIONES

### Función
Qué pasa si estamos en el laboratorio y queremos medir el efecto de la temp

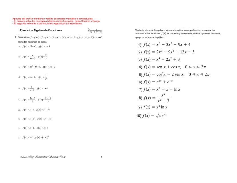
Conceptos Básicos de Funciones

¿Te has preguntado cómo los científicos pueden predecir el comportamiento de un gas cuando cambia la temperatura? La respuesta está en las funciones herramientas matemáticas que nos permiten establecer relaciones precisas entre variables.

Una función es básicamente una máquina que toma un valor de entrada (x) y produce exactamente un valor de salida (y). Lo importante es que para cada valor de x, solo puede haber un valor de y. Imagínate que tienes una máquina expendedora presionas un botón (x) y sale exactamente un producto (y).

La notación f(x) se lee "f de x" y representa el valor que la función f asigna al número x. Por ejemplo, si f(x) = 3x + 2, entonces f(1) = 3(1) + 2 = 5. La prueba de la recta vertical te ayuda a identificar si una gráfica es función si una línea vertical corta la gráfica en más de un punto, entonces NO es función.

💡 Tip clave La diferencia entre una función y una relación es que en las relaciones sí puede haber varios valores de y para un mismo x, pero en las funciones esto está prohibido.

## CÁLCULO DIFERENCIAL

## FUNCIONES

### FUNCIONES

### Función
Qué pasa si estamos en el laboratorio y queremos medir el efecto de la temp

Variables y Dominio-Rango

Entender las variables es como saber quién manda en la relación matemática. La variable independiente (generalmente x) es la que tú puedes controlar libremente, mientras que la variable dependiente (y) depende completamente de lo que hagas con x.

El dominio son todos los valores de x que puedes meter en tu función sin romperla. El rango son todos los valores de y que puede producir la función. Por ejemplo, en f(x) = x², el dominio son todos los números reales, pero el rango solo incluye números positivos y el cero.

Para funciones como f(x) = 3x + 2 (líneas rectas), tanto el dominio como el rango abarcan todos los números reales. Pero ten cuidado con funciones como f(x) = 1/x2x-2 aquí x no puede ser 2 porque harías una división entre cero.

Las asíntotas aparecen en funciones racionales. Una asíntota vertical comox=2como x = 2 significa que la función "explota" hacia infinito cerca de ese valor. Una asíntota horizontal comoy=3como y = 3 indica hacia dónde se dirige la función cuando x se hace muy grande.

⚠️ Cuidado Siempre verifica que no estés dividiendo entre cero o sacando raíz cuadrada de números negativos cuando encuentres el dominio.

## CÁLCULO DIFERENCIAL

## FUNCIONES

### FUNCIONES

### Función
Qué pasa si estamos en el laboratorio y queremos medir el efecto de la temp

Funciones Algebraicas

Las funciones algebraicas son como los bloques de construcción básicos de las matemáticas. Se forman usando las operaciones que ya conoces sumar, restar, multiplicar, dividir, elevar a potencias y sacar raíces.

Las funciones polinomiales tienen la forma f(x) = aₙxⁿ + aₙ₋₁xⁿ⁻¹ + ... + a₁x + a₀. Dependiendo del grado n, pueden ser lineales (grado 1), cuadráticas (grado 2) o cúbicas (grado 3). Estas son súper fáciles de trabajar porque su dominio siempre son todos los números reales.

Las funciones racionales son fracciones donde tanto el numerador como el denominador son polinomios, como f(x) = 3x+23x+2/x2x-2. Aquí sí debes preocuparte por el dominio cualquier valor que haga cero el denominador está prohibido. Estas funciones frecuentemente tienen asíntotas que crean comportamientos interesantes en sus gráficas.

🎯 Estrategia Para encontrar asíntotas verticales en funciones racionales, iguala el denominador a cero y resuelve. Para asíntotas horizontales, compara los grados del numerador y denominador.

## CÁLCULO DIFERENCIAL

## FUNCIONES

### FUNCIONES

### Función
Qué pasa si estamos en el laboratorio y queremos medir el efecto de la temp

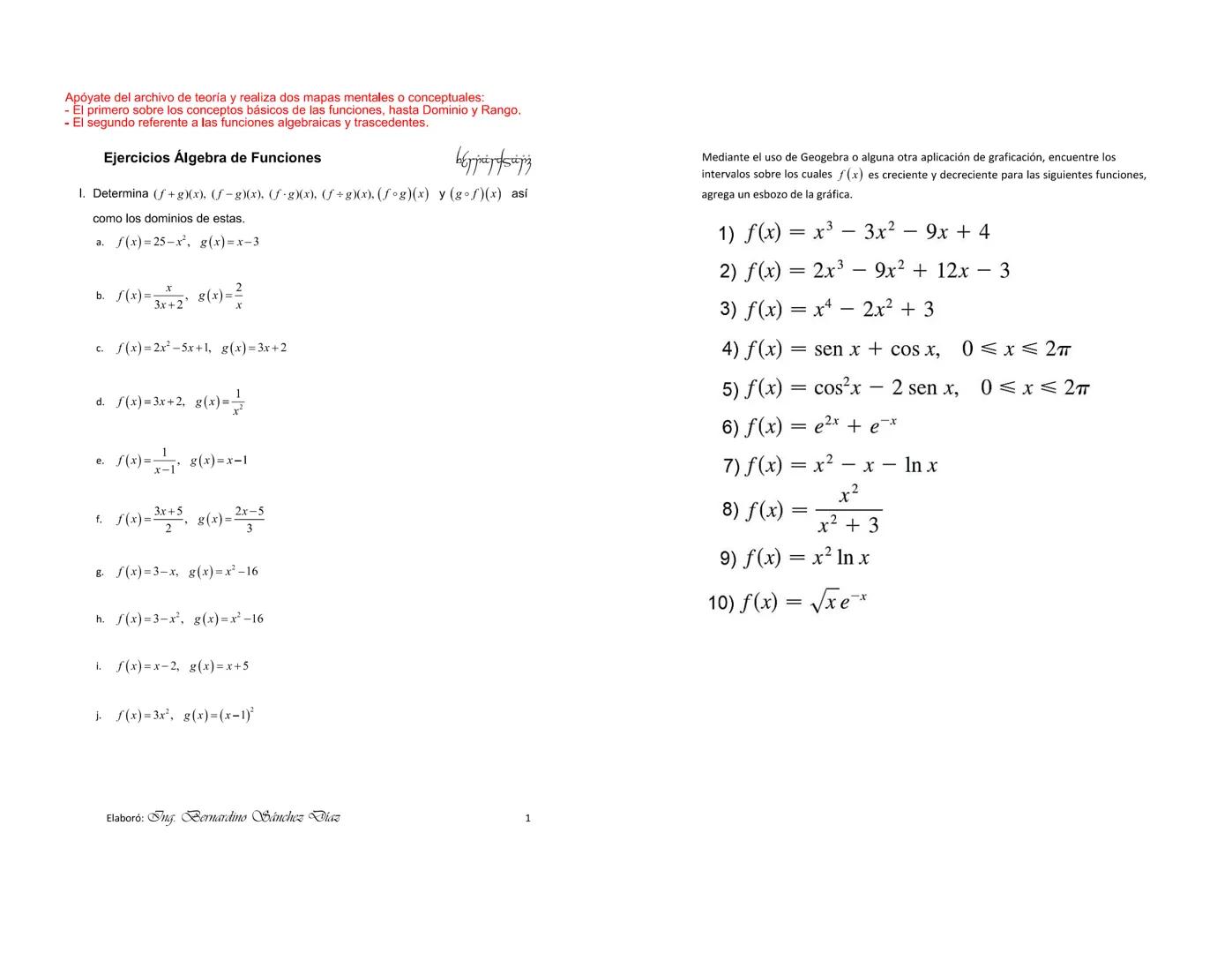
Funciones Trascendentes

Las funciones trascendentes van más allá de las operaciones algebraicas básicas y modelan fenómenos periódicos y de crecimiento. Son esenciales para describir el mundo real.

Las funciones trigonométricas como sen(x), cos(x) y tan(x) son perfectas para modelar ondas, vibraciones y movimientos cíclicos. El seno y coseno tienen dominio en todos los reales y rango 1,1-1,1, con periodo 2π. La tangente tiene el mismo dominio excepto en ±π/2, ±3π/2, etc., donde no está definida.

Las funciones exponenciales f(x) = aˣ son ideales para modelar crecimiento o decaimiento. Si a > 1, tienes crecimiento exponencial (como poblaciones o inversiones). Si 0 < a < 1, tienes decaimiento exponencial (como material radioactivo).

Las funciones logarítmicas son las inversas de las exponenciales. Su dominio son los números positivos y su rango todos los reales. Son útiles para "deshacer" crecimientos exponenciales.

🌟 Aplicación real Las funciones exponenciales aparecen en todo crecimiento poblacional, interés compuesto, decaimiento radioactivo, e incluso en la propagación de virus.

## CÁLCULO DIFERENCIAL

## FUNCIONES

### FUNCIONES

### Función
Qué pasa si estamos en el laboratorio y queremos medir el efecto de la temp

Álgebra y Composición de Funciones

¡Ahora viene lo divertido! Puedes combinar funciones como si fueran ingredientes para crear nuevas recetas matemáticas.

Las operaciones básicas entre funciones f y g son suma f+gf+g(x) = f(x) + g(x), resta fgf-g(x) = f(x) - g(x), producto (f·g)(x) = f(x)·g(x), y cociente f/gf/g(x) = f(x)/g(x). En el cociente, solo debes excluir valores donde g(x) = 0.

La composición de funciones (f∘g)(x) = f(g(x)) es como aplicar funciones en cadena. Primero calculas g(x), luego usas ese resultado como entrada para f. Por ejemplo, si f(x) = x² y g(x) = x+1, entonces (f∘g)(x) = fx+1x+1 = x+1x+1².

Ten en cuenta que (f∘g)(x) generalmente NO es igual a (g∘f)(x). El orden importa muchísimo. La composición es fundamental para la regla de la cadena en derivadas, así que domínala bien ahora.

🔗 Conexión importante La composición de funciones será tu mejor amiga cuando llegues a derivadas. Muchos problemas complicados se resuelven identificando funciones compuestas.

## CÁLCULO DIFERENCIAL

## FUNCIONES

### FUNCIONES

### Función
Qué pasa si estamos en el laboratorio y queremos medir el efecto de la temp

Crecimiento, Decrecimiento y Concavidad

Analizar el comportamiento de las funciones es como ser detective matemático. Puedes predecir dónde suben, bajan y cambian de forma usando las derivadas.

Una función es creciente en un intervalo si f'(x) > 0 ahí. Visualmente, la gráfica sube de izquierda a derecha. Es decreciente si f'(x) < 0, lo que significa que la gráfica baja de izquierda a derecha.

La concavidad describe la "curvatura" de la función. Si f''(x) > 0, la función es cóncava hacia arriba (forma de taza ∪). Si f''(x) < 0, es cóncava hacia abajo (forma de domo ∩). Los puntos de inflexión ocurren donde cambia la concavidad, típicamente donde f''(x) = 0.

Estos conceptos son súper útiles para graficar funciones y resolver problemas de optimización. Te permiten identificar máximos, mínimos y el comportamiento general de cualquier función.

📈 Tip visual Imagina que caminas sobre la gráfica de izquierda a derecha. Si subes, la función crece; si bajas, decrece. Si tu camino se curva hacia arriba, hay concavidad hacia arriba.

## CÁLCULO DIFERENCIAL

## FUNCIONES

### FUNCIONES

### Función
Qué pasa si estamos en el laboratorio y queremos medir el efecto de la temp
## CÁLCULO DIFERENCIAL

## FUNCIONES

### FUNCIONES

### Función
Qué pasa si estamos en el laboratorio y queremos medir el efecto de la temp

Pensamos que nunca lo preguntarías...

¿Qué es Knowunity AI companion?

Nuestro compañero de IA está específicamente adaptado a las necesidades de los estudiantes. Basándonos en los millones de contenidos que tenemos en la plataforma, podemos dar a los estudiantes respuestas realmente significativas y relevantes. Pero no se trata solo de respuestas, el compañero también guía a los estudiantes a través de sus retos de aprendizaje diarios, con planes de aprendizaje personalizados, cuestionarios o contenidos en el chat y una personalización del 100% basada en las habilidades y el desarrollo de los estudiantes.

¿Dónde puedo descargar la app Knowunity?

Puedes descargar la app en Google Play Store y Apple App Store.

¿Knowunity es totalmente gratuito?

¡Sí lo es! Tienes acceso totalmente gratuito a todo el contenido de la app, puedes chatear con otros alumnos y recibir ayuda inmeditamente. Puedes ganar dinero utilizando la aplicación, que te permitirá acceder a determinadas funciones.

8

Herramientas Inteligentes NUEVO

Convierte estos apuntes en: ✓ 50+ Preguntas de Práctica ✓ Tarjetas de Estudio Interactivas ✓ Examen Completo de Práctica ✓ Esquemas de Ensayo

Examen de Práctica
Quiz
Fichas
Ensayo

¿No encuentras lo que buscas? Explora otros temas.

Reseñas de nuestros usuarios. Ellos obtuvieron todo lo bueno — y tú también lo harías.

4.9/5

App Store

4.8/5

Google Play

La app es muy fácil de usar y está muy bien diseñada. Hasta ahora he encontrado todo lo que estaba buscando y he podido aprender mucho de las presentaciones. Definitivamente utilizaré la aplicación para un examen de clase. Y, por supuesto, también me sirve mucho de inspiración.

Pablo

usuario de iOS

Esta app es realmente genial. Hay tantos apuntes de clase y ayuda [...]. Tengo problemas con matemáticas, por ejemplo, y la aplicación tiene muchas opciones de ayuda. Gracias a Knowunity, he mejorado en mates. Se la recomiendo a todo el mundo.

Elena

usuaria de Android

Vaya, estoy realmente sorprendida. Acabo de probar la app porque la he visto anunciada muchas veces y me he quedado absolutamente alucinada. Esta app es LA AYUDA que quieres para el insti y, sobre todo, ofrece muchísimas cosas, como ejercicios y hojas informativas, que a mí personalmente me han sido MUY útiles.

Ana

usuaria de iOS

Solía tener dificultades para completar mis tareas a tiempo hasta que descubrí Knowunity, que no solo facilita subir mi propio contenido sino que también proporciona excelentes resúmenes que hacen mi trabajo más rápido y eficiente.

Thomas R

usuario de iOS

Siempre era un desafío encontrar toda la información importante para mis tareas – desde que comencé a usar Knowunity, puedo simplemente subir mi contenido y beneficiarme de los resúmenes de otros, lo que me ayuda mucho con la organización.

Lisa M

usuario de Android

A menudo sentía que no tenía suficiente visión general al estudiar, pero desde que comencé a usar Knowunity, eso ya no es un problema – subo mi contenido y siempre encuentro resúmenes útiles en la plataforma, lo que hace mi aprendizaje mucho más fácil.

David K

usuario de iOS

¡La app es buenísima! Sólo tengo que introducir el tema en la barra de búsqueda y recibo la respuesta muy rápido. No tengo que ver 10 vídeos de YouTube para entender algo, así que me ahorro tiempo. ¡Muy recomendable!

Sara

usuaria de Android

En el instituto era muy malo en matemáticas, pero gracias a la app, ahora saco mejores notas. Os agradezco mucho que hayáis creado la aplicación.

Roberto

usuario de Android

Solía ser muy difícil reunir toda la información para mis presentaciones. Pero desde que comencé a usar Knowunity, solo subo mis notas y encuentro increíbles resúmenes de otros – ¡hace mi estudio mucho más eficiente!

Julia S

usuario de Android

Siempre estaba estresado con todo el material de estudio, pero desde que comencé a usar Knowunity, subo mis cosas y reviso los geniales resúmenes de otros – realmente me ayuda a manejar todo mejor y es mucho menos estresante.

Marco B

usuario de iOS

Siempre era difícil encontrar los materiales correctos para mis tareas. Ahora solo subo mis apuntes a Knowunity y obtengo los mejores resúmenes de otros – realmente me ayuda a entender todo más rápido y mejora mis calificaciones.

Sarah L

usuario de Android

Antes pasaba horas buscando en Google materiales escolares, pero ahora solo subo mis cosas a Knowunity y reviso los útiles resúmenes de otros – me siento mucho más seguro cuando me preparo para los exámenes.

Paul T

usuario de iOS

La app es muy fácil de usar y está muy bien diseñada. Hasta ahora he encontrado todo lo que estaba buscando y he podido aprender mucho de las presentaciones. Definitivamente utilizaré la aplicación para un examen de clase. Y, por supuesto, también me sirve mucho de inspiración.

Pablo

usuario de iOS

Esta app es realmente genial. Hay tantos apuntes de clase y ayuda [...]. Tengo problemas con matemáticas, por ejemplo, y la aplicación tiene muchas opciones de ayuda. Gracias a Knowunity, he mejorado en mates. Se la recomiendo a todo el mundo.

Elena

usuaria de Android

Vaya, estoy realmente sorprendida. Acabo de probar la app porque la he visto anunciada muchas veces y me he quedado absolutamente alucinada. Esta app es LA AYUDA que quieres para el insti y, sobre todo, ofrece muchísimas cosas, como ejercicios y hojas informativas, que a mí personalmente me han sido MUY útiles.

Ana

usuaria de iOS

Solía tener dificultades para completar mis tareas a tiempo hasta que descubrí Knowunity, que no solo facilita subir mi propio contenido sino que también proporciona excelentes resúmenes que hacen mi trabajo más rápido y eficiente.

Thomas R

usuario de iOS

Siempre era un desafío encontrar toda la información importante para mis tareas – desde que comencé a usar Knowunity, puedo simplemente subir mi contenido y beneficiarme de los resúmenes de otros, lo que me ayuda mucho con la organización.

Lisa M

usuario de Android

A menudo sentía que no tenía suficiente visión general al estudiar, pero desde que comencé a usar Knowunity, eso ya no es un problema – subo mi contenido y siempre encuentro resúmenes útiles en la plataforma, lo que hace mi aprendizaje mucho más fácil.

David K

usuario de iOS

¡La app es buenísima! Sólo tengo que introducir el tema en la barra de búsqueda y recibo la respuesta muy rápido. No tengo que ver 10 vídeos de YouTube para entender algo, así que me ahorro tiempo. ¡Muy recomendable!

Sara

usuaria de Android

En el instituto era muy malo en matemáticas, pero gracias a la app, ahora saco mejores notas. Os agradezco mucho que hayáis creado la aplicación.

Roberto

usuario de Android

Solía ser muy difícil reunir toda la información para mis presentaciones. Pero desde que comencé a usar Knowunity, solo subo mis notas y encuentro increíbles resúmenes de otros – ¡hace mi estudio mucho más eficiente!

Julia S

usuario de Android

Siempre estaba estresado con todo el material de estudio, pero desde que comencé a usar Knowunity, subo mis cosas y reviso los geniales resúmenes de otros – realmente me ayuda a manejar todo mejor y es mucho menos estresante.

Marco B

usuario de iOS

Siempre era difícil encontrar los materiales correctos para mis tareas. Ahora solo subo mis apuntes a Knowunity y obtengo los mejores resúmenes de otros – realmente me ayuda a entender todo más rápido y mejora mis calificaciones.

Sarah L

usuario de Android

Antes pasaba horas buscando en Google materiales escolares, pero ahora solo subo mis cosas a Knowunity y reviso los útiles resúmenes de otros – me siento mucho más seguro cuando me preparo para los exámenes.

Paul T

usuario de iOS

 

Matemáticas

464

30 nov 2025

8 páginas

Funciones Matemáticas Esenciales: Guía y Ejemplos

Y

Yamilet Flores Mora

@yamiletfloresmo

¡Hora de dominar las funciones en cálculo diferencial! Este tema es súper importante porque las funciones están literalmente en todos lados: desde calcular la presión de un gas hasta modelar el crecimiento de poblaciones. Vamos a ver desde los conceptos... Mostrar más

## CÁLCULO DIFERENCIAL

## FUNCIONES

### FUNCIONES

### Función
Qué pasa si estamos en el laboratorio y queremos medir el efecto de la temp

Inscríbete para ver los apuntes¡Es gratis!

Acceso a todos los documentos

Mejora tus notas

Únete a millones de estudiantes

Al registrarte aceptas las Condiciones del servicio y la Política de privacidad.

Conceptos Básicos de Funciones

¿Te has preguntado cómo los científicos pueden predecir el comportamiento de un gas cuando cambia la temperatura? La respuesta está en las funciones: herramientas matemáticas que nos permiten establecer relaciones precisas entre variables.

Una función es básicamente una máquina que toma un valor de entrada (x) y produce exactamente un valor de salida (y). Lo importante es que para cada valor de x, solo puede haber un valor de y. Imagínate que tienes una máquina expendedora: presionas un botón (x) y sale exactamente un producto (y).

La notación f(x) se lee "f de x" y representa el valor que la función f asigna al número x. Por ejemplo, si f(x) = 3x + 2, entonces f(1) = 3(1) + 2 = 5. La prueba de la recta vertical te ayuda a identificar si una gráfica es función: si una línea vertical corta la gráfica en más de un punto, entonces NO es función.

💡 Tip clave: La diferencia entre una función y una relación es que en las relaciones sí puede haber varios valores de y para un mismo x, pero en las funciones esto está prohibido.

## CÁLCULO DIFERENCIAL

## FUNCIONES

### FUNCIONES

### Función
Qué pasa si estamos en el laboratorio y queremos medir el efecto de la temp

Inscríbete para ver los apuntes¡Es gratis!

Acceso a todos los documentos

Mejora tus notas

Únete a millones de estudiantes

Al registrarte aceptas las Condiciones del servicio y la Política de privacidad.

Variables y Dominio-Rango

Entender las variables es como saber quién manda en la relación matemática. La variable independiente (generalmente x) es la que tú puedes controlar libremente, mientras que la variable dependiente (y) depende completamente de lo que hagas con x.

El dominio son todos los valores de x que puedes meter en tu función sin romperla. El rango son todos los valores de y que puede producir la función. Por ejemplo, en f(x) = x², el dominio son todos los números reales, pero el rango solo incluye números positivos y el cero.

Para funciones como f(x) = 3x + 2 (líneas rectas), tanto el dominio como el rango abarcan todos los números reales. Pero ten cuidado con funciones como f(x) = 1/x2x-2: aquí x no puede ser 2 porque harías una división entre cero.

Las asíntotas aparecen en funciones racionales. Una asíntota vertical comox=2como x = 2 significa que la función "explota" hacia infinito cerca de ese valor. Una asíntota horizontal comoy=3como y = 3 indica hacia dónde se dirige la función cuando x se hace muy grande.

⚠️ Cuidado: Siempre verifica que no estés dividiendo entre cero o sacando raíz cuadrada de números negativos cuando encuentres el dominio.

## CÁLCULO DIFERENCIAL

## FUNCIONES

### FUNCIONES

### Función
Qué pasa si estamos en el laboratorio y queremos medir el efecto de la temp

Inscríbete para ver los apuntes¡Es gratis!

Acceso a todos los documentos

Mejora tus notas

Únete a millones de estudiantes

Al registrarte aceptas las Condiciones del servicio y la Política de privacidad.

Funciones Algebraicas

Las funciones algebraicas son como los bloques de construcción básicos de las matemáticas. Se forman usando las operaciones que ya conoces: sumar, restar, multiplicar, dividir, elevar a potencias y sacar raíces.

Las funciones polinomiales tienen la forma f(x) = aₙxⁿ + aₙ₋₁xⁿ⁻¹ + ... + a₁x + a₀. Dependiendo del grado n, pueden ser lineales (grado 1), cuadráticas (grado 2) o cúbicas (grado 3). Estas son súper fáciles de trabajar porque su dominio siempre son todos los números reales.

Las funciones racionales son fracciones donde tanto el numerador como el denominador son polinomios, como f(x) = 3x+23x+2/x2x-2. Aquí sí debes preocuparte por el dominio: cualquier valor que haga cero el denominador está prohibido. Estas funciones frecuentemente tienen asíntotas que crean comportamientos interesantes en sus gráficas.

🎯 Estrategia: Para encontrar asíntotas verticales en funciones racionales, iguala el denominador a cero y resuelve. Para asíntotas horizontales, compara los grados del numerador y denominador.

## CÁLCULO DIFERENCIAL

## FUNCIONES

### FUNCIONES

### Función
Qué pasa si estamos en el laboratorio y queremos medir el efecto de la temp

Inscríbete para ver los apuntes¡Es gratis!

Acceso a todos los documentos

Mejora tus notas

Únete a millones de estudiantes

Al registrarte aceptas las Condiciones del servicio y la Política de privacidad.

Funciones Trascendentes

Las funciones trascendentes van más allá de las operaciones algebraicas básicas y modelan fenómenos periódicos y de crecimiento. Son esenciales para describir el mundo real.

Las funciones trigonométricas como sen(x), cos(x) y tan(x) son perfectas para modelar ondas, vibraciones y movimientos cíclicos. El seno y coseno tienen dominio en todos los reales y rango 1,1-1,1, con periodo 2π. La tangente tiene el mismo dominio excepto en ±π/2, ±3π/2, etc., donde no está definida.

Las funciones exponenciales f(x) = aˣ son ideales para modelar crecimiento o decaimiento. Si a > 1, tienes crecimiento exponencial (como poblaciones o inversiones). Si 0 < a < 1, tienes decaimiento exponencial (como material radioactivo).

Las funciones logarítmicas son las inversas de las exponenciales. Su dominio son los números positivos y su rango todos los reales. Son útiles para "deshacer" crecimientos exponenciales.

🌟 Aplicación real: Las funciones exponenciales aparecen en todo: crecimiento poblacional, interés compuesto, decaimiento radioactivo, e incluso en la propagación de virus.

## CÁLCULO DIFERENCIAL

## FUNCIONES

### FUNCIONES

### Función
Qué pasa si estamos en el laboratorio y queremos medir el efecto de la temp

Inscríbete para ver los apuntes¡Es gratis!

Acceso a todos los documentos

Mejora tus notas

Únete a millones de estudiantes

Al registrarte aceptas las Condiciones del servicio y la Política de privacidad.

Álgebra y Composición de Funciones

¡Ahora viene lo divertido! Puedes combinar funciones como si fueran ingredientes para crear nuevas recetas matemáticas.

Las operaciones básicas entre funciones f y g son: suma f+gf+g(x) = f(x) + g(x), resta fgf-g(x) = f(x) - g(x), producto (f·g)(x) = f(x)·g(x), y cociente f/gf/g(x) = f(x)/g(x). En el cociente, solo debes excluir valores donde g(x) = 0.

La composición de funciones (f∘g)(x) = f(g(x)) es como aplicar funciones en cadena. Primero calculas g(x), luego usas ese resultado como entrada para f. Por ejemplo, si f(x) = x² y g(x) = x+1, entonces (f∘g)(x) = fx+1x+1 = x+1x+1².

Ten en cuenta que (f∘g)(x) generalmente NO es igual a (g∘f)(x). El orden importa muchísimo. La composición es fundamental para la regla de la cadena en derivadas, así que domínala bien ahora.

🔗 Conexión importante: La composición de funciones será tu mejor amiga cuando llegues a derivadas. Muchos problemas complicados se resuelven identificando funciones compuestas.

## CÁLCULO DIFERENCIAL

## FUNCIONES

### FUNCIONES

### Función
Qué pasa si estamos en el laboratorio y queremos medir el efecto de la temp

Inscríbete para ver los apuntes¡Es gratis!

Acceso a todos los documentos

Mejora tus notas

Únete a millones de estudiantes

Al registrarte aceptas las Condiciones del servicio y la Política de privacidad.

Crecimiento, Decrecimiento y Concavidad

Analizar el comportamiento de las funciones es como ser detective matemático. Puedes predecir dónde suben, bajan y cambian de forma usando las derivadas.

Una función es creciente en un intervalo si f'(x) > 0 ahí. Visualmente, la gráfica sube de izquierda a derecha. Es decreciente si f'(x) < 0, lo que significa que la gráfica baja de izquierda a derecha.

La concavidad describe la "curvatura" de la función. Si f''(x) > 0, la función es cóncava hacia arriba (forma de taza ∪). Si f''(x) < 0, es cóncava hacia abajo (forma de domo ∩). Los puntos de inflexión ocurren donde cambia la concavidad, típicamente donde f''(x) = 0.

Estos conceptos son súper útiles para graficar funciones y resolver problemas de optimización. Te permiten identificar máximos, mínimos y el comportamiento general de cualquier función.

📈 Tip visual: Imagina que caminas sobre la gráfica de izquierda a derecha. Si subes, la función crece; si bajas, decrece. Si tu camino se curva hacia arriba, hay concavidad hacia arriba.

## CÁLCULO DIFERENCIAL

## FUNCIONES

### FUNCIONES

### Función
Qué pasa si estamos en el laboratorio y queremos medir el efecto de la temp

Inscríbete para ver los apuntes¡Es gratis!

Acceso a todos los documentos

Mejora tus notas

Únete a millones de estudiantes

Al registrarte aceptas las Condiciones del servicio y la Política de privacidad.

## CÁLCULO DIFERENCIAL

## FUNCIONES

### FUNCIONES

### Función
Qué pasa si estamos en el laboratorio y queremos medir el efecto de la temp

Inscríbete para ver los apuntes¡Es gratis!

Acceso a todos los documentos

Mejora tus notas

Únete a millones de estudiantes

Al registrarte aceptas las Condiciones del servicio y la Política de privacidad.

Pensamos que nunca lo preguntarías...

¿Qué es Knowunity AI companion?

Nuestro compañero de IA está específicamente adaptado a las necesidades de los estudiantes. Basándonos en los millones de contenidos que tenemos en la plataforma, podemos dar a los estudiantes respuestas realmente significativas y relevantes. Pero no se trata solo de respuestas, el compañero también guía a los estudiantes a través de sus retos de aprendizaje diarios, con planes de aprendizaje personalizados, cuestionarios o contenidos en el chat y una personalización del 100% basada en las habilidades y el desarrollo de los estudiantes.

¿Dónde puedo descargar la app Knowunity?

Puedes descargar la app en Google Play Store y Apple App Store.

¿Knowunity es totalmente gratuito?

¡Sí lo es! Tienes acceso totalmente gratuito a todo el contenido de la app, puedes chatear con otros alumnos y recibir ayuda inmeditamente. Puedes ganar dinero utilizando la aplicación, que te permitirá acceder a determinadas funciones.

8

Herramientas Inteligentes NUEVO

Convierte estos apuntes en: ✓ 50+ Preguntas de Práctica ✓ Tarjetas de Estudio Interactivas ✓ Examen Completo de Práctica ✓ Esquemas de Ensayo

Examen de Práctica
Quiz
Fichas
Ensayo

¿No encuentras lo que buscas? Explora otros temas.

Reseñas de nuestros usuarios. Ellos obtuvieron todo lo bueno — y tú también lo harías.

4.9/5

App Store

4.8/5

Google Play

La app es muy fácil de usar y está muy bien diseñada. Hasta ahora he encontrado todo lo que estaba buscando y he podido aprender mucho de las presentaciones. Definitivamente utilizaré la aplicación para un examen de clase. Y, por supuesto, también me sirve mucho de inspiración.

Pablo

usuario de iOS

Esta app es realmente genial. Hay tantos apuntes de clase y ayuda [...]. Tengo problemas con matemáticas, por ejemplo, y la aplicación tiene muchas opciones de ayuda. Gracias a Knowunity, he mejorado en mates. Se la recomiendo a todo el mundo.

Elena

usuaria de Android

Vaya, estoy realmente sorprendida. Acabo de probar la app porque la he visto anunciada muchas veces y me he quedado absolutamente alucinada. Esta app es LA AYUDA que quieres para el insti y, sobre todo, ofrece muchísimas cosas, como ejercicios y hojas informativas, que a mí personalmente me han sido MUY útiles.

Ana

usuaria de iOS

Solía tener dificultades para completar mis tareas a tiempo hasta que descubrí Knowunity, que no solo facilita subir mi propio contenido sino que también proporciona excelentes resúmenes que hacen mi trabajo más rápido y eficiente.

Thomas R

usuario de iOS

Siempre era un desafío encontrar toda la información importante para mis tareas – desde que comencé a usar Knowunity, puedo simplemente subir mi contenido y beneficiarme de los resúmenes de otros, lo que me ayuda mucho con la organización.

Lisa M

usuario de Android

A menudo sentía que no tenía suficiente visión general al estudiar, pero desde que comencé a usar Knowunity, eso ya no es un problema – subo mi contenido y siempre encuentro resúmenes útiles en la plataforma, lo que hace mi aprendizaje mucho más fácil.

David K

usuario de iOS

¡La app es buenísima! Sólo tengo que introducir el tema en la barra de búsqueda y recibo la respuesta muy rápido. No tengo que ver 10 vídeos de YouTube para entender algo, así que me ahorro tiempo. ¡Muy recomendable!

Sara

usuaria de Android

En el instituto era muy malo en matemáticas, pero gracias a la app, ahora saco mejores notas. Os agradezco mucho que hayáis creado la aplicación.

Roberto

usuario de Android

Solía ser muy difícil reunir toda la información para mis presentaciones. Pero desde que comencé a usar Knowunity, solo subo mis notas y encuentro increíbles resúmenes de otros – ¡hace mi estudio mucho más eficiente!

Julia S

usuario de Android

Siempre estaba estresado con todo el material de estudio, pero desde que comencé a usar Knowunity, subo mis cosas y reviso los geniales resúmenes de otros – realmente me ayuda a manejar todo mejor y es mucho menos estresante.

Marco B

usuario de iOS

Siempre era difícil encontrar los materiales correctos para mis tareas. Ahora solo subo mis apuntes a Knowunity y obtengo los mejores resúmenes de otros – realmente me ayuda a entender todo más rápido y mejora mis calificaciones.

Sarah L

usuario de Android

Antes pasaba horas buscando en Google materiales escolares, pero ahora solo subo mis cosas a Knowunity y reviso los útiles resúmenes de otros – me siento mucho más seguro cuando me preparo para los exámenes.

Paul T

usuario de iOS

La app es muy fácil de usar y está muy bien diseñada. Hasta ahora he encontrado todo lo que estaba buscando y he podido aprender mucho de las presentaciones. Definitivamente utilizaré la aplicación para un examen de clase. Y, por supuesto, también me sirve mucho de inspiración.

Pablo

usuario de iOS

Esta app es realmente genial. Hay tantos apuntes de clase y ayuda [...]. Tengo problemas con matemáticas, por ejemplo, y la aplicación tiene muchas opciones de ayuda. Gracias a Knowunity, he mejorado en mates. Se la recomiendo a todo el mundo.

Elena

usuaria de Android

Vaya, estoy realmente sorprendida. Acabo de probar la app porque la he visto anunciada muchas veces y me he quedado absolutamente alucinada. Esta app es LA AYUDA que quieres para el insti y, sobre todo, ofrece muchísimas cosas, como ejercicios y hojas informativas, que a mí personalmente me han sido MUY útiles.

Ana

usuaria de iOS

Solía tener dificultades para completar mis tareas a tiempo hasta que descubrí Knowunity, que no solo facilita subir mi propio contenido sino que también proporciona excelentes resúmenes que hacen mi trabajo más rápido y eficiente.

Thomas R

usuario de iOS

Siempre era un desafío encontrar toda la información importante para mis tareas – desde que comencé a usar Knowunity, puedo simplemente subir mi contenido y beneficiarme de los resúmenes de otros, lo que me ayuda mucho con la organización.

Lisa M

usuario de Android

A menudo sentía que no tenía suficiente visión general al estudiar, pero desde que comencé a usar Knowunity, eso ya no es un problema – subo mi contenido y siempre encuentro resúmenes útiles en la plataforma, lo que hace mi aprendizaje mucho más fácil.

David K

usuario de iOS

¡La app es buenísima! Sólo tengo que introducir el tema en la barra de búsqueda y recibo la respuesta muy rápido. No tengo que ver 10 vídeos de YouTube para entender algo, así que me ahorro tiempo. ¡Muy recomendable!

Sara

usuaria de Android

En el instituto era muy malo en matemáticas, pero gracias a la app, ahora saco mejores notas. Os agradezco mucho que hayáis creado la aplicación.

Roberto

usuario de Android

Solía ser muy difícil reunir toda la información para mis presentaciones. Pero desde que comencé a usar Knowunity, solo subo mis notas y encuentro increíbles resúmenes de otros – ¡hace mi estudio mucho más eficiente!

Julia S

usuario de Android

Siempre estaba estresado con todo el material de estudio, pero desde que comencé a usar Knowunity, subo mis cosas y reviso los geniales resúmenes de otros – realmente me ayuda a manejar todo mejor y es mucho menos estresante.

Marco B

usuario de iOS

Siempre era difícil encontrar los materiales correctos para mis tareas. Ahora solo subo mis apuntes a Knowunity y obtengo los mejores resúmenes de otros – realmente me ayuda a entender todo más rápido y mejora mis calificaciones.

Sarah L

usuario de Android

Antes pasaba horas buscando en Google materiales escolares, pero ahora solo subo mis cosas a Knowunity y reviso los útiles resúmenes de otros – me siento mucho más seguro cuando me preparo para los exámenes.

Paul T

usuario de iOS