Las aplicaciones de la derivada son fundamentales para comprender el... Mostrar más
Inscríbete para ver los apuntes¡Es gratis!
Acceso a todos los documentos
Mejora tus notas
Únete a millones de estudiantes
Knowunity AI
Asignaturas
Triangle Congruence and Similarity Theorems
Triangle Properties and Classification
Linear Equations and Graphs
Geometric Angle Relationships
Trigonometric Functions and Identities
Equation Solving Techniques
Circle Geometry Fundamentals
Division Operations and Methods
Basic Differentiation Rules
Exponent and Logarithm Properties
Mostrar todos los temas
Human Organ Systems
Reproductive Cell Cycles
Biological Sciences Subdisciplines
Cellular Energy Metabolism
Autotrophic Energy Processes
Inheritance Patterns and Principles
Biomolecular Structure and Organization
Cell Cycle and Division Mechanics
Cellular Organization and Development
Biological Structural Organization
Mostrar todos los temas
Chemical Sciences and Applications
Atomic Structure and Composition
Molecular Electron Structure Representation
Atomic Electron Behavior
Matter Properties and Water
Mole Concept and Calculations
Gas Laws and Behavior
Periodic Table Organization
Chemical Thermodynamics Fundamentals
Chemical Bond Types and Properties
Mostrar todos los temas
European Renaissance and Enlightenment
European Cultural Movements 800-1920
American Revolution Era 1763-1797
American Civil War 1861-1865
Global Imperial Systems
Mongol and Chinese Dynasties
U.S. Presidents and World Leaders
Historical Sources and Documentation
World Wars Era and Impact
World Religious Systems
Mostrar todos los temas
Classic and Contemporary Novels
Literary Character Analysis
Rhetorical Theory and Practice
Classic Literary Narratives
Reading Analysis and Interpretation
Narrative Structure and Techniques
English Language Components
Influential English-Language Authors
Basic Sentence Structure
Narrative Voice and Perspective
Mostrar todos los temas
118
•
Actualizado Apr 9, 2026
•
Nam Soobin
@namsoobin
Las aplicaciones de la derivada son fundamentales para comprender el... Mostrar más

















Cuando analizamos una función, es esencial identificar sus puntos más altos y más bajos. Un máximo absoluto ocurre cuando f(c) es mayor o igual que f(x) para todo x en el intervalo I. Por otro lado, un mínimo absoluto sucede cuando f(c) es menor o igual que f(x) para todo x en I. Estos valores se conocen como valores extremos.
Los extremos absolutos pueden ubicarse tanto en el interior del intervalo como en sus extremos. Por ejemplo, en un intervalo cerrado [a,b], los valores máximos o mínimos pueden estar en cualquier punto del intervalo. ¡Ojo! No todas las funciones tienen valores máximos o mínimos absolutos, especialmente aquellas definidas en intervalos abiertos.
Para funciones definidas en intervalos abiertos, es necesario analizar los límites en los extremos del intervalo para determinar si existen valores máximos o mínimos absolutos.
💡 Recuerda: Si una función es continua en un intervalo cerrado [a,b], el Teorema 2.1 nos garantiza que la función alcanzará tanto un máximo como un mínimo absoluto al menos una vez en ese intervalo.

¿Sabías que una montaña rusa tiene varios picos y valles? Similar a esto, las funciones pueden tener máximos y mínimos locales. Un máximo local ocurre cuando f(c) es mayor o igual que todos los valores cercanos de la función en algún intervalo abierto. Un mínimo local sucede cuando f(c) es menor o igual que todos los valores cercanos.
Los extremos locales siempre se encuentran en el interior del intervalo donde está definida la función. Si estamos trabajando en un intervalo cerrado [a,b], estos puntos deben estar en el intervalo abierto (a,b).
Es importante notar que los valores extremos absolutos y locales pueden estar en posiciones diferentes. Una función puede tener varios máximos y mínimos locales, pero solo un máximo y un mínimo absoluto en un intervalo dado.
🔍 Importante: La identificación de máximos y mínimos locales es fundamental para entender el comportamiento de una función y su gráfica, ya que estos puntos representan cambios significativos en la tendencia de la función.

La concavidad nos dice cómo "se curva" la gráfica de una función. Cuando una función tiene concavidad hacia arriba en un punto P(c,f(c)), la gráfica está por encima de la recta tangente en ese punto. En cambio, si tiene concavidad hacia abajo, la gráfica está por debajo de la recta tangente.
¿Cómo identificamos si la derivada nos da un máximo o un mínimo? Cuando la derivada cambia de signo positivo a negativo en un punto, tenemos un máximo local. Si cambia de negativo a positivo, tenemos un mínimo local.
Por ejemplo, en la función analizada, la derivada cambia de signo de positivo a negativo en x=-1, lo que indica un máximo local con valor f(-1)=25/6. En x=2, la derivada cambia de negativo a positivo, indicando un mínimo local con valor f(2)=-1/3.
📝 Visualiza esto: La concavidad hacia arriba se ve como una "U", mientras que la concavidad hacia abajo se ve como una "∩". Estos cambios en la concavidad son puntos clave para entender el comportamiento completo de una función.

¿Te has preguntado cómo podemos confirmar si un punto crítico es máximo o mínimo? El criterio de la segunda derivada nos ofrece una forma rápida y eficiente. Si f'(c)=0 y f''(c)<0, entonces f tiene un máximo local en c. Si f'(c)=0 y f''(c)>0, entonces f tiene un mínimo local en c.
Veamos un ejemplo con la función f(x)=2x³+3x²-120x+80. Primero, calculamos f'(x)=6x²+6x-120 e igualamos a cero para encontrar los puntos críticos: x=-5 y x=4.
Para x=-5, calculamos f''(-5)=12(-5)+6=-54. Como es negativa, tenemos un máximo local en x=-5 con valor f(-5)=505.
Para x=4, calculamos f''(4)=12(4)+6=54. Como es positiva, tenemos un mínimo local en x=4 con valor f(4)=-224.
🧠 Truco rápido: Cuando analices funciones, primero encuentra los puntos críticos y luego usa la segunda derivada para clasificarlos como máximos o mínimos. ¡Es más eficiente que usar intervalos de crecimiento!

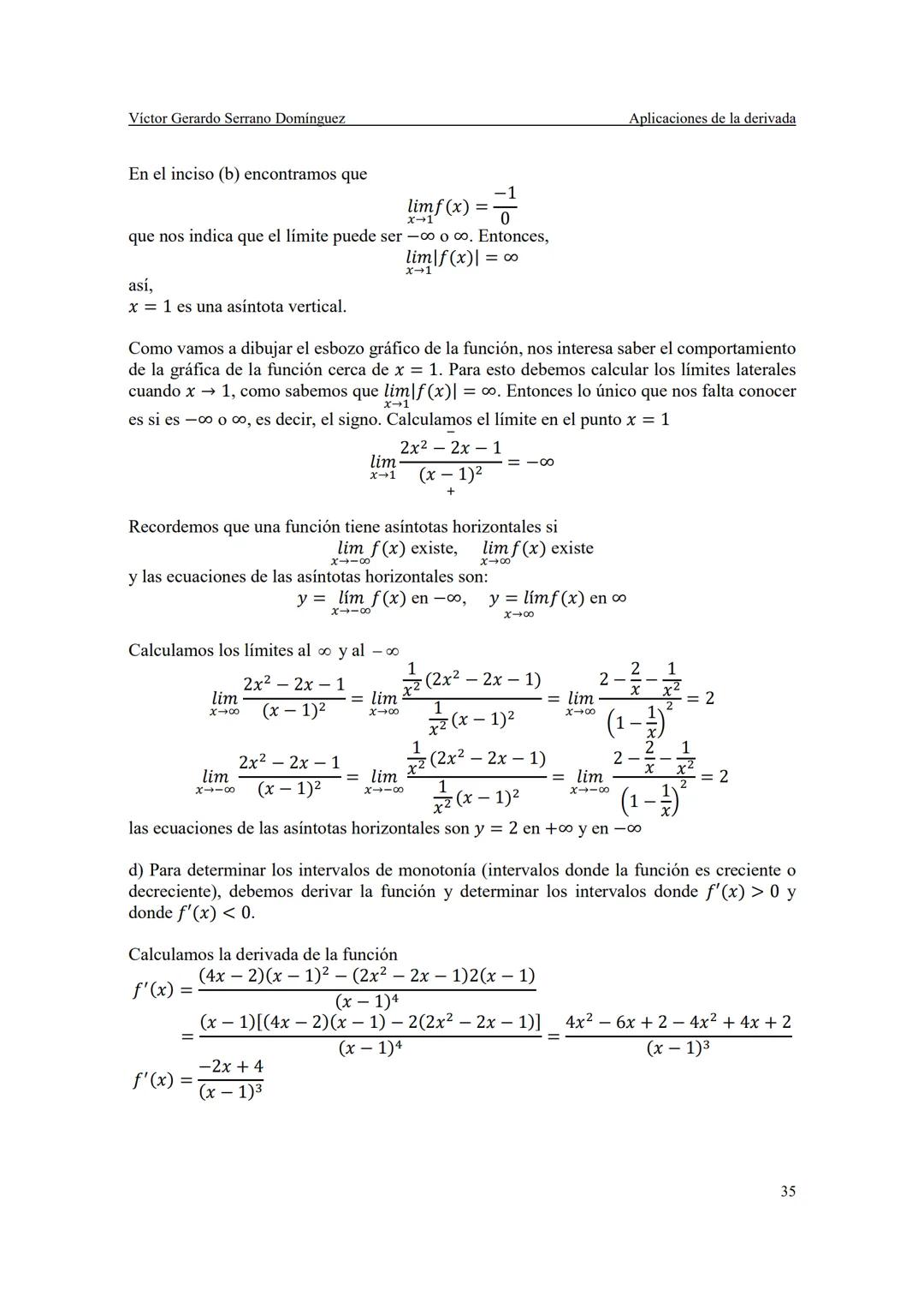
La graficación completa de una función requiere varios pasos que ya hemos aprendido. Tomemos como ejemplo la función f(x)=/². Debemos:
Primero, determinar el dominio de la función, que en este caso es R-{1}, y encontrar sus raíces: x=-0.366 y x=1.366.
Segundo, analizar los puntos de discontinuidad. En x=1 tenemos una discontinuidad esencial porque el límite no existe.
Tercero, identificar las asíntotas verticales y horizontales. La función tiene una asíntota vertical en x=1 porque el límite tiende a infinito.
Cuarto, determinar los intervalos de monotonía (crecimiento y decrecimiento) mediante la primera derivada.
Después, localizar los puntos máximos y mínimos utilizando el criterio de la primera o segunda derivada.
🎯 Consejo: Para dibujar una gráfica completa, siempre sigue este orden sistemático: dominio, raíces, discontinuidades, asíntotas, monotonía, extremos y concavidad. ¡Es como armar un rompecabezas pieza por pieza!











Nuestro compañero de IA está específicamente adaptado a las necesidades de los estudiantes. Basándonos en los millones de contenidos que tenemos en la plataforma, podemos dar a los estudiantes respuestas realmente significativas y relevantes. Pero no se trata solo de respuestas, el compañero también guía a los estudiantes a través de sus retos de aprendizaje diarios, con planes de aprendizaje personalizados, cuestionarios o contenidos en el chat y una personalización del 100% basada en las habilidades y el desarrollo de los estudiantes.
Puedes descargar la app en Google Play Store y Apple App Store.
¡Sí lo es! Tienes acceso totalmente gratuito a todo el contenido de la app, puedes chatear con otros alumnos y recibir ayuda inmeditamente. Puedes ganar dinero utilizando la aplicación, que te permitirá acceder a determinadas funciones.
App Store
Google Play
La app es muy fácil de usar y está muy bien diseñada. Hasta ahora he encontrado todo lo que estaba buscando y he podido aprender mucho de las presentaciones. Definitivamente utilizaré la aplicación para un examen de clase. Y, por supuesto, también me sirve mucho de inspiración.
Pablo
usuario de iOS
Esta app es realmente genial. Hay tantos apuntes de clase y ayuda [...]. Tengo problemas con matemáticas, por ejemplo, y la aplicación tiene muchas opciones de ayuda. Gracias a Knowunity, he mejorado en mates. Se la recomiendo a todo el mundo.
Elena
usuaria de Android
Vaya, estoy realmente sorprendida. Acabo de probar la app porque la he visto anunciada muchas veces y me he quedado absolutamente alucinada. Esta app es LA AYUDA que quieres para el insti y, sobre todo, ofrece muchísimas cosas, como ejercicios y hojas informativas, que a mí personalmente me han sido MUY útiles.
Ana
usuaria de iOS
Solía tener dificultades para completar mis tareas a tiempo hasta que descubrí Knowunity, que no solo facilita subir mi propio contenido sino que también proporciona excelentes resúmenes que hacen mi trabajo más rápido y eficiente.
Thomas R
usuario de iOS
Siempre era un desafío encontrar toda la información importante para mis tareas – desde que comencé a usar Knowunity, puedo simplemente subir mi contenido y beneficiarme de los resúmenes de otros, lo que me ayuda mucho con la organización.
Lisa M
usuario de Android
A menudo sentía que no tenía suficiente visión general al estudiar, pero desde que comencé a usar Knowunity, eso ya no es un problema – subo mi contenido y siempre encuentro resúmenes útiles en la plataforma, lo que hace mi aprendizaje mucho más fácil.
David K
usuario de iOS
¡La app es buenísima! Sólo tengo que introducir el tema en la barra de búsqueda y recibo la respuesta muy rápido. No tengo que ver 10 vídeos de YouTube para entender algo, así que me ahorro tiempo. ¡Muy recomendable!
Sara
usuaria de Android
En el instituto era muy malo en matemáticas, pero gracias a la app, ahora saco mejores notas. Os agradezco mucho que hayáis creado la aplicación.
Roberto
usuario de Android
Solía ser muy difícil reunir toda la información para mis presentaciones. Pero desde que comencé a usar Knowunity, solo subo mis notas y encuentro increíbles resúmenes de otros – ¡hace mi estudio mucho más eficiente!
Julia S
usuario de Android
Siempre estaba estresado con todo el material de estudio, pero desde que comencé a usar Knowunity, subo mis cosas y reviso los geniales resúmenes de otros – realmente me ayuda a manejar todo mejor y es mucho menos estresante.
Marco B
usuario de iOS
LOS QUIZZES Y FLASHCARDS SON SÚPER ÚTILES Y AMO Knowunity AI. TAMBIÉN ES LITERALMENTE COMO CHATGPT PERO MÁS INTELIGENTE!! ME AYUDÓ CON MIS PROBLEMAS DE RÍMEL TAMBIÉN!! Y CON MIS MATERIAS REALES OBVIO! 😍😁😲🤑💗✨🎀😮
Sarah L
usuario de Android
Antes pasaba horas buscando en Google materiales escolares, pero ahora solo subo mis cosas a Knowunity y reviso los útiles resúmenes de otros – me siento mucho más seguro cuando me preparo para los exámenes.
Paul T
usuario de iOS
La app es muy fácil de usar y está muy bien diseñada. Hasta ahora he encontrado todo lo que estaba buscando y he podido aprender mucho de las presentaciones. Definitivamente utilizaré la aplicación para un examen de clase. Y, por supuesto, también me sirve mucho de inspiración.
Pablo
usuario de iOS
Esta app es realmente genial. Hay tantos apuntes de clase y ayuda [...]. Tengo problemas con matemáticas, por ejemplo, y la aplicación tiene muchas opciones de ayuda. Gracias a Knowunity, he mejorado en mates. Se la recomiendo a todo el mundo.
Elena
usuaria de Android
Vaya, estoy realmente sorprendida. Acabo de probar la app porque la he visto anunciada muchas veces y me he quedado absolutamente alucinada. Esta app es LA AYUDA que quieres para el insti y, sobre todo, ofrece muchísimas cosas, como ejercicios y hojas informativas, que a mí personalmente me han sido MUY útiles.
Ana
usuaria de iOS
Solía tener dificultades para completar mis tareas a tiempo hasta que descubrí Knowunity, que no solo facilita subir mi propio contenido sino que también proporciona excelentes resúmenes que hacen mi trabajo más rápido y eficiente.
Thomas R
usuario de iOS
Siempre era un desafío encontrar toda la información importante para mis tareas – desde que comencé a usar Knowunity, puedo simplemente subir mi contenido y beneficiarme de los resúmenes de otros, lo que me ayuda mucho con la organización.
Lisa M
usuario de Android
A menudo sentía que no tenía suficiente visión general al estudiar, pero desde que comencé a usar Knowunity, eso ya no es un problema – subo mi contenido y siempre encuentro resúmenes útiles en la plataforma, lo que hace mi aprendizaje mucho más fácil.
David K
usuario de iOS
¡La app es buenísima! Sólo tengo que introducir el tema en la barra de búsqueda y recibo la respuesta muy rápido. No tengo que ver 10 vídeos de YouTube para entender algo, así que me ahorro tiempo. ¡Muy recomendable!
Sara
usuaria de Android
En el instituto era muy malo en matemáticas, pero gracias a la app, ahora saco mejores notas. Os agradezco mucho que hayáis creado la aplicación.
Roberto
usuario de Android
Solía ser muy difícil reunir toda la información para mis presentaciones. Pero desde que comencé a usar Knowunity, solo subo mis notas y encuentro increíbles resúmenes de otros – ¡hace mi estudio mucho más eficiente!
Julia S
usuario de Android
Siempre estaba estresado con todo el material de estudio, pero desde que comencé a usar Knowunity, subo mis cosas y reviso los geniales resúmenes de otros – realmente me ayuda a manejar todo mejor y es mucho menos estresante.
Marco B
usuario de iOS
LOS QUIZZES Y FLASHCARDS SON SÚPER ÚTILES Y AMO Knowunity AI. TAMBIÉN ES LITERALMENTE COMO CHATGPT PERO MÁS INTELIGENTE!! ME AYUDÓ CON MIS PROBLEMAS DE RÍMEL TAMBIÉN!! Y CON MIS MATERIAS REALES OBVIO! 😍😁😲🤑💗✨🎀😮
Sarah L
usuario de Android
Antes pasaba horas buscando en Google materiales escolares, pero ahora solo subo mis cosas a Knowunity y reviso los útiles resúmenes de otros – me siento mucho más seguro cuando me preparo para los exámenes.
Paul T
usuario de iOS
Nam Soobin
@namsoobin
Las aplicaciones de la derivada son fundamentales para comprender el comportamiento de funciones matemáticas. En este material estudiaremos cómo determinar valores máximos y mínimos, analizar la concavidad de una función y construir gráficas completas utilizando las derivadas como herramienta principal.

Acceso a todos los documentos
Mejora tus notas
Únete a millones de estudiantes
Cuando analizamos una función, es esencial identificar sus puntos más altos y más bajos. Un máximo absoluto ocurre cuando f(c) es mayor o igual que f(x) para todo x en el intervalo I. Por otro lado, un mínimo absoluto sucede cuando f(c) es menor o igual que f(x) para todo x en I. Estos valores se conocen como valores extremos.
Los extremos absolutos pueden ubicarse tanto en el interior del intervalo como en sus extremos. Por ejemplo, en un intervalo cerrado [a,b], los valores máximos o mínimos pueden estar en cualquier punto del intervalo. ¡Ojo! No todas las funciones tienen valores máximos o mínimos absolutos, especialmente aquellas definidas en intervalos abiertos.
Para funciones definidas en intervalos abiertos, es necesario analizar los límites en los extremos del intervalo para determinar si existen valores máximos o mínimos absolutos.
💡 Recuerda: Si una función es continua en un intervalo cerrado [a,b], el Teorema 2.1 nos garantiza que la función alcanzará tanto un máximo como un mínimo absoluto al menos una vez en ese intervalo.

Acceso a todos los documentos
Mejora tus notas
Únete a millones de estudiantes
¿Sabías que una montaña rusa tiene varios picos y valles? Similar a esto, las funciones pueden tener máximos y mínimos locales. Un máximo local ocurre cuando f(c) es mayor o igual que todos los valores cercanos de la función en algún intervalo abierto. Un mínimo local sucede cuando f(c) es menor o igual que todos los valores cercanos.
Los extremos locales siempre se encuentran en el interior del intervalo donde está definida la función. Si estamos trabajando en un intervalo cerrado [a,b], estos puntos deben estar en el intervalo abierto (a,b).
Es importante notar que los valores extremos absolutos y locales pueden estar en posiciones diferentes. Una función puede tener varios máximos y mínimos locales, pero solo un máximo y un mínimo absoluto en un intervalo dado.
🔍 Importante: La identificación de máximos y mínimos locales es fundamental para entender el comportamiento de una función y su gráfica, ya que estos puntos representan cambios significativos en la tendencia de la función.

Acceso a todos los documentos
Mejora tus notas
Únete a millones de estudiantes
La concavidad nos dice cómo "se curva" la gráfica de una función. Cuando una función tiene concavidad hacia arriba en un punto P(c,f(c)), la gráfica está por encima de la recta tangente en ese punto. En cambio, si tiene concavidad hacia abajo, la gráfica está por debajo de la recta tangente.
¿Cómo identificamos si la derivada nos da un máximo o un mínimo? Cuando la derivada cambia de signo positivo a negativo en un punto, tenemos un máximo local. Si cambia de negativo a positivo, tenemos un mínimo local.
Por ejemplo, en la función analizada, la derivada cambia de signo de positivo a negativo en x=-1, lo que indica un máximo local con valor f(-1)=25/6. En x=2, la derivada cambia de negativo a positivo, indicando un mínimo local con valor f(2)=-1/3.
📝 Visualiza esto: La concavidad hacia arriba se ve como una "U", mientras que la concavidad hacia abajo se ve como una "∩". Estos cambios en la concavidad son puntos clave para entender el comportamiento completo de una función.

Acceso a todos los documentos
Mejora tus notas
Únete a millones de estudiantes
¿Te has preguntado cómo podemos confirmar si un punto crítico es máximo o mínimo? El criterio de la segunda derivada nos ofrece una forma rápida y eficiente. Si f'(c)=0 y f''(c)<0, entonces f tiene un máximo local en c. Si f'(c)=0 y f''(c)>0, entonces f tiene un mínimo local en c.
Veamos un ejemplo con la función f(x)=2x³+3x²-120x+80. Primero, calculamos f'(x)=6x²+6x-120 e igualamos a cero para encontrar los puntos críticos: x=-5 y x=4.
Para x=-5, calculamos f''(-5)=12(-5)+6=-54. Como es negativa, tenemos un máximo local en x=-5 con valor f(-5)=505.
Para x=4, calculamos f''(4)=12(4)+6=54. Como es positiva, tenemos un mínimo local en x=4 con valor f(4)=-224.
🧠 Truco rápido: Cuando analices funciones, primero encuentra los puntos críticos y luego usa la segunda derivada para clasificarlos como máximos o mínimos. ¡Es más eficiente que usar intervalos de crecimiento!

Acceso a todos los documentos
Mejora tus notas
Únete a millones de estudiantes
La graficación completa de una función requiere varios pasos que ya hemos aprendido. Tomemos como ejemplo la función f(x)=/². Debemos:
Primero, determinar el dominio de la función, que en este caso es R-{1}, y encontrar sus raíces: x=-0.366 y x=1.366.
Segundo, analizar los puntos de discontinuidad. En x=1 tenemos una discontinuidad esencial porque el límite no existe.
Tercero, identificar las asíntotas verticales y horizontales. La función tiene una asíntota vertical en x=1 porque el límite tiende a infinito.
Cuarto, determinar los intervalos de monotonía (crecimiento y decrecimiento) mediante la primera derivada.
Después, localizar los puntos máximos y mínimos utilizando el criterio de la primera o segunda derivada.
🎯 Consejo: Para dibujar una gráfica completa, siempre sigue este orden sistemático: dominio, raíces, discontinuidades, asíntotas, monotonía, extremos y concavidad. ¡Es como armar un rompecabezas pieza por pieza!

Acceso a todos los documentos
Mejora tus notas
Únete a millones de estudiantes

Acceso a todos los documentos
Mejora tus notas
Únete a millones de estudiantes

Acceso a todos los documentos
Mejora tus notas
Únete a millones de estudiantes

Acceso a todos los documentos
Mejora tus notas
Únete a millones de estudiantes

Acceso a todos los documentos
Mejora tus notas
Únete a millones de estudiantes

Acceso a todos los documentos
Mejora tus notas
Únete a millones de estudiantes

Acceso a todos los documentos
Mejora tus notas
Únete a millones de estudiantes

Acceso a todos los documentos
Mejora tus notas
Únete a millones de estudiantes

Acceso a todos los documentos
Mejora tus notas
Únete a millones de estudiantes

Acceso a todos los documentos
Mejora tus notas
Únete a millones de estudiantes

Acceso a todos los documentos
Mejora tus notas
Únete a millones de estudiantes
Nuestro compañero de IA está específicamente adaptado a las necesidades de los estudiantes. Basándonos en los millones de contenidos que tenemos en la plataforma, podemos dar a los estudiantes respuestas realmente significativas y relevantes. Pero no se trata solo de respuestas, el compañero también guía a los estudiantes a través de sus retos de aprendizaje diarios, con planes de aprendizaje personalizados, cuestionarios o contenidos en el chat y una personalización del 100% basada en las habilidades y el desarrollo de los estudiantes.
Puedes descargar la app en Google Play Store y Apple App Store.
¡Sí lo es! Tienes acceso totalmente gratuito a todo el contenido de la app, puedes chatear con otros alumnos y recibir ayuda inmeditamente. Puedes ganar dinero utilizando la aplicación, que te permitirá acceder a determinadas funciones.
5
Herramientas Inteligentes NUEVO
Convierte estos apuntes en: ✓ 50+ Preguntas de Práctica ✓ Tarjetas de Estudio Interactivas ✓ Examen Completo de Práctica ✓ Esquemas de Ensayo
App Store
Google Play
La app es muy fácil de usar y está muy bien diseñada. Hasta ahora he encontrado todo lo que estaba buscando y he podido aprender mucho de las presentaciones. Definitivamente utilizaré la aplicación para un examen de clase. Y, por supuesto, también me sirve mucho de inspiración.
Pablo
usuario de iOS
Esta app es realmente genial. Hay tantos apuntes de clase y ayuda [...]. Tengo problemas con matemáticas, por ejemplo, y la aplicación tiene muchas opciones de ayuda. Gracias a Knowunity, he mejorado en mates. Se la recomiendo a todo el mundo.
Elena
usuaria de Android
Vaya, estoy realmente sorprendida. Acabo de probar la app porque la he visto anunciada muchas veces y me he quedado absolutamente alucinada. Esta app es LA AYUDA que quieres para el insti y, sobre todo, ofrece muchísimas cosas, como ejercicios y hojas informativas, que a mí personalmente me han sido MUY útiles.
Ana
usuaria de iOS
Solía tener dificultades para completar mis tareas a tiempo hasta que descubrí Knowunity, que no solo facilita subir mi propio contenido sino que también proporciona excelentes resúmenes que hacen mi trabajo más rápido y eficiente.
Thomas R
usuario de iOS
Siempre era un desafío encontrar toda la información importante para mis tareas – desde que comencé a usar Knowunity, puedo simplemente subir mi contenido y beneficiarme de los resúmenes de otros, lo que me ayuda mucho con la organización.
Lisa M
usuario de Android
A menudo sentía que no tenía suficiente visión general al estudiar, pero desde que comencé a usar Knowunity, eso ya no es un problema – subo mi contenido y siempre encuentro resúmenes útiles en la plataforma, lo que hace mi aprendizaje mucho más fácil.
David K
usuario de iOS
¡La app es buenísima! Sólo tengo que introducir el tema en la barra de búsqueda y recibo la respuesta muy rápido. No tengo que ver 10 vídeos de YouTube para entender algo, así que me ahorro tiempo. ¡Muy recomendable!
Sara
usuaria de Android
En el instituto era muy malo en matemáticas, pero gracias a la app, ahora saco mejores notas. Os agradezco mucho que hayáis creado la aplicación.
Roberto
usuario de Android
Solía ser muy difícil reunir toda la información para mis presentaciones. Pero desde que comencé a usar Knowunity, solo subo mis notas y encuentro increíbles resúmenes de otros – ¡hace mi estudio mucho más eficiente!
Julia S
usuario de Android
Siempre estaba estresado con todo el material de estudio, pero desde que comencé a usar Knowunity, subo mis cosas y reviso los geniales resúmenes de otros – realmente me ayuda a manejar todo mejor y es mucho menos estresante.
Marco B
usuario de iOS
LOS QUIZZES Y FLASHCARDS SON SÚPER ÚTILES Y AMO Knowunity AI. TAMBIÉN ES LITERALMENTE COMO CHATGPT PERO MÁS INTELIGENTE!! ME AYUDÓ CON MIS PROBLEMAS DE RÍMEL TAMBIÉN!! Y CON MIS MATERIAS REALES OBVIO! 😍😁😲🤑💗✨🎀😮
Sarah L
usuario de Android
Antes pasaba horas buscando en Google materiales escolares, pero ahora solo subo mis cosas a Knowunity y reviso los útiles resúmenes de otros – me siento mucho más seguro cuando me preparo para los exámenes.
Paul T
usuario de iOS
La app es muy fácil de usar y está muy bien diseñada. Hasta ahora he encontrado todo lo que estaba buscando y he podido aprender mucho de las presentaciones. Definitivamente utilizaré la aplicación para un examen de clase. Y, por supuesto, también me sirve mucho de inspiración.
Pablo
usuario de iOS
Esta app es realmente genial. Hay tantos apuntes de clase y ayuda [...]. Tengo problemas con matemáticas, por ejemplo, y la aplicación tiene muchas opciones de ayuda. Gracias a Knowunity, he mejorado en mates. Se la recomiendo a todo el mundo.
Elena
usuaria de Android
Vaya, estoy realmente sorprendida. Acabo de probar la app porque la he visto anunciada muchas veces y me he quedado absolutamente alucinada. Esta app es LA AYUDA que quieres para el insti y, sobre todo, ofrece muchísimas cosas, como ejercicios y hojas informativas, que a mí personalmente me han sido MUY útiles.
Ana
usuaria de iOS
Solía tener dificultades para completar mis tareas a tiempo hasta que descubrí Knowunity, que no solo facilita subir mi propio contenido sino que también proporciona excelentes resúmenes que hacen mi trabajo más rápido y eficiente.
Thomas R
usuario de iOS
Siempre era un desafío encontrar toda la información importante para mis tareas – desde que comencé a usar Knowunity, puedo simplemente subir mi contenido y beneficiarme de los resúmenes de otros, lo que me ayuda mucho con la organización.
Lisa M
usuario de Android
A menudo sentía que no tenía suficiente visión general al estudiar, pero desde que comencé a usar Knowunity, eso ya no es un problema – subo mi contenido y siempre encuentro resúmenes útiles en la plataforma, lo que hace mi aprendizaje mucho más fácil.
David K
usuario de iOS
¡La app es buenísima! Sólo tengo que introducir el tema en la barra de búsqueda y recibo la respuesta muy rápido. No tengo que ver 10 vídeos de YouTube para entender algo, así que me ahorro tiempo. ¡Muy recomendable!
Sara
usuaria de Android
En el instituto era muy malo en matemáticas, pero gracias a la app, ahora saco mejores notas. Os agradezco mucho que hayáis creado la aplicación.
Roberto
usuario de Android
Solía ser muy difícil reunir toda la información para mis presentaciones. Pero desde que comencé a usar Knowunity, solo subo mis notas y encuentro increíbles resúmenes de otros – ¡hace mi estudio mucho más eficiente!
Julia S
usuario de Android
Siempre estaba estresado con todo el material de estudio, pero desde que comencé a usar Knowunity, subo mis cosas y reviso los geniales resúmenes de otros – realmente me ayuda a manejar todo mejor y es mucho menos estresante.
Marco B
usuario de iOS
LOS QUIZZES Y FLASHCARDS SON SÚPER ÚTILES Y AMO Knowunity AI. TAMBIÉN ES LITERALMENTE COMO CHATGPT PERO MÁS INTELIGENTE!! ME AYUDÓ CON MIS PROBLEMAS DE RÍMEL TAMBIÉN!! Y CON MIS MATERIAS REALES OBVIO! 😍😁😲🤑💗✨🎀😮
Sarah L
usuario de Android
Antes pasaba horas buscando en Google materiales escolares, pero ahora solo subo mis cosas a Knowunity y reviso los útiles resúmenes de otros – me siento mucho más seguro cuando me preparo para los exámenes.
Paul T
usuario de iOS