El cálculo diferencial es una de las herramientas matemáticas más... Mostrar más
Inscríbete para ver los apuntes¡Es gratis!
Acceso a todos los documentos
Mejora tus notas
Únete a millones de estudiantes
Knowunity AI
Asignaturas
Triangle Congruence and Similarity Theorems
Triangle Properties and Classification
Linear Equations and Graphs
Geometric Angle Relationships
Trigonometric Functions and Identities
Equation Solving Techniques
Circle Geometry Fundamentals
Division Operations and Methods
Basic Differentiation Rules
Exponent and Logarithm Properties
Mostrar todos los temas
Human Organ Systems
Reproductive Cell Cycles
Biological Sciences Subdisciplines
Cellular Energy Metabolism
Autotrophic Energy Processes
Inheritance Patterns and Principles
Biomolecular Structure and Organization
Cell Cycle and Division Mechanics
Cellular Organization and Development
Biological Structural Organization
Mostrar todos los temas
Chemical Sciences and Applications
Atomic Structure and Composition
Molecular Electron Structure Representation
Atomic Electron Behavior
Matter Properties and Water
Mole Concept and Calculations
Gas Laws and Behavior
Periodic Table Organization
Chemical Thermodynamics Fundamentals
Chemical Bond Types and Properties
Mostrar todos los temas
European Renaissance and Enlightenment
European Cultural Movements 800-1920
American Revolution Era 1763-1797
American Civil War 1861-1865
Global Imperial Systems
Mongol and Chinese Dynasties
U.S. Presidents and World Leaders
Historical Sources and Documentation
World Wars Era and Impact
World Religious Systems
Mostrar todos los temas
Classic and Contemporary Novels
Literary Character Analysis
Rhetorical Theory and Practice
Classic Literary Narratives
Reading Analysis and Interpretation
Narrative Structure and Techniques
English Language Components
Influential English-Language Authors
Basic Sentence Structure
Narrative Voice and Perspective
Mostrar todos los temas
251
•
Actualizado Mar 14, 2026
•
Darcoz Asf
@darcozasf
El cálculo diferencial es una de las herramientas matemáticas más... Mostrar más










El cálculo diferencial es la rama de las matemáticas que estudia el cambio y la tasa a la que ocurren estos cambios. A través de él, podemos analizar cómo se comporta una función cuando sus variables cambian ligeramente.
En este curso, nos enfocaremos principalmente en las derivadas, que son la herramienta fundamental del cálculo diferencial para medir la variación instantánea.
💡 Nota importante: Dominar las derivadas te abrirá puertas para entender fenómenos en física (como el movimiento), economía (como tasas de crecimiento) e ingeniería (optimización de diseños).

El curso de cálculo diferencial está organizado para llevarte desde los conceptos básicos hasta aplicaciones más complejas. Comenzaremos con una introducción a las derivadas para entender qué son y por qué son importantes.
Luego, aprenderemos el método de los 4 pasos, una técnica fundamental para calcular derivadas desde su definición. Este método nos da la base teórica sólida para entender las derivadas.
Posteriormente, estudiaremos diferentes formas de la derivada de la tangente, una función trigonométrica clave. Esto incluye expresiones como , y .
🔍 Consejo: Mientras avances por el curso, asegúrate de practicar cada concepto con ejercicios. La práctica es clave para dominar el cálculo diferencial.

Las derivadas son el corazón del cálculo diferencial. Representan la razón de cambio instantáneo con la que varía una función cuando se modifica su variable independiente. Es un concepto local que se calcula como el límite de la rapidez de cambio media cuando el intervalo se vuelve infinitamente pequeño.
Para entenderlo mejor, piensa en un avión que vuela 4500 km en 6 horas (de 12:00 a 18:00). Su velocidad media es 750 km/h, pero su velocidad instantánea a las 15:20 podría ser diferente. Para calcularla, necesitamos tomar intervalos cada vez más pequeños alrededor de ese momento.
Geométricamente, la derivada en un punto corresponde a la pendiente de la recta tangente a la gráfica de la función en ese punto. Esta recta representa la mejor aproximación lineal de la función cerca del punto.
🚀 Aplicación real: Cuando conduces y el velocímetro marca 80 km/h, está mostrando la derivada de tu posición respecto al tiempo. ¡Las derivadas están en tu vida diaria!

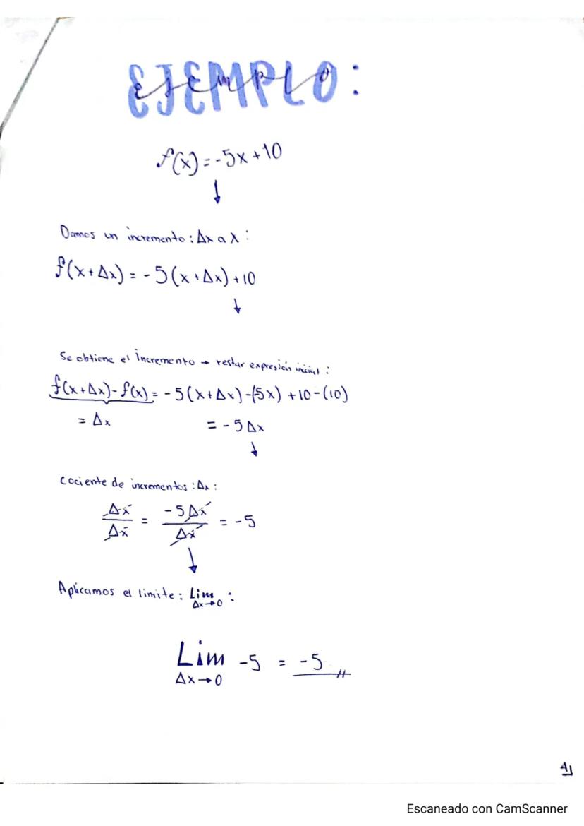
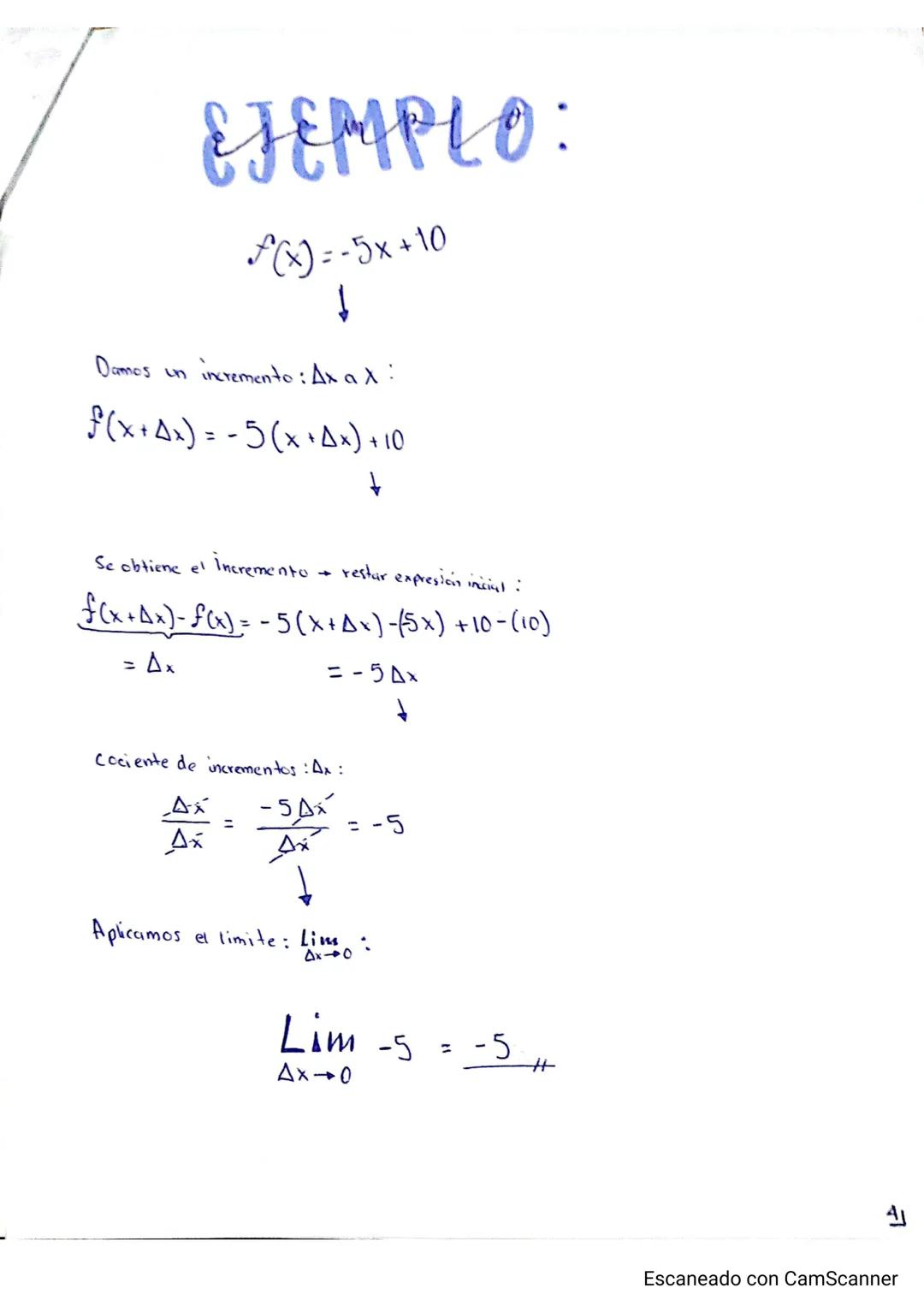
El método de los 4 pasos es una técnica fundamental para calcular derivadas utilizando su definición como límite del cociente de incrementos. Este método nos permite entender profundamente qué es una derivada antes de utilizar fórmulas.
El procedimiento se divide en estos pasos:
📝 Recuerda: Este método aplica directamente la definición formal de la derivada y, aunque puede parecer laborioso, construye una comprensión sólida que te ayudará con métodos más avanzados.

Veamos cómo aplicar el método de los 4 pasos para derivar la función :
Paso 1: Damos un incremento a la variable :
Paso 2: Calculamos el incremento de la función:
Paso 3: Formamos el cociente de incrementos:
Paso 4: Aplicamos el límite cuando :
💪 ¡Tú puedes!: Observa que el resultado es -5, que es el coeficiente de en la función original. Para funciones lineales, la derivada es siempre la pendiente de la recta.

La derivada de la función tangente es una de las fórmulas fundamentales en cálculo. Partimos de que y utilizamos la regla del cociente para derivar:
Simplificando:
Por lo tanto, la derivada de la tangente es:
Utilizando la regla de la cadena para una función compuesta, obtenemos:
🧩 Conexión importante: Esta fórmula relaciona dos funciones trigonométricas (tangente y secante). Memorízala bien porque aparecerá con frecuencia en problemas más complejos.

La derivada de la función tangente puede expresarse de varias maneras equivalentes, lo que nos da flexibilidad al resolver diferentes tipos de problemas:
Para , su derivada puede escribirse como:
Estas formas son matemáticamente equivalentes pero pueden ser más útiles en diferentes contextos de resolución de problemas.
🔄 Consejo práctico: Familiarízate con estas tres formas. Dependiendo del problema, una forma puede simplificar más el cálculo que las otras.

La recta tangente a una curva en un punto es una herramienta visual poderosa que nos permite aproximar localmente una función. Su pendiente es exactamente la derivada de la función en ese punto.
Matemáticamente, la pendiente de la recta tangente en el punto se expresa como:
Una vez que conocemos esta pendiente y el punto de tangencia, podemos escribir la ecuación de la recta tangente usando la forma punto-pendiente:
🌟 Aplicación práctica: La recta tangente es fundamental en aproximaciones lineales. Los ingenieros y científicos la usan para simplificar cálculos complejos cuando solo necesitan una aproximación cercana a un punto específico.

Nuestro compañero de IA está específicamente adaptado a las necesidades de los estudiantes. Basándonos en los millones de contenidos que tenemos en la plataforma, podemos dar a los estudiantes respuestas realmente significativas y relevantes. Pero no se trata solo de respuestas, el compañero también guía a los estudiantes a través de sus retos de aprendizaje diarios, con planes de aprendizaje personalizados, cuestionarios o contenidos en el chat y una personalización del 100% basada en las habilidades y el desarrollo de los estudiantes.
Puedes descargar la app en Google Play Store y Apple App Store.
¡Sí lo es! Tienes acceso totalmente gratuito a todo el contenido de la app, puedes chatear con otros alumnos y recibir ayuda inmeditamente. Puedes ganar dinero utilizando la aplicación, que te permitirá acceder a determinadas funciones.
Jerarquía de operaciones es el orden correcto en que se interpretan “expresiones aritméticas” que contienen varias operaciones. Indican cuáles deben hacerse primero, de modo que el resultado sea
App Store
Google Play
La app es muy fácil de usar y está muy bien diseñada. Hasta ahora he encontrado todo lo que estaba buscando y he podido aprender mucho de las presentaciones. Definitivamente utilizaré la aplicación para un examen de clase. Y, por supuesto, también me sirve mucho de inspiración.
Pablo
usuario de iOS
Esta app es realmente genial. Hay tantos apuntes de clase y ayuda [...]. Tengo problemas con matemáticas, por ejemplo, y la aplicación tiene muchas opciones de ayuda. Gracias a Knowunity, he mejorado en mates. Se la recomiendo a todo el mundo.
Elena
usuaria de Android
Vaya, estoy realmente sorprendida. Acabo de probar la app porque la he visto anunciada muchas veces y me he quedado absolutamente alucinada. Esta app es LA AYUDA que quieres para el insti y, sobre todo, ofrece muchísimas cosas, como ejercicios y hojas informativas, que a mí personalmente me han sido MUY útiles.
Ana
usuaria de iOS
Solía tener dificultades para completar mis tareas a tiempo hasta que descubrí Knowunity, que no solo facilita subir mi propio contenido sino que también proporciona excelentes resúmenes que hacen mi trabajo más rápido y eficiente.
Thomas R
usuario de iOS
Siempre era un desafío encontrar toda la información importante para mis tareas – desde que comencé a usar Knowunity, puedo simplemente subir mi contenido y beneficiarme de los resúmenes de otros, lo que me ayuda mucho con la organización.
Lisa M
usuario de Android
A menudo sentía que no tenía suficiente visión general al estudiar, pero desde que comencé a usar Knowunity, eso ya no es un problema – subo mi contenido y siempre encuentro resúmenes útiles en la plataforma, lo que hace mi aprendizaje mucho más fácil.
David K
usuario de iOS
¡La app es buenísima! Sólo tengo que introducir el tema en la barra de búsqueda y recibo la respuesta muy rápido. No tengo que ver 10 vídeos de YouTube para entender algo, así que me ahorro tiempo. ¡Muy recomendable!
Sara
usuaria de Android
En el instituto era muy malo en matemáticas, pero gracias a la app, ahora saco mejores notas. Os agradezco mucho que hayáis creado la aplicación.
Roberto
usuario de Android
Solía ser muy difícil reunir toda la información para mis presentaciones. Pero desde que comencé a usar Knowunity, solo subo mis notas y encuentro increíbles resúmenes de otros – ¡hace mi estudio mucho más eficiente!
Julia S
usuario de Android
Siempre estaba estresado con todo el material de estudio, pero desde que comencé a usar Knowunity, subo mis cosas y reviso los geniales resúmenes de otros – realmente me ayuda a manejar todo mejor y es mucho menos estresante.
Marco B
usuario de iOS
LOS QUIZZES Y FLASHCARDS SON SÚPER ÚTILES Y AMO Knowunity AI. TAMBIÉN ES LITERALMENTE COMO CHATGPT PERO MÁS INTELIGENTE!! ME AYUDÓ CON MIS PROBLEMAS DE RÍMEL TAMBIÉN!! Y CON MIS MATERIAS REALES OBVIO! 😍😁😲🤑💗✨🎀😮
Sarah L
usuario de Android
Antes pasaba horas buscando en Google materiales escolares, pero ahora solo subo mis cosas a Knowunity y reviso los útiles resúmenes de otros – me siento mucho más seguro cuando me preparo para los exámenes.
Paul T
usuario de iOS
La app es muy fácil de usar y está muy bien diseñada. Hasta ahora he encontrado todo lo que estaba buscando y he podido aprender mucho de las presentaciones. Definitivamente utilizaré la aplicación para un examen de clase. Y, por supuesto, también me sirve mucho de inspiración.
Pablo
usuario de iOS
Esta app es realmente genial. Hay tantos apuntes de clase y ayuda [...]. Tengo problemas con matemáticas, por ejemplo, y la aplicación tiene muchas opciones de ayuda. Gracias a Knowunity, he mejorado en mates. Se la recomiendo a todo el mundo.
Elena
usuaria de Android
Vaya, estoy realmente sorprendida. Acabo de probar la app porque la he visto anunciada muchas veces y me he quedado absolutamente alucinada. Esta app es LA AYUDA que quieres para el insti y, sobre todo, ofrece muchísimas cosas, como ejercicios y hojas informativas, que a mí personalmente me han sido MUY útiles.
Ana
usuaria de iOS
Solía tener dificultades para completar mis tareas a tiempo hasta que descubrí Knowunity, que no solo facilita subir mi propio contenido sino que también proporciona excelentes resúmenes que hacen mi trabajo más rápido y eficiente.
Thomas R
usuario de iOS
Siempre era un desafío encontrar toda la información importante para mis tareas – desde que comencé a usar Knowunity, puedo simplemente subir mi contenido y beneficiarme de los resúmenes de otros, lo que me ayuda mucho con la organización.
Lisa M
usuario de Android
A menudo sentía que no tenía suficiente visión general al estudiar, pero desde que comencé a usar Knowunity, eso ya no es un problema – subo mi contenido y siempre encuentro resúmenes útiles en la plataforma, lo que hace mi aprendizaje mucho más fácil.
David K
usuario de iOS
¡La app es buenísima! Sólo tengo que introducir el tema en la barra de búsqueda y recibo la respuesta muy rápido. No tengo que ver 10 vídeos de YouTube para entender algo, así que me ahorro tiempo. ¡Muy recomendable!
Sara
usuaria de Android
En el instituto era muy malo en matemáticas, pero gracias a la app, ahora saco mejores notas. Os agradezco mucho que hayáis creado la aplicación.
Roberto
usuario de Android
Solía ser muy difícil reunir toda la información para mis presentaciones. Pero desde que comencé a usar Knowunity, solo subo mis notas y encuentro increíbles resúmenes de otros – ¡hace mi estudio mucho más eficiente!
Julia S
usuario de Android
Siempre estaba estresado con todo el material de estudio, pero desde que comencé a usar Knowunity, subo mis cosas y reviso los geniales resúmenes de otros – realmente me ayuda a manejar todo mejor y es mucho menos estresante.
Marco B
usuario de iOS
LOS QUIZZES Y FLASHCARDS SON SÚPER ÚTILES Y AMO Knowunity AI. TAMBIÉN ES LITERALMENTE COMO CHATGPT PERO MÁS INTELIGENTE!! ME AYUDÓ CON MIS PROBLEMAS DE RÍMEL TAMBIÉN!! Y CON MIS MATERIAS REALES OBVIO! 😍😁😲🤑💗✨🎀😮
Sarah L
usuario de Android
Antes pasaba horas buscando en Google materiales escolares, pero ahora solo subo mis cosas a Knowunity y reviso los útiles resúmenes de otros – me siento mucho más seguro cuando me preparo para los exámenes.
Paul T
usuario de iOS
Darcoz Asf
@darcozasf
El cálculo diferencial es una de las herramientas matemáticas más poderosas que usamos para entender cómo cambian las cosas. Las derivadas, concepto central de este tema, nos ayudan a calcular la razón de cambio instantáneo de una función. ¡Son fundamentales... Mostrar más

Acceso a todos los documentos
Mejora tus notas
Únete a millones de estudiantes
El cálculo diferencial es la rama de las matemáticas que estudia el cambio y la tasa a la que ocurren estos cambios. A través de él, podemos analizar cómo se comporta una función cuando sus variables cambian ligeramente.
En este curso, nos enfocaremos principalmente en las derivadas, que son la herramienta fundamental del cálculo diferencial para medir la variación instantánea.
💡 Nota importante: Dominar las derivadas te abrirá puertas para entender fenómenos en física (como el movimiento), economía (como tasas de crecimiento) e ingeniería (optimización de diseños).

Acceso a todos los documentos
Mejora tus notas
Únete a millones de estudiantes
El curso de cálculo diferencial está organizado para llevarte desde los conceptos básicos hasta aplicaciones más complejas. Comenzaremos con una introducción a las derivadas para entender qué son y por qué son importantes.
Luego, aprenderemos el método de los 4 pasos, una técnica fundamental para calcular derivadas desde su definición. Este método nos da la base teórica sólida para entender las derivadas.
Posteriormente, estudiaremos diferentes formas de la derivada de la tangente, una función trigonométrica clave. Esto incluye expresiones como , y .
🔍 Consejo: Mientras avances por el curso, asegúrate de practicar cada concepto con ejercicios. La práctica es clave para dominar el cálculo diferencial.

Acceso a todos los documentos
Mejora tus notas
Únete a millones de estudiantes
Las derivadas son el corazón del cálculo diferencial. Representan la razón de cambio instantáneo con la que varía una función cuando se modifica su variable independiente. Es un concepto local que se calcula como el límite de la rapidez de cambio media cuando el intervalo se vuelve infinitamente pequeño.
Para entenderlo mejor, piensa en un avión que vuela 4500 km en 6 horas (de 12:00 a 18:00). Su velocidad media es 750 km/h, pero su velocidad instantánea a las 15:20 podría ser diferente. Para calcularla, necesitamos tomar intervalos cada vez más pequeños alrededor de ese momento.
Geométricamente, la derivada en un punto corresponde a la pendiente de la recta tangente a la gráfica de la función en ese punto. Esta recta representa la mejor aproximación lineal de la función cerca del punto.
🚀 Aplicación real: Cuando conduces y el velocímetro marca 80 km/h, está mostrando la derivada de tu posición respecto al tiempo. ¡Las derivadas están en tu vida diaria!

Acceso a todos los documentos
Mejora tus notas
Únete a millones de estudiantes
El método de los 4 pasos es una técnica fundamental para calcular derivadas utilizando su definición como límite del cociente de incrementos. Este método nos permite entender profundamente qué es una derivada antes de utilizar fórmulas.
El procedimiento se divide en estos pasos:
📝 Recuerda: Este método aplica directamente la definición formal de la derivada y, aunque puede parecer laborioso, construye una comprensión sólida que te ayudará con métodos más avanzados.

Acceso a todos los documentos
Mejora tus notas
Únete a millones de estudiantes
Veamos cómo aplicar el método de los 4 pasos para derivar la función :
Paso 1: Damos un incremento a la variable :
Paso 2: Calculamos el incremento de la función:
Paso 3: Formamos el cociente de incrementos:
Paso 4: Aplicamos el límite cuando :
💪 ¡Tú puedes!: Observa que el resultado es -5, que es el coeficiente de en la función original. Para funciones lineales, la derivada es siempre la pendiente de la recta.

Acceso a todos los documentos
Mejora tus notas
Únete a millones de estudiantes
La derivada de la función tangente es una de las fórmulas fundamentales en cálculo. Partimos de que y utilizamos la regla del cociente para derivar:
Simplificando:
Por lo tanto, la derivada de la tangente es:
Utilizando la regla de la cadena para una función compuesta, obtenemos:
🧩 Conexión importante: Esta fórmula relaciona dos funciones trigonométricas (tangente y secante). Memorízala bien porque aparecerá con frecuencia en problemas más complejos.

Acceso a todos los documentos
Mejora tus notas
Únete a millones de estudiantes
La derivada de la función tangente puede expresarse de varias maneras equivalentes, lo que nos da flexibilidad al resolver diferentes tipos de problemas:
Para , su derivada puede escribirse como:
Estas formas son matemáticamente equivalentes pero pueden ser más útiles en diferentes contextos de resolución de problemas.
🔄 Consejo práctico: Familiarízate con estas tres formas. Dependiendo del problema, una forma puede simplificar más el cálculo que las otras.

Acceso a todos los documentos
Mejora tus notas
Únete a millones de estudiantes
La recta tangente a una curva en un punto es una herramienta visual poderosa que nos permite aproximar localmente una función. Su pendiente es exactamente la derivada de la función en ese punto.
Matemáticamente, la pendiente de la recta tangente en el punto se expresa como:
Una vez que conocemos esta pendiente y el punto de tangencia, podemos escribir la ecuación de la recta tangente usando la forma punto-pendiente:
🌟 Aplicación práctica: La recta tangente es fundamental en aproximaciones lineales. Los ingenieros y científicos la usan para simplificar cálculos complejos cuando solo necesitan una aproximación cercana a un punto específico.

Acceso a todos los documentos
Mejora tus notas
Únete a millones de estudiantes
Nuestro compañero de IA está específicamente adaptado a las necesidades de los estudiantes. Basándonos en los millones de contenidos que tenemos en la plataforma, podemos dar a los estudiantes respuestas realmente significativas y relevantes. Pero no se trata solo de respuestas, el compañero también guía a los estudiantes a través de sus retos de aprendizaje diarios, con planes de aprendizaje personalizados, cuestionarios o contenidos en el chat y una personalización del 100% basada en las habilidades y el desarrollo de los estudiantes.
Puedes descargar la app en Google Play Store y Apple App Store.
¡Sí lo es! Tienes acceso totalmente gratuito a todo el contenido de la app, puedes chatear con otros alumnos y recibir ayuda inmeditamente. Puedes ganar dinero utilizando la aplicación, que te permitirá acceder a determinadas funciones.
4
Herramientas Inteligentes NUEVO
Convierte estos apuntes en: ✓ 50+ Preguntas de Práctica ✓ Tarjetas de Estudio Interactivas ✓ Examen Completo de Práctica ✓ Esquemas de Ensayo
Jerarquía de operaciones es el orden correcto en que se interpretan “expresiones aritméticas” que contienen varias operaciones. Indican cuáles deben hacerse primero, de modo que el resultado sea
App Store
Google Play
La app es muy fácil de usar y está muy bien diseñada. Hasta ahora he encontrado todo lo que estaba buscando y he podido aprender mucho de las presentaciones. Definitivamente utilizaré la aplicación para un examen de clase. Y, por supuesto, también me sirve mucho de inspiración.
Pablo
usuario de iOS
Esta app es realmente genial. Hay tantos apuntes de clase y ayuda [...]. Tengo problemas con matemáticas, por ejemplo, y la aplicación tiene muchas opciones de ayuda. Gracias a Knowunity, he mejorado en mates. Se la recomiendo a todo el mundo.
Elena
usuaria de Android
Vaya, estoy realmente sorprendida. Acabo de probar la app porque la he visto anunciada muchas veces y me he quedado absolutamente alucinada. Esta app es LA AYUDA que quieres para el insti y, sobre todo, ofrece muchísimas cosas, como ejercicios y hojas informativas, que a mí personalmente me han sido MUY útiles.
Ana
usuaria de iOS
Solía tener dificultades para completar mis tareas a tiempo hasta que descubrí Knowunity, que no solo facilita subir mi propio contenido sino que también proporciona excelentes resúmenes que hacen mi trabajo más rápido y eficiente.
Thomas R
usuario de iOS
Siempre era un desafío encontrar toda la información importante para mis tareas – desde que comencé a usar Knowunity, puedo simplemente subir mi contenido y beneficiarme de los resúmenes de otros, lo que me ayuda mucho con la organización.
Lisa M
usuario de Android
A menudo sentía que no tenía suficiente visión general al estudiar, pero desde que comencé a usar Knowunity, eso ya no es un problema – subo mi contenido y siempre encuentro resúmenes útiles en la plataforma, lo que hace mi aprendizaje mucho más fácil.
David K
usuario de iOS
¡La app es buenísima! Sólo tengo que introducir el tema en la barra de búsqueda y recibo la respuesta muy rápido. No tengo que ver 10 vídeos de YouTube para entender algo, así que me ahorro tiempo. ¡Muy recomendable!
Sara
usuaria de Android
En el instituto era muy malo en matemáticas, pero gracias a la app, ahora saco mejores notas. Os agradezco mucho que hayáis creado la aplicación.
Roberto
usuario de Android
Solía ser muy difícil reunir toda la información para mis presentaciones. Pero desde que comencé a usar Knowunity, solo subo mis notas y encuentro increíbles resúmenes de otros – ¡hace mi estudio mucho más eficiente!
Julia S
usuario de Android
Siempre estaba estresado con todo el material de estudio, pero desde que comencé a usar Knowunity, subo mis cosas y reviso los geniales resúmenes de otros – realmente me ayuda a manejar todo mejor y es mucho menos estresante.
Marco B
usuario de iOS
LOS QUIZZES Y FLASHCARDS SON SÚPER ÚTILES Y AMO Knowunity AI. TAMBIÉN ES LITERALMENTE COMO CHATGPT PERO MÁS INTELIGENTE!! ME AYUDÓ CON MIS PROBLEMAS DE RÍMEL TAMBIÉN!! Y CON MIS MATERIAS REALES OBVIO! 😍😁😲🤑💗✨🎀😮
Sarah L
usuario de Android
Antes pasaba horas buscando en Google materiales escolares, pero ahora solo subo mis cosas a Knowunity y reviso los útiles resúmenes de otros – me siento mucho más seguro cuando me preparo para los exámenes.
Paul T
usuario de iOS
La app es muy fácil de usar y está muy bien diseñada. Hasta ahora he encontrado todo lo que estaba buscando y he podido aprender mucho de las presentaciones. Definitivamente utilizaré la aplicación para un examen de clase. Y, por supuesto, también me sirve mucho de inspiración.
Pablo
usuario de iOS
Esta app es realmente genial. Hay tantos apuntes de clase y ayuda [...]. Tengo problemas con matemáticas, por ejemplo, y la aplicación tiene muchas opciones de ayuda. Gracias a Knowunity, he mejorado en mates. Se la recomiendo a todo el mundo.
Elena
usuaria de Android
Vaya, estoy realmente sorprendida. Acabo de probar la app porque la he visto anunciada muchas veces y me he quedado absolutamente alucinada. Esta app es LA AYUDA que quieres para el insti y, sobre todo, ofrece muchísimas cosas, como ejercicios y hojas informativas, que a mí personalmente me han sido MUY útiles.
Ana
usuaria de iOS
Solía tener dificultades para completar mis tareas a tiempo hasta que descubrí Knowunity, que no solo facilita subir mi propio contenido sino que también proporciona excelentes resúmenes que hacen mi trabajo más rápido y eficiente.
Thomas R
usuario de iOS
Siempre era un desafío encontrar toda la información importante para mis tareas – desde que comencé a usar Knowunity, puedo simplemente subir mi contenido y beneficiarme de los resúmenes de otros, lo que me ayuda mucho con la organización.
Lisa M
usuario de Android
A menudo sentía que no tenía suficiente visión general al estudiar, pero desde que comencé a usar Knowunity, eso ya no es un problema – subo mi contenido y siempre encuentro resúmenes útiles en la plataforma, lo que hace mi aprendizaje mucho más fácil.
David K
usuario de iOS
¡La app es buenísima! Sólo tengo que introducir el tema en la barra de búsqueda y recibo la respuesta muy rápido. No tengo que ver 10 vídeos de YouTube para entender algo, así que me ahorro tiempo. ¡Muy recomendable!
Sara
usuaria de Android
En el instituto era muy malo en matemáticas, pero gracias a la app, ahora saco mejores notas. Os agradezco mucho que hayáis creado la aplicación.
Roberto
usuario de Android
Solía ser muy difícil reunir toda la información para mis presentaciones. Pero desde que comencé a usar Knowunity, solo subo mis notas y encuentro increíbles resúmenes de otros – ¡hace mi estudio mucho más eficiente!
Julia S
usuario de Android
Siempre estaba estresado con todo el material de estudio, pero desde que comencé a usar Knowunity, subo mis cosas y reviso los geniales resúmenes de otros – realmente me ayuda a manejar todo mejor y es mucho menos estresante.
Marco B
usuario de iOS
LOS QUIZZES Y FLASHCARDS SON SÚPER ÚTILES Y AMO Knowunity AI. TAMBIÉN ES LITERALMENTE COMO CHATGPT PERO MÁS INTELIGENTE!! ME AYUDÓ CON MIS PROBLEMAS DE RÍMEL TAMBIÉN!! Y CON MIS MATERIAS REALES OBVIO! 😍😁😲🤑💗✨🎀😮
Sarah L
usuario de Android
Antes pasaba horas buscando en Google materiales escolares, pero ahora solo subo mis cosas a Knowunity y reviso los útiles resúmenes de otros – me siento mucho más seguro cuando me preparo para los exámenes.
Paul T
usuario de iOS