¿Sabías que las plantas y hongos son mucho más complejos... Mostrar más
Inscríbete para ver los apuntes¡Es gratis!
Acceso a todos los documentos
Mejora tus notas
Únete a millones de estudiantes
Knowunity AI
Asignaturas
Triangle Congruence and Similarity Theorems
Triangle Properties and Classification
Linear Equations and Graphs
Geometric Angle Relationships
Trigonometric Functions and Identities
Equation Solving Techniques
Circle Geometry Fundamentals
Division Operations and Methods
Basic Differentiation Rules
Exponent and Logarithm Properties
Mostrar todos los temas
Human Organ Systems
Reproductive Cell Cycles
Biological Sciences Subdisciplines
Cellular Energy Metabolism
Autotrophic Energy Processes
Inheritance Patterns and Principles
Biomolecular Structure and Organization
Cell Cycle and Division Mechanics
Cellular Organization and Development
Biological Structural Organization
Mostrar todos los temas
Chemical Sciences and Applications
Atomic Structure and Composition
Molecular Electron Structure Representation
Atomic Electron Behavior
Matter Properties and Water
Mole Concept and Calculations
Gas Laws and Behavior
Periodic Table Organization
Chemical Thermodynamics Fundamentals
Chemical Bond Types and Properties
Mostrar todos los temas
European Renaissance and Enlightenment
European Cultural Movements 800-1920
American Revolution Era 1763-1797
American Civil War 1861-1865
Global Imperial Systems
Mongol and Chinese Dynasties
U.S. Presidents and World Leaders
Historical Sources and Documentation
World Wars Era and Impact
World Religious Systems
Mostrar todos los temas
Classic and Contemporary Novels
Literary Character Analysis
Rhetorical Theory and Practice
Classic Literary Narratives
Reading Analysis and Interpretation
Narrative Structure and Techniques
English Language Components
Influential English-Language Authors
Basic Sentence Structure
Narrative Voice and Perspective
Mostrar todos los temas
118
•
Actualizado Mar 28, 2026
•
Kendra Alexandra Garcia Huerta
@kendraalexandra
¿Sabías que las plantas y hongos son mucho más complejos... Mostrar más


































Las plantas y hongos representan millones de especies diferentes que forman parte del reino eukarya. Imagínate que desde las secoyas gigantes de 84 metros de altura hasta los musgos más pequeños, todos comparten características fascinantes que los mantienen vivos y prósperos.
Las plantas se clasifican de varias formas útiles para entenderlas mejor. Por su tamaño tenemos árboles, arbustos y plantas herbáceas. Por su forma de reproducirse las dividimos en criptógamas (sin flores como musgos y helechos) y fanerógamas (con flores).
La evolución de las plantas comenzó con organismos unicelulares sin núcleo (procariotas) que evolucionaron hacia seres pluricelulares con células eucariotas. Este cambio fue clave para generar toda la biodiversidad vegetal que conocemos hoy.
Dato curioso: Los helechos que ves hoy eran gigantescos hace 300 millones de años y formaban bosques enteros. Sus restos enterrados se convirtieron en el carbón que usamos actualmente.

El estudio de plantas y hongos abarca cinco áreas principales que se conectan entre sí. El origen nos explica de dónde vienen, mientras que el transporte y nutrición revelan cómo obtienen y distribuyen sus alimentos.
La reproducción vegetal incluye desde esporas hasta flores complejas. La coordinación celular permite que diferentes partes de la planta trabajen juntas como un equipo perfecto.
Las plantas medicinales y las características de los hongos completan este panorama, mostrando la importancia práctica de estos organismos en nuestra vida diaria.
Consejo de estudio: Antes de continuar, repasa las partes de una flor, el concepto de metabolismo y la importancia de la nutrición. ¡Te ayudarán mucho!

Los árboles son las plantas más impresionantes del planeta, con troncos únicos que los distinguen de otros vegetales. Algunos pueden vivir más de 3,500 años, lo que los convierte en testigos de la historia.
Las plantas criptógamas como musgos, helechos y algas fueron las primeras en aparecer en la Tierra. Se reproducen por esporas que necesitan nadar en agua, por eso siempre las encuentras en lugares húmedos y sombreados.
Los musgos son las plantas terrestres más primitivas y sencillas. Viven en bosques húmedos tapizando cortezas y rocas, siempre evitando el sol directo porque no lo toleran.
Los helechos también son vegetales antiguos que dominaron la Tierra hace millones de años. Necesitan ambientes frescos y húmedos para sobrevivir, igual que sus ancestros prehistóricos.
Conexión con tu vida: La próxima vez que veas musgo en un árbol o helechos en un jardín, recuerda que estás viendo a algunos de los seres vivos más antiguos del planeta.

Las flores son estructuras increíblemente organizadas que consisten en cuatro partes principales: sépalos, pétalos, estambres y carpelos. Cada una de estas partes es evolutivamente una hoja que se modificó para cumplir una función específica.
En las monocotiledóneas, las piezas florales aparecen en múltiplos de 3, mientras que en las dicotiledóneas lo hacen en múltiplos de 4 o 5. Esta diferencia te ayuda a identificar qué tipo de planta estás viendo.
Una flor completa tiene las cuatro partes, y si además contiene tanto estructuras masculinas (estambres) como femeninas (carpelos), se llama flor perfecta. Sin embargo, algunas especies tienen flores separadas por sexo.
Las plantas monoicas tienen flores masculinas y femeninas en la misma planta, mientras que las dioicas las tienen en plantas completamente separadas.
Aplicación práctica: Observa las flores de tu jardín o parque cercano. ¿Puedes identificar los pétalos, estambres y demás partes? ¡Es más fácil de lo que crees!

¿Cómo llegan los nutrientes a todas las células de una planta gigante? A diferencia de los animales que somos heterótrofos (comemos otros seres vivos), las plantas son autótrofas y fabrican su propio alimento mediante la fotosíntesis.
La fotosíntesis usa la luz solar como fuente de energía para crear todas las moléculas orgánicas que las plantas necesitan. Además, deben absorber minerales del suelo a través de sus raíces.
Como no todas las células están en contacto directo con los nutrientes, las plantas desarrollaron una división del trabajo entre sus células, formando órganos especializados en diferentes funciones.
La teoría de transporte explica cómo las plantas mueven agua y nutrientes desde las raíces hasta las hojas más altas, incluso en árboles gigantescos.
Dato impresionante: Una planta madura de maíz puede transpirar 16 litros de agua por semana. ¡Es como si bebiera constantemente!

Las plantas desarrollaron dos tejidos conductores especializados para transportar diferentes materiales. El xilema transporta agua e iones hacia arriba desde las raíces, mientras que el floema lleva materia orgánica de las partes verdes a todos los órganos.
El xilema está formado por células muertas y alargadas sin contenido citoplasmático, lo que facilita el transporte. Incluye traqueidas (de milímetros de largo) y miembros de vasos (de centímetros a metros de largo).
La teoría de cohesión-adhesión explica cómo sube el agua. Las moléculas de agua se mantienen unidas por puentes de hidrógeno (cohesión) y se adhieren a las paredes del xilema (adhesión), formando una cadena continua desde las raíces hasta las hojas.
La transpiración en las hojas crea una fuerza que "tira" de toda la columna de agua hacia arriba, como cuando tomas un refresco con popote. Los estomas y sus células oclusivas regulan este proceso.
Analogía útil: El sistema de transporte de las plantas funciona exactamente como cuando tomas un refresco con popote: la succión de arriba jala todo el líquido hacia tu boca.

El mecanismo de transporte y nutrición vegetal sigue un orden específico que puedes memorizar fácilmente. Todo comienza con el ingreso de agua e iones a través de los pelos radiculares y la epidermis de la raíz.
El agua se dirige hacia las células y espacios intercelulares de la corteza radicular. La cinta de Caspary en la endodermis actúa como filtro selectivo, permitiendo el paso de iones necesarios y bloqueando los dañinos.
Una vez filtrada, el agua y los iones difunden hacia los canales conductores del xilema y ascienden hasta todos los órganos de la planta. Desde el xilema, se distribuyen al mesófilo de las hojas.
Lo más impresionante es que este sistema no requiere energía biológica. Solo usa la energía solar para evaporar agua en los estomas, creando la fuerza que mueve toda la columna de agua.
Reflexión: Es increíble pensar que los árboles más altos del mundo mueven agua desde sus raíces hasta la copa usando únicamente la energía del sol.

Mientras el xilema se encarga del agua, el floema transporta los azúcares que las plantas fabrican mediante fotosíntesis. Este sistema es bidireccional: puede mover nutrientes hacia arriba o hacia abajo según las necesidades.
El floema incluye elementos cribosos (células tubulares), células acompañantes y parénquima vascular. Los elementos cribosos pierden su núcleo pero permanecen vivos, permitiendo el flujo de nutrientes.
El transporte en el floema funciona por presión osmótica. El azúcar se mueve desde una fuente (generalmente hojas) hacia un sumidero (como raíces) donde se convierte en almidón o se metaboliza.
Este proceso requiere energía biológica en dos etapas: cuando el azúcar entra al floema y cuando sale de él. La presión osmótica creada por el azúcar hace que la savia elaborada fluya hacia zonas de menor presión.
Aplicación práctica: Cuando comes una zanahoria dulce, estás consumiendo los azúcares que la planta transportó y almacenó en su raíz a través del floema.

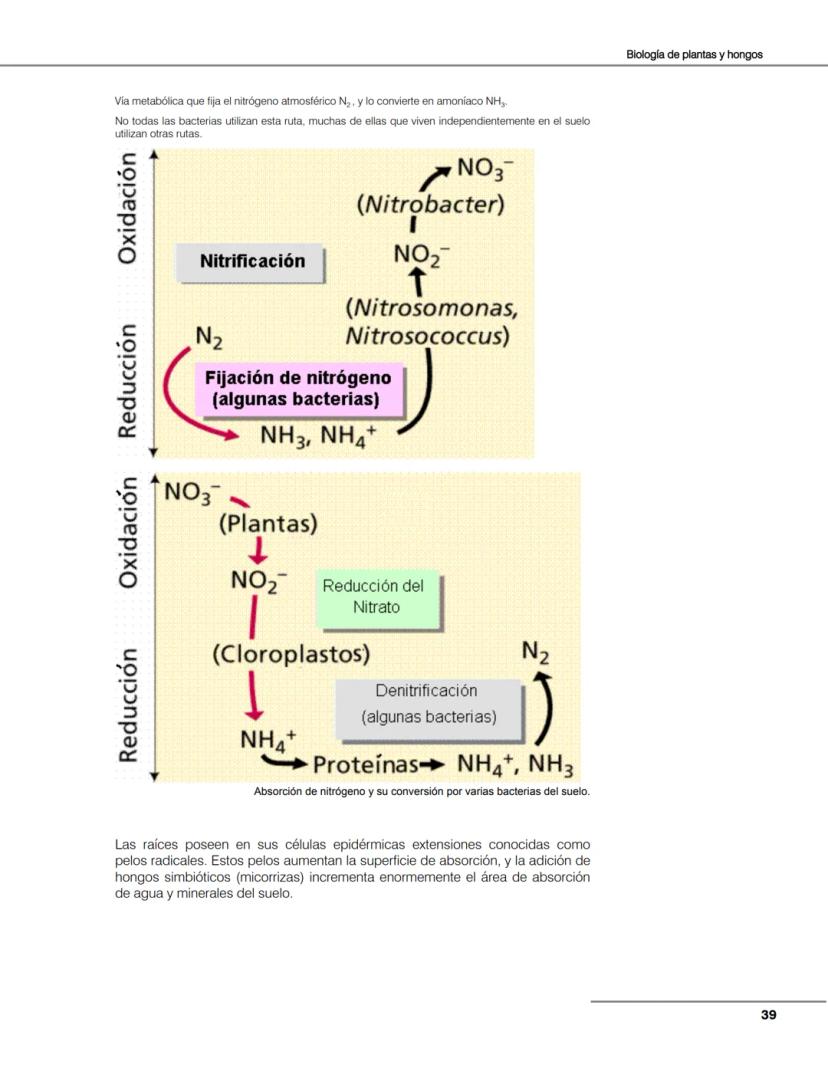
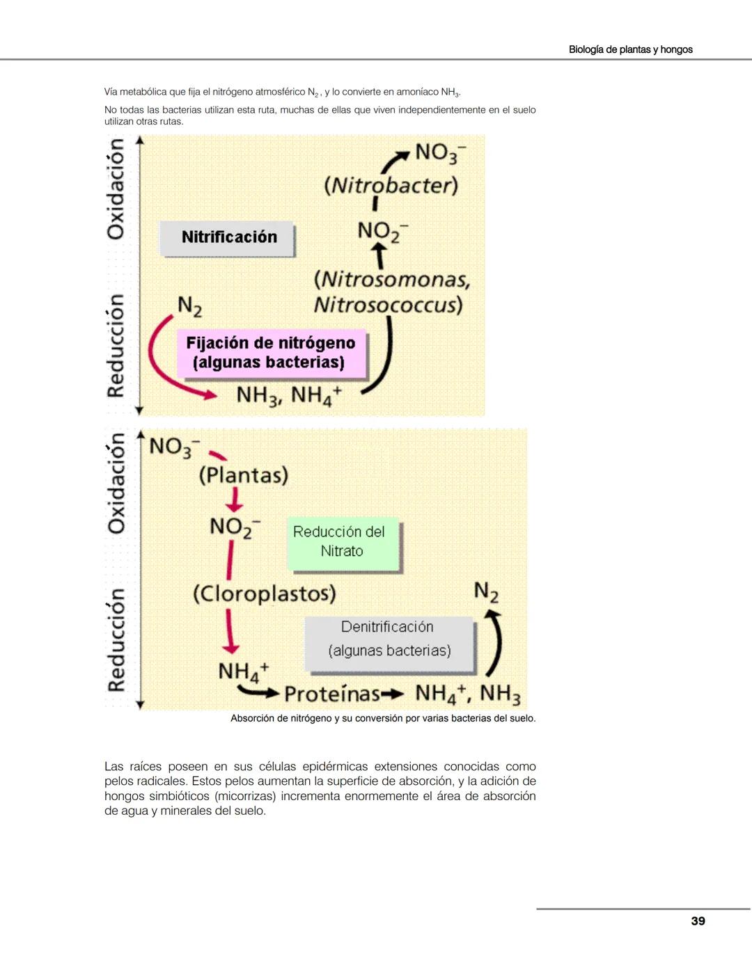
Las plantas necesitan nitrógeno para construir proteínas y nucleótidos, pero no pueden usar directamente el nitrógeno atmosférico. Por eso desarrollaron relaciones simbióticas con bacterias especializadas.
Las bacterias fijadoras de nitrógeno como Rhizobium viven en nódulos en las raíces de ciertas plantas, especialmente leguminosas. Estas bacterias convierten el nitrógeno atmosférico en formas que las plantas pueden usar.
Es una relación de beneficio mutuo: las plantas proporcionan espacio y nutrientes a las bacterias, mientras que estas les "pagan el alquiler" con nitrógeno orgánico utilizable.
Este proceso de fijación de nitrógeno es fundamental para la agricultura y los ecosistemas naturales, ya que enriquece el suelo con nutrientes esenciales para el crecimiento vegetal.
Conexión ecológica: Las leguminosas como frijoles, chícharos y lentejas mejoran naturalmente la fertilidad del suelo gracias a sus bacterias simbióticas. ¡Por eso son tan importantes en la agricultura sustentable!
























Nuestro compañero de IA está específicamente adaptado a las necesidades de los estudiantes. Basándonos en los millones de contenidos que tenemos en la plataforma, podemos dar a los estudiantes respuestas realmente significativas y relevantes. Pero no se trata solo de respuestas, el compañero también guía a los estudiantes a través de sus retos de aprendizaje diarios, con planes de aprendizaje personalizados, cuestionarios o contenidos en el chat y una personalización del 100% basada en las habilidades y el desarrollo de los estudiantes.
Puedes descargar la app en Google Play Store y Apple App Store.
¡Sí lo es! Tienes acceso totalmente gratuito a todo el contenido de la app, puedes chatear con otros alumnos y recibir ayuda inmeditamente. Puedes ganar dinero utilizando la aplicación, que te permitirá acceder a determinadas funciones.
App Store
Google Play
La app es muy fácil de usar y está muy bien diseñada. Hasta ahora he encontrado todo lo que estaba buscando y he podido aprender mucho de las presentaciones. Definitivamente utilizaré la aplicación para un examen de clase. Y, por supuesto, también me sirve mucho de inspiración.
Pablo
usuario de iOS
Esta app es realmente genial. Hay tantos apuntes de clase y ayuda [...]. Tengo problemas con matemáticas, por ejemplo, y la aplicación tiene muchas opciones de ayuda. Gracias a Knowunity, he mejorado en mates. Se la recomiendo a todo el mundo.
Elena
usuaria de Android
Vaya, estoy realmente sorprendida. Acabo de probar la app porque la he visto anunciada muchas veces y me he quedado absolutamente alucinada. Esta app es LA AYUDA que quieres para el insti y, sobre todo, ofrece muchísimas cosas, como ejercicios y hojas informativas, que a mí personalmente me han sido MUY útiles.
Ana
usuaria de iOS
Solía tener dificultades para completar mis tareas a tiempo hasta que descubrí Knowunity, que no solo facilita subir mi propio contenido sino que también proporciona excelentes resúmenes que hacen mi trabajo más rápido y eficiente.
Thomas R
usuario de iOS
Siempre era un desafío encontrar toda la información importante para mis tareas – desde que comencé a usar Knowunity, puedo simplemente subir mi contenido y beneficiarme de los resúmenes de otros, lo que me ayuda mucho con la organización.
Lisa M
usuario de Android
A menudo sentía que no tenía suficiente visión general al estudiar, pero desde que comencé a usar Knowunity, eso ya no es un problema – subo mi contenido y siempre encuentro resúmenes útiles en la plataforma, lo que hace mi aprendizaje mucho más fácil.
David K
usuario de iOS
¡La app es buenísima! Sólo tengo que introducir el tema en la barra de búsqueda y recibo la respuesta muy rápido. No tengo que ver 10 vídeos de YouTube para entender algo, así que me ahorro tiempo. ¡Muy recomendable!
Sara
usuaria de Android
En el instituto era muy malo en matemáticas, pero gracias a la app, ahora saco mejores notas. Os agradezco mucho que hayáis creado la aplicación.
Roberto
usuario de Android
Solía ser muy difícil reunir toda la información para mis presentaciones. Pero desde que comencé a usar Knowunity, solo subo mis notas y encuentro increíbles resúmenes de otros – ¡hace mi estudio mucho más eficiente!
Julia S
usuario de Android
Siempre estaba estresado con todo el material de estudio, pero desde que comencé a usar Knowunity, subo mis cosas y reviso los geniales resúmenes de otros – realmente me ayuda a manejar todo mejor y es mucho menos estresante.
Marco B
usuario de iOS
LOS QUIZZES Y FLASHCARDS SON SÚPER ÚTILES Y AMO Knowunity AI. TAMBIÉN ES LITERALMENTE COMO CHATGPT PERO MÁS INTELIGENTE!! ME AYUDÓ CON MIS PROBLEMAS DE RÍMEL TAMBIÉN!! Y CON MIS MATERIAS REALES OBVIO! 😍😁😲🤑💗✨🎀😮
Sarah L
usuario de Android
Antes pasaba horas buscando en Google materiales escolares, pero ahora solo subo mis cosas a Knowunity y reviso los útiles resúmenes de otros – me siento mucho más seguro cuando me preparo para los exámenes.
Paul T
usuario de iOS
La app es muy fácil de usar y está muy bien diseñada. Hasta ahora he encontrado todo lo que estaba buscando y he podido aprender mucho de las presentaciones. Definitivamente utilizaré la aplicación para un examen de clase. Y, por supuesto, también me sirve mucho de inspiración.
Pablo
usuario de iOS
Esta app es realmente genial. Hay tantos apuntes de clase y ayuda [...]. Tengo problemas con matemáticas, por ejemplo, y la aplicación tiene muchas opciones de ayuda. Gracias a Knowunity, he mejorado en mates. Se la recomiendo a todo el mundo.
Elena
usuaria de Android
Vaya, estoy realmente sorprendida. Acabo de probar la app porque la he visto anunciada muchas veces y me he quedado absolutamente alucinada. Esta app es LA AYUDA que quieres para el insti y, sobre todo, ofrece muchísimas cosas, como ejercicios y hojas informativas, que a mí personalmente me han sido MUY útiles.
Ana
usuaria de iOS
Solía tener dificultades para completar mis tareas a tiempo hasta que descubrí Knowunity, que no solo facilita subir mi propio contenido sino que también proporciona excelentes resúmenes que hacen mi trabajo más rápido y eficiente.
Thomas R
usuario de iOS
Siempre era un desafío encontrar toda la información importante para mis tareas – desde que comencé a usar Knowunity, puedo simplemente subir mi contenido y beneficiarme de los resúmenes de otros, lo que me ayuda mucho con la organización.
Lisa M
usuario de Android
A menudo sentía que no tenía suficiente visión general al estudiar, pero desde que comencé a usar Knowunity, eso ya no es un problema – subo mi contenido y siempre encuentro resúmenes útiles en la plataforma, lo que hace mi aprendizaje mucho más fácil.
David K
usuario de iOS
¡La app es buenísima! Sólo tengo que introducir el tema en la barra de búsqueda y recibo la respuesta muy rápido. No tengo que ver 10 vídeos de YouTube para entender algo, así que me ahorro tiempo. ¡Muy recomendable!
Sara
usuaria de Android
En el instituto era muy malo en matemáticas, pero gracias a la app, ahora saco mejores notas. Os agradezco mucho que hayáis creado la aplicación.
Roberto
usuario de Android
Solía ser muy difícil reunir toda la información para mis presentaciones. Pero desde que comencé a usar Knowunity, solo subo mis notas y encuentro increíbles resúmenes de otros – ¡hace mi estudio mucho más eficiente!
Julia S
usuario de Android
Siempre estaba estresado con todo el material de estudio, pero desde que comencé a usar Knowunity, subo mis cosas y reviso los geniales resúmenes de otros – realmente me ayuda a manejar todo mejor y es mucho menos estresante.
Marco B
usuario de iOS
LOS QUIZZES Y FLASHCARDS SON SÚPER ÚTILES Y AMO Knowunity AI. TAMBIÉN ES LITERALMENTE COMO CHATGPT PERO MÁS INTELIGENTE!! ME AYUDÓ CON MIS PROBLEMAS DE RÍMEL TAMBIÉN!! Y CON MIS MATERIAS REALES OBVIO! 😍😁😲🤑💗✨🎀😮
Sarah L
usuario de Android
Antes pasaba horas buscando en Google materiales escolares, pero ahora solo subo mis cosas a Knowunity y reviso los útiles resúmenes de otros – me siento mucho más seguro cuando me preparo para los exámenes.
Paul T
usuario de iOS
Kendra Alexandra Garcia Huerta
@kendraalexandra
¿Sabías que las plantas y hongos son mucho más complejos de lo que imaginas? Estos organismos han desarrollado sistemas increíbles para transportar agua desde las raíces hasta las hojas más altas, reproducirse sin moverse del lugar, y formar alianzas con... Mostrar más

Acceso a todos los documentos
Mejora tus notas
Únete a millones de estudiantes
Las plantas y hongos representan millones de especies diferentes que forman parte del reino eukarya. Imagínate que desde las secoyas gigantes de 84 metros de altura hasta los musgos más pequeños, todos comparten características fascinantes que los mantienen vivos y prósperos.
Las plantas se clasifican de varias formas útiles para entenderlas mejor. Por su tamaño tenemos árboles, arbustos y plantas herbáceas. Por su forma de reproducirse las dividimos en criptógamas (sin flores como musgos y helechos) y fanerógamas (con flores).
La evolución de las plantas comenzó con organismos unicelulares sin núcleo (procariotas) que evolucionaron hacia seres pluricelulares con células eucariotas. Este cambio fue clave para generar toda la biodiversidad vegetal que conocemos hoy.
Dato curioso: Los helechos que ves hoy eran gigantescos hace 300 millones de años y formaban bosques enteros. Sus restos enterrados se convirtieron en el carbón que usamos actualmente.

Acceso a todos los documentos
Mejora tus notas
Únete a millones de estudiantes
El estudio de plantas y hongos abarca cinco áreas principales que se conectan entre sí. El origen nos explica de dónde vienen, mientras que el transporte y nutrición revelan cómo obtienen y distribuyen sus alimentos.
La reproducción vegetal incluye desde esporas hasta flores complejas. La coordinación celular permite que diferentes partes de la planta trabajen juntas como un equipo perfecto.
Las plantas medicinales y las características de los hongos completan este panorama, mostrando la importancia práctica de estos organismos en nuestra vida diaria.
Consejo de estudio: Antes de continuar, repasa las partes de una flor, el concepto de metabolismo y la importancia de la nutrición. ¡Te ayudarán mucho!

Acceso a todos los documentos
Mejora tus notas
Únete a millones de estudiantes
Los árboles son las plantas más impresionantes del planeta, con troncos únicos que los distinguen de otros vegetales. Algunos pueden vivir más de 3,500 años, lo que los convierte en testigos de la historia.
Las plantas criptógamas como musgos, helechos y algas fueron las primeras en aparecer en la Tierra. Se reproducen por esporas que necesitan nadar en agua, por eso siempre las encuentras en lugares húmedos y sombreados.
Los musgos son las plantas terrestres más primitivas y sencillas. Viven en bosques húmedos tapizando cortezas y rocas, siempre evitando el sol directo porque no lo toleran.
Los helechos también son vegetales antiguos que dominaron la Tierra hace millones de años. Necesitan ambientes frescos y húmedos para sobrevivir, igual que sus ancestros prehistóricos.
Conexión con tu vida: La próxima vez que veas musgo en un árbol o helechos en un jardín, recuerda que estás viendo a algunos de los seres vivos más antiguos del planeta.

Acceso a todos los documentos
Mejora tus notas
Únete a millones de estudiantes
Las flores son estructuras increíblemente organizadas que consisten en cuatro partes principales: sépalos, pétalos, estambres y carpelos. Cada una de estas partes es evolutivamente una hoja que se modificó para cumplir una función específica.
En las monocotiledóneas, las piezas florales aparecen en múltiplos de 3, mientras que en las dicotiledóneas lo hacen en múltiplos de 4 o 5. Esta diferencia te ayuda a identificar qué tipo de planta estás viendo.
Una flor completa tiene las cuatro partes, y si además contiene tanto estructuras masculinas (estambres) como femeninas (carpelos), se llama flor perfecta. Sin embargo, algunas especies tienen flores separadas por sexo.
Las plantas monoicas tienen flores masculinas y femeninas en la misma planta, mientras que las dioicas las tienen en plantas completamente separadas.
Aplicación práctica: Observa las flores de tu jardín o parque cercano. ¿Puedes identificar los pétalos, estambres y demás partes? ¡Es más fácil de lo que crees!

Acceso a todos los documentos
Mejora tus notas
Únete a millones de estudiantes
¿Cómo llegan los nutrientes a todas las células de una planta gigante? A diferencia de los animales que somos heterótrofos (comemos otros seres vivos), las plantas son autótrofas y fabrican su propio alimento mediante la fotosíntesis.
La fotosíntesis usa la luz solar como fuente de energía para crear todas las moléculas orgánicas que las plantas necesitan. Además, deben absorber minerales del suelo a través de sus raíces.
Como no todas las células están en contacto directo con los nutrientes, las plantas desarrollaron una división del trabajo entre sus células, formando órganos especializados en diferentes funciones.
La teoría de transporte explica cómo las plantas mueven agua y nutrientes desde las raíces hasta las hojas más altas, incluso en árboles gigantescos.
Dato impresionante: Una planta madura de maíz puede transpirar 16 litros de agua por semana. ¡Es como si bebiera constantemente!

Acceso a todos los documentos
Mejora tus notas
Únete a millones de estudiantes
Las plantas desarrollaron dos tejidos conductores especializados para transportar diferentes materiales. El xilema transporta agua e iones hacia arriba desde las raíces, mientras que el floema lleva materia orgánica de las partes verdes a todos los órganos.
El xilema está formado por células muertas y alargadas sin contenido citoplasmático, lo que facilita el transporte. Incluye traqueidas (de milímetros de largo) y miembros de vasos (de centímetros a metros de largo).
La teoría de cohesión-adhesión explica cómo sube el agua. Las moléculas de agua se mantienen unidas por puentes de hidrógeno (cohesión) y se adhieren a las paredes del xilema (adhesión), formando una cadena continua desde las raíces hasta las hojas.
La transpiración en las hojas crea una fuerza que "tira" de toda la columna de agua hacia arriba, como cuando tomas un refresco con popote. Los estomas y sus células oclusivas regulan este proceso.
Analogía útil: El sistema de transporte de las plantas funciona exactamente como cuando tomas un refresco con popote: la succión de arriba jala todo el líquido hacia tu boca.

Acceso a todos los documentos
Mejora tus notas
Únete a millones de estudiantes
El mecanismo de transporte y nutrición vegetal sigue un orden específico que puedes memorizar fácilmente. Todo comienza con el ingreso de agua e iones a través de los pelos radiculares y la epidermis de la raíz.
El agua se dirige hacia las células y espacios intercelulares de la corteza radicular. La cinta de Caspary en la endodermis actúa como filtro selectivo, permitiendo el paso de iones necesarios y bloqueando los dañinos.
Una vez filtrada, el agua y los iones difunden hacia los canales conductores del xilema y ascienden hasta todos los órganos de la planta. Desde el xilema, se distribuyen al mesófilo de las hojas.
Lo más impresionante es que este sistema no requiere energía biológica. Solo usa la energía solar para evaporar agua en los estomas, creando la fuerza que mueve toda la columna de agua.
Reflexión: Es increíble pensar que los árboles más altos del mundo mueven agua desde sus raíces hasta la copa usando únicamente la energía del sol.

Acceso a todos los documentos
Mejora tus notas
Únete a millones de estudiantes
Mientras el xilema se encarga del agua, el floema transporta los azúcares que las plantas fabrican mediante fotosíntesis. Este sistema es bidireccional: puede mover nutrientes hacia arriba o hacia abajo según las necesidades.
El floema incluye elementos cribosos (células tubulares), células acompañantes y parénquima vascular. Los elementos cribosos pierden su núcleo pero permanecen vivos, permitiendo el flujo de nutrientes.
El transporte en el floema funciona por presión osmótica. El azúcar se mueve desde una fuente (generalmente hojas) hacia un sumidero (como raíces) donde se convierte en almidón o se metaboliza.
Este proceso requiere energía biológica en dos etapas: cuando el azúcar entra al floema y cuando sale de él. La presión osmótica creada por el azúcar hace que la savia elaborada fluya hacia zonas de menor presión.
Aplicación práctica: Cuando comes una zanahoria dulce, estás consumiendo los azúcares que la planta transportó y almacenó en su raíz a través del floema.

Acceso a todos los documentos
Mejora tus notas
Únete a millones de estudiantes
Las plantas necesitan nitrógeno para construir proteínas y nucleótidos, pero no pueden usar directamente el nitrógeno atmosférico. Por eso desarrollaron relaciones simbióticas con bacterias especializadas.
Las bacterias fijadoras de nitrógeno como Rhizobium viven en nódulos en las raíces de ciertas plantas, especialmente leguminosas. Estas bacterias convierten el nitrógeno atmosférico en formas que las plantas pueden usar.
Es una relación de beneficio mutuo: las plantas proporcionan espacio y nutrientes a las bacterias, mientras que estas les "pagan el alquiler" con nitrógeno orgánico utilizable.
Este proceso de fijación de nitrógeno es fundamental para la agricultura y los ecosistemas naturales, ya que enriquece el suelo con nutrientes esenciales para el crecimiento vegetal.
Conexión ecológica: Las leguminosas como frijoles, chícharos y lentejas mejoran naturalmente la fertilidad del suelo gracias a sus bacterias simbióticas. ¡Por eso son tan importantes en la agricultura sustentable!

Acceso a todos los documentos
Mejora tus notas
Únete a millones de estudiantes

Acceso a todos los documentos
Mejora tus notas
Únete a millones de estudiantes

Acceso a todos los documentos
Mejora tus notas
Únete a millones de estudiantes

Acceso a todos los documentos
Mejora tus notas
Únete a millones de estudiantes

Acceso a todos los documentos
Mejora tus notas
Únete a millones de estudiantes

Acceso a todos los documentos
Mejora tus notas
Únete a millones de estudiantes

Acceso a todos los documentos
Mejora tus notas
Únete a millones de estudiantes

Acceso a todos los documentos
Mejora tus notas
Únete a millones de estudiantes

Acceso a todos los documentos
Mejora tus notas
Únete a millones de estudiantes

Acceso a todos los documentos
Mejora tus notas
Únete a millones de estudiantes

Acceso a todos los documentos
Mejora tus notas
Únete a millones de estudiantes

Acceso a todos los documentos
Mejora tus notas
Únete a millones de estudiantes

Acceso a todos los documentos
Mejora tus notas
Únete a millones de estudiantes

Acceso a todos los documentos
Mejora tus notas
Únete a millones de estudiantes

Acceso a todos los documentos
Mejora tus notas
Únete a millones de estudiantes

Acceso a todos los documentos
Mejora tus notas
Únete a millones de estudiantes

Acceso a todos los documentos
Mejora tus notas
Únete a millones de estudiantes

Acceso a todos los documentos
Mejora tus notas
Únete a millones de estudiantes

Acceso a todos los documentos
Mejora tus notas
Únete a millones de estudiantes

Acceso a todos los documentos
Mejora tus notas
Únete a millones de estudiantes

Acceso a todos los documentos
Mejora tus notas
Únete a millones de estudiantes

Acceso a todos los documentos
Mejora tus notas
Únete a millones de estudiantes

Acceso a todos los documentos
Mejora tus notas
Únete a millones de estudiantes

Acceso a todos los documentos
Mejora tus notas
Únete a millones de estudiantes
Nuestro compañero de IA está específicamente adaptado a las necesidades de los estudiantes. Basándonos en los millones de contenidos que tenemos en la plataforma, podemos dar a los estudiantes respuestas realmente significativas y relevantes. Pero no se trata solo de respuestas, el compañero también guía a los estudiantes a través de sus retos de aprendizaje diarios, con planes de aprendizaje personalizados, cuestionarios o contenidos en el chat y una personalización del 100% basada en las habilidades y el desarrollo de los estudiantes.
Puedes descargar la app en Google Play Store y Apple App Store.
¡Sí lo es! Tienes acceso totalmente gratuito a todo el contenido de la app, puedes chatear con otros alumnos y recibir ayuda inmeditamente. Puedes ganar dinero utilizando la aplicación, que te permitirá acceder a determinadas funciones.
0
Herramientas Inteligentes NUEVO
Convierte estos apuntes en: ✓ 50+ Preguntas de Práctica ✓ Tarjetas de Estudio Interactivas ✓ Examen Completo de Práctica ✓ Esquemas de Ensayo
App Store
Google Play
La app es muy fácil de usar y está muy bien diseñada. Hasta ahora he encontrado todo lo que estaba buscando y he podido aprender mucho de las presentaciones. Definitivamente utilizaré la aplicación para un examen de clase. Y, por supuesto, también me sirve mucho de inspiración.
Pablo
usuario de iOS
Esta app es realmente genial. Hay tantos apuntes de clase y ayuda [...]. Tengo problemas con matemáticas, por ejemplo, y la aplicación tiene muchas opciones de ayuda. Gracias a Knowunity, he mejorado en mates. Se la recomiendo a todo el mundo.
Elena
usuaria de Android
Vaya, estoy realmente sorprendida. Acabo de probar la app porque la he visto anunciada muchas veces y me he quedado absolutamente alucinada. Esta app es LA AYUDA que quieres para el insti y, sobre todo, ofrece muchísimas cosas, como ejercicios y hojas informativas, que a mí personalmente me han sido MUY útiles.
Ana
usuaria de iOS
Solía tener dificultades para completar mis tareas a tiempo hasta que descubrí Knowunity, que no solo facilita subir mi propio contenido sino que también proporciona excelentes resúmenes que hacen mi trabajo más rápido y eficiente.
Thomas R
usuario de iOS
Siempre era un desafío encontrar toda la información importante para mis tareas – desde que comencé a usar Knowunity, puedo simplemente subir mi contenido y beneficiarme de los resúmenes de otros, lo que me ayuda mucho con la organización.
Lisa M
usuario de Android
A menudo sentía que no tenía suficiente visión general al estudiar, pero desde que comencé a usar Knowunity, eso ya no es un problema – subo mi contenido y siempre encuentro resúmenes útiles en la plataforma, lo que hace mi aprendizaje mucho más fácil.
David K
usuario de iOS
¡La app es buenísima! Sólo tengo que introducir el tema en la barra de búsqueda y recibo la respuesta muy rápido. No tengo que ver 10 vídeos de YouTube para entender algo, así que me ahorro tiempo. ¡Muy recomendable!
Sara
usuaria de Android
En el instituto era muy malo en matemáticas, pero gracias a la app, ahora saco mejores notas. Os agradezco mucho que hayáis creado la aplicación.
Roberto
usuario de Android
Solía ser muy difícil reunir toda la información para mis presentaciones. Pero desde que comencé a usar Knowunity, solo subo mis notas y encuentro increíbles resúmenes de otros – ¡hace mi estudio mucho más eficiente!
Julia S
usuario de Android
Siempre estaba estresado con todo el material de estudio, pero desde que comencé a usar Knowunity, subo mis cosas y reviso los geniales resúmenes de otros – realmente me ayuda a manejar todo mejor y es mucho menos estresante.
Marco B
usuario de iOS
LOS QUIZZES Y FLASHCARDS SON SÚPER ÚTILES Y AMO Knowunity AI. TAMBIÉN ES LITERALMENTE COMO CHATGPT PERO MÁS INTELIGENTE!! ME AYUDÓ CON MIS PROBLEMAS DE RÍMEL TAMBIÉN!! Y CON MIS MATERIAS REALES OBVIO! 😍😁😲🤑💗✨🎀😮
Sarah L
usuario de Android
Antes pasaba horas buscando en Google materiales escolares, pero ahora solo subo mis cosas a Knowunity y reviso los útiles resúmenes de otros – me siento mucho más seguro cuando me preparo para los exámenes.
Paul T
usuario de iOS
La app es muy fácil de usar y está muy bien diseñada. Hasta ahora he encontrado todo lo que estaba buscando y he podido aprender mucho de las presentaciones. Definitivamente utilizaré la aplicación para un examen de clase. Y, por supuesto, también me sirve mucho de inspiración.
Pablo
usuario de iOS
Esta app es realmente genial. Hay tantos apuntes de clase y ayuda [...]. Tengo problemas con matemáticas, por ejemplo, y la aplicación tiene muchas opciones de ayuda. Gracias a Knowunity, he mejorado en mates. Se la recomiendo a todo el mundo.
Elena
usuaria de Android
Vaya, estoy realmente sorprendida. Acabo de probar la app porque la he visto anunciada muchas veces y me he quedado absolutamente alucinada. Esta app es LA AYUDA que quieres para el insti y, sobre todo, ofrece muchísimas cosas, como ejercicios y hojas informativas, que a mí personalmente me han sido MUY útiles.
Ana
usuaria de iOS
Solía tener dificultades para completar mis tareas a tiempo hasta que descubrí Knowunity, que no solo facilita subir mi propio contenido sino que también proporciona excelentes resúmenes que hacen mi trabajo más rápido y eficiente.
Thomas R
usuario de iOS
Siempre era un desafío encontrar toda la información importante para mis tareas – desde que comencé a usar Knowunity, puedo simplemente subir mi contenido y beneficiarme de los resúmenes de otros, lo que me ayuda mucho con la organización.
Lisa M
usuario de Android
A menudo sentía que no tenía suficiente visión general al estudiar, pero desde que comencé a usar Knowunity, eso ya no es un problema – subo mi contenido y siempre encuentro resúmenes útiles en la plataforma, lo que hace mi aprendizaje mucho más fácil.
David K
usuario de iOS
¡La app es buenísima! Sólo tengo que introducir el tema en la barra de búsqueda y recibo la respuesta muy rápido. No tengo que ver 10 vídeos de YouTube para entender algo, así que me ahorro tiempo. ¡Muy recomendable!
Sara
usuaria de Android
En el instituto era muy malo en matemáticas, pero gracias a la app, ahora saco mejores notas. Os agradezco mucho que hayáis creado la aplicación.
Roberto
usuario de Android
Solía ser muy difícil reunir toda la información para mis presentaciones. Pero desde que comencé a usar Knowunity, solo subo mis notas y encuentro increíbles resúmenes de otros – ¡hace mi estudio mucho más eficiente!
Julia S
usuario de Android
Siempre estaba estresado con todo el material de estudio, pero desde que comencé a usar Knowunity, subo mis cosas y reviso los geniales resúmenes de otros – realmente me ayuda a manejar todo mejor y es mucho menos estresante.
Marco B
usuario de iOS
LOS QUIZZES Y FLASHCARDS SON SÚPER ÚTILES Y AMO Knowunity AI. TAMBIÉN ES LITERALMENTE COMO CHATGPT PERO MÁS INTELIGENTE!! ME AYUDÓ CON MIS PROBLEMAS DE RÍMEL TAMBIÉN!! Y CON MIS MATERIAS REALES OBVIO! 😍😁😲🤑💗✨🎀😮
Sarah L
usuario de Android
Antes pasaba horas buscando en Google materiales escolares, pero ahora solo subo mis cosas a Knowunity y reviso los útiles resúmenes de otros – me siento mucho más seguro cuando me preparo para los exámenes.
Paul T
usuario de iOS